По иным основаниям признание внесенного обеспечения заявки на участие в конкурсе не соответствующим требованиям конкурсной документации не допускается.
35. Потенциальный поставщик, претендующий на участие в конкурсе, не допускается к участию в конкурсе (не признается участником конкурса), если:
1) он и (или) его субподрядчик либо соисполнитель определены не соответствующими квалификационным требованиям;
2) нарушил требования статьи 6 Закона;
3) его заявка на участие в конкурсе определена не соответствующей требованиям конкурсной документации.
В случае если потенциальный поставщик не допущен к участию в конкурсе по основаниям, предусмотренным подпунктом 2) настоящего пункта, то:
в протоколе о допуске к участию в конкурсе отражаются обоснования отклонения заявки на участие в конкурсе такого потенциального поставщика;
сведения о потенциальном поставщике, нарушившем требования статьи 6 Закона подлежат внесению в установленном порядке в реестр недобросовестных участников государственных закупок.
36. По результатам рассмотрения заявок на участие в конкурсе конкурсная комиссия:
1) определяет потенциальных поставщиков, соответствующих квалификационным требованиям и требованиям конкурсной документации, которые допускаются к участию в конкурсе (участники конкурса);
2) применяет процентное значение критериев, предусмотренных в конкурсной документации в соответствии с пунктом 4 статьи 17 Закона;
3) оформляет протокол о допуске к участию в конкурсе и определяет день, время, место представления потенциальными поставщиками, допущенными к участию в конкурсе (участниками конкурса), конкурсных ценовых предложений организатору государственных закупок.
37. Протокол о допуске к участию и конкурсе подписывается всеми присутствующими на заседании членами, а также секретарем конкурсной комиссии.
Организатор государственных закупок не позднее одного рабочего дня, следующего за днем подписания протокола о допуске к участию в конкурсе, представляет или направляет копию указанного протокола всем потенциальным поставщикам, представившим заявки на участие в конкурсе, а также размещает текст подписанного протокола на интернет –ресурсе заказчика. Решение конкурсной комиссии о допуске к участию в конкурсе, может быть обжаловано в порядке, определенном статьей 45 Закона.
6. Оценка и сопоставление конкурсных заявок
38. Конкурсная комиссия при оценке и сопоставлении всех представленных конкурсных заявок учитывает критерии, перечисленные в пункте 4 статьи 17 Закона, оговоренные в конкурсной документации и применяет их в равном размере ко всем конкурсным заявкам.
В случае непредставления документов потенциальным поставщиком, подтверждающих критерии, влияющих на конкурсное ценовое предложение, то конкурсная комиссия не применяет к такому потенциальному поставщику условное уменьшение конкурсного ценового предложения. Условия, предложенные потенциальным поставщиком для применения условного уменьшения конкурсного ценового предложения должны быть включены в договор о государственных закупках.
39. При рассмотрении вопроса наличия опыта работы потенциального поставщика (субподрядчика), участвующего в конкурсе по государственным закупкам товаров, работ, услуг, конкурсная комиссия рассматривает опыт работы только на рынке поставки товаров, выполнения работ и оказания услуг, приобретаемых на данном конкурсе. При этом конкурсная комиссия условно уменьшает цену конкурсной заявки на половину процента (0,5%) за каждый год наличия у потенциального поставщика опыта работы на рынке закупаемых товаров, работ, услуг, начиная с одного года, но не более пяти процентов. В случае наличия опыта работы до одного года или его отсутствия такой процент не устанавливается. Суммарное процентное влияние на условную цену конкурсной заявки данного критерия не должно превышать пять процентов.
40. Конкурсная комиссия уменьшает условную цену конкурсной заявки на пять процентов за предоставление потенциальным поставщиком более квалифицированных работников соответствующего профиля, чем у других потенциальных поставщиков.
41. При наличии документа, подтверждающего проведение добровольной сертификации предлагаемых товаров для отечественного товаропроизводителя в соответствии с законодательством Республики Казахстан о техническом регулировании, конкурсная комиссия условно уменьшает цену такой конкурсной заявки на два процента.
