а) ЧДДА = 141,04; ЧДДВ = 135,03;
б) ЧДДА = 136,03; ЧДДВ = 140,08;
в) ЧДДА = 131,01; ЧДДВ =133,33.
8.6. На основе проведенных расчетов (задание 8.5) выберите лучший инвестиционный проект:
а) проект А;
б) проект В.
8.7. На основе проведенных расчетов (задание 8.5) выберите правильный ответ из предложенных вариантов индекса доходности по проектам А и В:
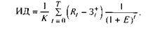
а) ИДА = 1,503; ИДВ = 1,563;
б) ИДА = 1,609; ИДВ = 1,597.
8.8. На основе проведенных расчетов (задание 8.5) выберите правильный ответ из предложенных вариантов срока окупаемости проекта А без дисконтирования:
а) приблизительно 4,3 года;
б) приблизительно 1,5 года;
в) приблизительно 4,7 года.
Заключение
Успешное развитие современного бизнеса немыслимо без активного применения новейших информационных технологий. Успешность ведения бизнеса определяется квалификацией предпринимателя, знанием запросов потребителей и пониманием ситуации на рынке. Предприниматель активно работает с информацией. Он отбирает из множества потоков информации то, что соответствует его целям и способствует разработке или реализации предпринимательской идеи. Знания предпринимателя превращаются в информационные сообщения, которые организуют производственные и торговые процессы, а также управляют бизнесом в целом.
Предприниматель перемещает экономические ресурсы из области низкой производительности и доходов в область более высокой производительности и прибыльности. Именно поэтому предприниматели, следуя за изменениями деловой среды или предвосхищая их, меняют сферы своей активности. Интуиция и знания предпринимателя ведут его в новые, неизведанные области, где появляется возможность создать продукты для удовлетворения новых потребностей покупателей.
Современная информатика в принципе обеспечила доступ потребителей к научным знаниям, накопленным во всем мире. Объединение сетей и построение глобальной информационной системы привело к созданию принципиально новой предпринимательской среды, появлению возможности объявить о своем бизнесе миру и включиться в мировое разделение труда. В этой принципиально новой предпринимательской среде происходит постепенное слияние компьютерных сетей информации с рекламой, телевидением, кино, телефонными и видеопереговорами, средствами электронных развлечений. Звук (речь), текст и разнообразные чертежи и изображения мгновенно передаются по всему миру, в том числе и по индивидуальному заказу. Основное назначение информатики, использующей в качестве программно-технической основы планетарный телематический комплекс, предоставить предпринимателю возможность «конструировать» требуемую информационную продукцию в соответствии с индивидуальным вкусом.
Современная информационная технология отличается чем, что в ней широко используются электронные способы получения; хранения и распространения информации посредством информационно-коммуникационных общественных сетей. В новой информационной технологии громадный объем информации становится мгновенно доступным в любое время и в любой точке планеты. Информационная технология — это совокупность методов, производственных процессов и программно-технических средств, объединенных в технологическую цепочку, обеспечивающую сбор, хранение, обработку, вывод и распространение информации для снижения трудоемкости процессов использования информационных ресурсов, повышения их надежности и оперативности.
В современной экономике предприятие понимается как совокупность информационных, человеческих и технологических ресурсов и методов их взаимодействия, организованных для достижения стратегических целей. В автоматизированной информационной технологии (АИТ) предприятия все экономические факторы и ресурсы выступают в единой информационной форме — в виде данных. Это позволяет рассматривать, например, процесс принятия решения как информационную технологию получения, осмысления и преобразования данных. Автоматизированная информационная технология дает возможность легко манипулировать многократно укрупненными данными, не вдаваясь в подробности, с тем чтобы корректировать стратегическую линию. И в то же время и так же легко АИТ позволяет обрабатывать детальную первичную информацию для решения тактических вопросов.