42. При наличии документа, подтверждающего сертификацию системы менеджмента качества в соответствии с требованиями государственных стандартов по закупаемым товарам, работам, услугам, конкурсная комиссия условно уменьшает цену такой конкурсной заявки на три процента.
43. Потенциальный поставщик, обеспечивая соответствие поставляемых товаров, выполняемых работ, предоставляемых услуг конкурсной документации, указывает период, в течение которого гарантируются эксплуатационные характеристики предлагаемых товаров и услуг. Конкурсная комиссия отнимает от условной цены конкурсной заявки половину процента (0,5%) за каждый год в случае, если предлагаемый в конкурсной заявке гарантийный период больше базового, указанного в конкурсной документации. При этом процентное влияние на цену конкурсной заявки данного критерия не должно превышать три процента.
44. При рассмотрении наличия казахстанского содержания конкурсная комиссия уменьшает цену конкурсной заявки на один процент за каждые десять процентов казахстанского содержания, за исключением случаев, предусмотренных абзацем третьим настоящего пункта Правил.
Казахстанское содержание потенциального поставщика товаров определяется как процентное содержание стоимости товаров отечественных товаропроизводителей, приобретаемых потенциальным поставщиком для исполнения договора о государственных закупках данных товаров, от общей стоимости договора о государственных закупках.
В случае, когда потенциальный поставщик товаров является отечественным товаропроизводителем закупаемого товара, то конкурсная комиссия условно уменьшает цену конкурсной заявки такого потенциального поставщика за наличие казахстанского содержания на десять процентов.
Казахстанское содержание потенциального поставщика работ, услуг определяется как процентное содержание стоимости: товаров отечественных товаропроизводителей, приобретаемых потенциальным поставщиком для исполнения договора о закупках работ, услуг как напрямую, так и посредством заключения договоров субподряда, оплаты труда физических лиц - резидентов Республики Казахстан, нанятых потенциальным поставщиком для исполнения договора о закупках работ, услуг как напрямую, так и посредством заключения договоров субподряда от общей стоимости договора о закупках.
45. Конкурсная комиссия условно уменьшает цену конкурсной заявки отечественного товаропроизводителя на десять процентов, отечественного поставщика работ, услуг на пять процентов.
7. Оформление потенциальными поставщиками, допущенными к участию в конкурсе, конкурсных ценовых предложений
46. Представляемые потенциальными поставщиками, допущенными к участию в конкурсе (участниками конкурса), конкурсные ценовые предложения оформляются в следующем виде:
1) форма конкурсного ценового предложения должна быть отпечатана или написана несмываемыми чернилами и подписана потенциальным поставщиком и скреплена печатью (для физического лица, если таковая имеется);
2) в конкурсном ценовом предложении не должно быть никаких вставок между строками, подтирок или приписок, за исключением тех случаев, когда потенциальному поставщику необходимо исправить грамматические ошибки;
3) конкурсные ценовые предложения отечественных потенциальных поставщиков должны быть выражены в тенге.
47. Потенциальный поставщик запечатывает конкурсное ценовое предложение в конверт, на лицевой стороне которого должны быть указаны полное наименование потенциального поставщика, а также текст следующего содержания: «КОНКУРС ПО ЗАКУПКЕ » «Текущий ремонт отопления и входной группы врачебной амбулатории в с. Карасаз Райымбекского района Алматинской области» - КОНКУРСНОЕ ЦЕНОВОЕ ПРЕДЛОЖЕНИЕ - НЕ ВСКРЫВАТЬ ДО: (дата и время вскрытия конкурсных ценовых предложений, отраженная в протоколе допуска)».
Не допускается представление участником конкурса более одного конкурсного ценового предложения, равно как и отзыв конкурсного ценового предложения либо внесение изменений и (или) дополнений к представленному конкурсному ценовому предложению.
8. Оценка и сопоставление конкурсной комиссией конкурсных ценовых предложений
участников конкурса и определение победителя конкурса
48. В день, время и месте, установленные протоколом о допуске к участию в конкурсе, конкурсная комиссия проводит заседание по оценке и сопоставлению конкурсных ценовых предложений участников конкурса.
Конкурсная комиссия в хронологическом порядке вносит в журнал регистрации конкурсных ценовых предложений сведения об участниках конкурса, представивших конверты с конкурсными ценовыми предложениями до истечения срока, установленного протоколом о допуске к участию в конкурсе.
На заседании конкурсной комиссии председатель конкурсной комиссии либо лицо, определенное председателем из числа членов конкурсной комиссии:
вскрывает конверты с конкурсными ценовыми предложениям участников конкурса в хронологическом порядке их регистрации;
оглашает в хронологическом порядке регистрации конкурсные ценовые предложения участников конкурса, представивших конкурсные ценовые предложения;
передает секретарю конкурсной комиссии вскрытые конверты с конкурсными ценовыми предложениями.
49. Участники конкурса и (или) их уполномоченные представители вправе ознакомиться с содержанием конвертов с конкурсными ценовыми предложениями.
50. На заседании конкурсной комиссии по оценке и сопоставлению конкурсных ценовых предложений вправе присутствовать участники конкурса и (или) их уполномоченные представители с правом ведения аудиозаписи и видеосъемки. При этом участники конкурса и (или) их уполномоченные представители должны уведомить конкурсную комиссию о применении указанных технических средств.
51. Для облегчения процедуры оценки и сопоставления конкурсных ценовых предложений, конкурсная комиссия переводит все цены конкурсных ценовых предложений, выраженные в различных валютах, в валюту Республики Казахстан - тенге по официальному курсу, установленному Национальным Банком Республики Казахстан на дату заседания конкурсной комиссии по оценке и сопоставлению конкурсных ценовых предложений (участников конкурса).
52. Конкурсная комиссия:
1) отклоняет конкурсные ценовые предложения участников конкурса, превышающие сумму, выделенную для осуществления данных государственных закупок товаров, работ, услуг способом конкурса;
2) отклоняет конкурсное ценовое предложение участника конкурса, если его цена является демпинговой;
3) в случае, если после отклонения конкурсных ценовых предложений по основаниям, указанным в подпунктах 1) и 2) настоящего пункта, в конкурсе участвуют два и более конкурсных ценовых предложений участников конкурса, определяет условные цены данных участников конкурса посредством применения в отношении их конкурсных ценовых предложений процентного значения критериев, установленных в протоколе о допуске к участию в конкурсе;
4) определяет победителя конкурса на основе наименьшей условной цены.
53. По результатам оценки и сопоставления конкурсных ценовых предложений участников конкурса и определения победителя конкурса, конкурсная комиссия оформляет протокол об итогах государственных закупок товаров, работ, услуг способом конкурса. Протокол об итогах государственных закупок товаров, работ, услуг способом конкурса полистно парафируется и подписывается председателем и всеми присутствовавшими на заседании членами конкурсной комиссии, а также секретарем конкурсной комиссии.
54. Организатор государственных закупок не позднее одного рабочего дня со дня получения письменного запроса потенциального поставщика, сведения о котором внесены в журнал регистрации заявок на участие в конкурсе, обязан представить ему на безвозмездной основе копию протокола об итогах государственных закупок способом конкурса.
9. Возврат обеспечения заявок на участие в конкурсе
55. Организатор государственных закупок возвращает внесенное обеспечение заявки на участие в конкурсе потенциальному поставщику в течение трех рабочих дней со дня наступления одного из следующих случаев:
1) отзыва данным потенциальным поставщиком своей заявки на участие в конкурсе до истечения окончательного срока представления заявок на участие в конкурсе;
2) подписания протокола о допуске к участию в конкурсе. Указанный случай не распространяется на потенциальных поставщиков, признанных участниками конкурса;
3) подписания протокола об итогах государственных закупок способом конкурса. Указанный случай не распространяется на участника конкурса, определенного победителем конкурса;
4) вступления в силу договора о государственных закупках и внесения победителем конкурса обеспечения исполнения договора о государственных закупках, предусмотренного конкурсной документацией;
5) истечения срока действия заявки потенциального поставщика на участие в конкурсе.
56. Обеспечение заявки на участие в конкурсе не возвращается организатором государственных закупок в случаях, если:
1) потенциальный поставщик отозвал либо изменил и (или) дополнил заявку на участие в конкурсе после истечения окончательного срока представления заявок на участие в конкурсе;
2) потенциальный поставщик, признанный участником конкурса, не представил в установленный срок либо отозвал свое конкурсное ценовое предложение;
3) потенциальный поставщик, определенный победителем конкурса, уклонился от заключения договора о государственных закупках;
4) победитель конкурса, заключив договор о государственных закупках, не исполнил либо несвоевременно исполнил требования, установленные конкурсной документацией, о внесении и (или) сроках внесения обеспечения исполнения договора о государственных закупках.
10. Договор о государственных закупках по итогам конкурса
57. В течение пяти рабочих дней со дня подписания протокола об итогах государственных закупок способом конкурса составляется договор о государственных закупок товаров, работ, услуг в соответствии с требованиями Закона и на основании Типового договора о государственных закупках работ (товаров /услуг).
58. Заказчик возвращает внесенное обеспечение исполнения договора о государственных закупках поставщику в течение пяти рабочих дней с момента полного и надлежащего исполнения поставщиком своих обязательств по договору.
59. В случаях предусмотренных пунктами 5, 6 и 7 статьи 37 Закона договор должен содержать положения о его заключении на срок более одного финансового года.
60. Договор должен содержать условия о внесении изменений в договор о государственных закупках.
61. В случае, если потенциальный поставщик в сроки, установленные Законом, не представил заказчику подписанный договор о государственных закупках или, заключив договор о государственных закупках, не внес обеспечение исполнения договора о государственных закупках в случаях, предусмотренных конкурсной документацией, то такой потенциальный поставщик признается уклонившимся от заключения договора о государственных закупках.
62. В случае признания потенциального поставщика уклонившимся от заключения договора о государственных закупках заказчик:
1) удерживает внесенное им обеспечение заявки на участие в конкурсе и представляет соответствующие сведения в уполномоченный орган и обращается в суд с иском о признании такого потенциального поставщика недобросовестным участником государственных закупок;
2) вправе обратиться и суд с иском о понуждении такого потенциального поставщика заключить договор о государственных закупках, а также о возмещении убытков, причиненных уклонением от заключения договора о государственных закупках.
Приложение 1
к конкурсной
документации
Перечень закупаемых работ
Конкурс по государственным закупкам «Текущий ремонт отопления и входной группы врачебной амбулатории в с. Карасаз Райымбекского района Алматинской области».
№ лота | Наименование заказчика | Наименование товара (работы, услуги)* | Единица измерения | Количество, объем | Условия поставки (в соответствии с ИНКОТЕРМС 2000) | Срок поставки товаров, выполнения работ, оказания услуг | Место поставки товаров, выполнения работ, оказания услуг | Размер авансового платежа, % | Сумма, выделенная для государственных закупок способом конкурса (по лоту №), тенге |
1 | 2 | 3 | 4 | 5 | 6 | 7 | 8 | 9 | 10 |
1 | ГКП «Центральная районная больница» Райымбекского района. | № 1 лот «Текущий ремонт отопления и входной группы врачебной амбулатории в с. Карасаз Райымбекского района Алматинской области» | Райымбекский район с. Карасаз | 30 | 5200000 |
Приложение 2
к Типовой конкурсной
документации
Постановление Правительства Республики Казахстан от 01.01.01 года № 000
Об утверждении Единой методики расчета организациями казахстанского содержания при закупке товаров, работ и услуг
Правительство Республики Казахстан ПОСТАНОВЛЯЕТ:
1. Утвердить прилагаемую Единую методику расчета организациями казахстанского содержания при закупке товаров, работ и услуг.
2. Настоящее постановление вводится в действие по истечении десяти календарных дней со дня первого официального опубликования.
Премьер-Министр Республики Казахстан | К. Масимов |
Утверждена
постановлением Правительства
Республики Казахстан
от 01.01.01 года № 000
Единая методика
расчета организациями казахстанского содержания при закупке товаров, работ и услуг
1. Настоящая Единая методика расчета организациями казахстанского содержания при закупке товаров, работ и услуг разработана в соответствии с Законами Республики Казахстан от 01.01.01 года «О недрах и недропользовании», от 01.01.01 года «О государственных закупках», Указом Президента Республики Казахстан от 01.01.01 года № 000 «О некоторых вопросах казахстанского содержания при закупке товаров, работ и услуг, приобретаемых организациями и государственными органами».
2. Единая методика предназначена для расчета казахстанского содержания при закупке товаров, работ и услуг:
1) государственными органами, государственными учреждениями, а также государственными предприятиями, юридическими лицами
, пятьдесят и более процентов голосующих акций (долей участия) которых принадлежат государству и аффилиированными с ними юридическими лицами, осуществляющими приобретение товаров, работ и услуг в соответствии с Законом Республики Казахстан «О государственных закупках»;
2) национальным управляющим холдингом, национальными холдингами, национальными компаниями, их дочерними и аффилиированными компаниями, иными юридическими лицами с участием государства;
3) недропользователями и (или) лицами, уполномоченными недропользователями осуществлять закуп товаров, работ и услуг в соответствии с Законом Республики Казахстан «О недрах и недропользовании»;
4) организациями, закупки товаров, работ и услуг которых подлежат мониторингу казахстанского содержания, в соответствии с перечнем, утвержденным Правительством Республики Казахстан.
3. Расчет казахстанского содержания при закупках товаров, работ и услуг проводится с целью:
1) мониторинга и контроля соблюдения обязательств по закупкам в части казахстанского содержания;
2) определения степени вовлеченности отечественных предприятий в поставки товаров, работ и услуг;
3) оценки уровня конкурентоспособности отечественной промышленности.
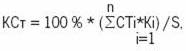
4. Расчет казахстанского содержания (КСт) в договоре на поставку товаров, производится по формуле:

где:
n - общее количество товаров, закупленных поставщиком в целях исполнения договора о закупках как напрямую, так и посредством заключения договоров субподряда;
і - порядковый номер товара;
CTi - стоимость приобретаемого подрядчиком или субподрядчиком і-oгo товара у товаропроизводителя;
Ki = 1, если і-ый товар приобретается у отечественного товаропроизводителя;
Ki = 0, в иных случаях;
S - общая стоимость договора о закупке товаров.
5. Расчет казахстанского содержания (КСр/у) в договоре на поставку работ (услуг), производится по формуле:

где:
n - общее количество закупок товаров, приобретаемых поставщиком и субподрядчиками в целях исполнения договора закупки работ (услуг);
і - порядковый номер закупки товара;
CTi - стоимость приобретаемого подрядчиком или субподрядчиком і-oгo товара у товаропроизводителя;
Ki = 1, если і-ый товар приобретается у отечественного товаропроизводителя;
Ki = 0, в иных случаях;
m - общее количество договоров, заключенных в целях поставки работы (услуги), включая договор между Заказчиком и подрядчиком, договоры между подрядчиком и субподрядчиками и т. д.
j - порядковый номер договора;
СДj - стоимость j-oгo договора;
CTj - суммарная стоимость товаров, закупленных в рамках j-oгo договора;
ССД - суммарная стоимость договоров субподряда, заключенных в рамках исполнения j-oгo договора;
Rj - доля казахстанских кадров в общей численности работников поставщика или субподрядчика, выполняющего j-ый договор;
Rj = 1, если j-ый договор выполняется подрядчиком или субподрядчиком, являющимся отечественным поставщиком работ (услуг);
Rj = 0, если j-ый договор выполняется подрядчиком или субподрядчиком, не являющимся резидентом Республики Казахстан;
S - общая стоимость договора о закупке работы (услуги).
6. Расчет казахстанского содержания (КС) в договоре на поставку работ (услуг) в закупках Заказчика за отчетный период (три месяца), производится по формуле:

где:
n - общее количество договоров, заключенных с поставщиками товаров, работ и услуг;
і - порядковый номер договора;
СДі - стоимость заключенного с поставщиком товаров, работ и услуг і-oгo договора о закупках;
KCi - казахстанское содержание поставщика товаров, работ и услуг по і-ому договору о закупках;
S - общая стоимость товаров, работ и услуг, закупленных Заказчиком за отчетный период.
Таблица № 1
к прилажению №2 конкурсной документаций
Сведения об обьемах казахстанского содержания при государственных закупках работ.
«Текущий ремонт отопления и входной группы врачебной амбулатории в с. Карасаз Райымбекского района Алматинской области»
Наименование потенциального поставщика товаров
№ п/п | № Лота | Наиме-нование товаров | Сумма выделен-ная для закупки | Казахстанское содержание | ||||||||||
Затраты на оплату труда, налоги и проч. расходы / тенге / | Всего сумма товаров приобре- таемые постав- щиком у отече- ственного товаро- произво- дителей тенге | Наименование приобретенных отечественных товаров | Всего сумма товаров приобре- таемые поставщ-кам у иностран- ных товаро- производи- телей | Наименование приобретенных импортных товаров | ||||||||||
Наиме- нование | Кол-во | Ст - ть ед. тов- ара | Общая ст-ть отеч. тов-в | Наим. товара и страны изгот-овител | Кол-во | Ст - ть ед тов- ара | Общая ст-ть импортно- го товара | |||||||
1 | 2 | 3 | 4 | 5 | 6 | 7 | 8 | 9 | 10 | 11 | 12 | 13 | 14 | 15 |
Таблица № 2
к счет – фактуре №___
Сведения об обьемах казахстанского содержания при государственных закупках работ.
«Текущий ремонт отопления и входной группы врачебной амбулатории в с. Карасаз Райымбекского района Алматинской области»
Наименование потенциального поставщика
№ п/п | Наиме-нование Товаров | Договор | Наиме- нование поставщика/ подрядчика | Юридич. Адрес поставщ/ порячика | Казахстанское содержание | |||||||||||
Затраты на оплату труда, налоги и прочие расходы (тенге) | Всего сумма товара приобретаемые поставщиком у ответсного товаропроизводителей (тенге) | Приобретенных отечественных товаров | Всего сумма товара приобретаемые поставщиком у иностранных водителей (тенге) | Наименование иностранных приобретенных товаров | Казах-ое содержания при закупке товаров % (гр.8,9/Г р, з) | |||||||||||
Наименование товара | количество | Стоймость ед. товара | Наименование товара | количество | Стоймость ед. товара | |||||||||||
1 | 2 | 3 | 4 | 5 | 6 | 7 | 8 | 9 | 10 | 11 | 12 | 13 | 14 | 15 | 16 | 17 |
Таблица №4
К. акту выполненных работ за ________
Сведения об обьемах казахстанского содержания при государственных закупках работ.
«Текущий ремонт отопления и входной группы врачебной амбулатории в с. Карасаз Райымбекского района Алматинской области»
Наименование потенциального поставщика
№ п/п | Наиме-нование Товаров | Договор | Наиме- нование поставщика/ подрядчика | Юридич. Адрес поставщ/ порячика | Казахстанское содержание | |||||||||||
Затраты на оплату труда, налоги и прочие расходы (тенге) | Всего сумма товара приобретаемые поставщиком у ответсного товаропроизводителей (тенге) | Приобретенных отечественных товаров | Всего сумма товара приобретаемые поставщиком у иностранных водителей (тенге) | Наименование иностранных приобретенных товаров | Казах-ое содержания при закупке товаров % (гр.8,9/Г р, з) | |||||||||||
Наименование товара | количество | Стоймость ед. товара | Наименование товара | количество | Стоймость ед. товара | |||||||||||
1 | 2 | 3 | 4 | 5 | 6 | 7 | 8 | 9 | 10 | 11 | 12 | 13 | 14 | 15 | 16 | 17 |
* Полное описание и характеристика товаров, работ, услуг указывается в технической спецификации
Должность, Ф. И.О. и подпись руководителя организатора государственных закупок _____________________ / ____________ / __________ Дата ________________ М. П. |
|
Из за большого объема этот материал размещен на нескольких страницах:
1 2 3 4 |