Автоматизированная информационная технология предлагает динамичный инструмент, при помощи которого можно передавать сообщения и анализировать данные для оперативного синтеза результатов за счет использования различных научных подходов. При этом в автоматизированной информационной системе (АИС), построенной на АИТ, более точно, чем в традиционном документообороте, отражается действительное состояние предпринимательской организации, полнее объясняются факты, обеспечиваются условия возможной взаимозаменяемости ресурсов, вырабатываются достаточно надежные альтернативные варианты решений, позволяющие предпринимателю принимать обоснованные управленческие решения. Конечно, даже самая лучшая АИС не дает абсолютных гарантий успеха, но существенно повышает его вероятность.
Современные предприятия (корпорации) рассматриваются в виде трехслойной структуры. Их базой являются капитал (любое благо, порождающее поток доходов) и иные производственные ресурсы корпорации. Второй слой - так называемая бизнес-платформа предприятия, включающая основное производство и его технологию, бизнес-стратегию и рынки. И, наконец, третий слой предприятия — бизнес-архитектура, в которую включен персонал, активно использующий информационную технологию.
Корпорация через информационную технологию активно взаимодействует с внешней средой, осуществляя эффективную обратную связь. Тем самым изменяются возможности корпорации в части повышения гибкости при реакции на изменения условий деловой среды, что позволяет считать их на следующем этапе развития кибернетическими корпорациями (киберкорпорациями). Киберкорпорация — это не пассивный участник рыночных отношений, а экономический субъект, постоянно изучающий изменения в производстве и на рынке и вводящий инновации в свою деятельность, чтобы завоевать, удержать и укрепить свои рыночные позиции.
Информационная технология и пользователь играют роль генератора дохода, когда они в процессе интерактивного диалога создают информационный продукт и порождают добавочную стоимость, обогащая и рафинируя исходное информационное сырье. Диктуемые бизнесом потребности в повышении качества управления, уровня соответствия информационных процессов реальным бизнес-процессам (в том числе ускорение документооборота и подготовки принятия управленческих решений) являются ключевым фактором для развития современных информационных систем. Автоматизированные информационные системы как связующее звено при выработке стратегии бизнеса, изменении управления, организации целенаправленной работы с персоналом играют значимую роль в успешной реализации стратегии предприятия в целом.
Современное делопроизводство предусматривает применение компьютера в управленческой деятельности для хранения, поиска и отображения информации, позволяя свести к минимуму или исключить полностью применение бумажных носителей. Электронный офис предполагает организацию работы групп пользователей над совместным решением сложных распределенных задач в электронных компьютерных сетях с помощью средств вычислительной техники. В настоящее время существует большое число концепций построения электронного офиса, в частности фирм Microsoft, Borland, Lotus. Все чаще обращаются к понятию workflow — стратегии обеспечения управления прикладными программами, необходимыми для прохождения потока работ в электронном офисе.
Основная задача управления — координация деятельности подразделений для наиболее эффективного их использования в решении стратегических, тактических и текущих задач предприятия. Этому служит высокий профессионализм сотрудников, широкая информационная поддержка анализа состояния и тенденций развития, компетентность в принятии стратегических и тактических решений, планирование и координация деятельности подразделений для достижения общих целей, проведение организационных и текущих мероприятий по поддержанию бизнеса, организация контроля и развития коллектива и каждого отдельного работника. Цель разработки и внедрения систем поддержки принятия решений (СППР) — информационная поддержка оперативных возможностей и создание благоприятных условий для высшего руководства и ведущих специалистов для принятия обоснованных решений, соответствующих миссии предприятия, а также его стратегическим и тактическим целям.
Как известно, мало собрать информацию и организовать ее хранение, важно уметь пользоваться ею. На базе одной и той же информации могут делаться различные, не исключено, что и противоположные выводы. Информационные хранилища строятся с учетом предметной ориентации данных. Данные в информационном хранилище структурируются за счет использования метаданных в зависимости от уровня агрегирования. Основными потенциальными пользователями информационных хранилищ являются среднее и высшее звенья управления, системные аналитики. Зачастую это неординарно мыслящие люди, многие из которых достаточно эрудированы в области компьютерных технологий и современных аналитических методов. Только небольшая часть их аналитических потребностей может быть предварительно сформулирована, регламентирована и документирована. Поэтому особое место в их работе отводится вопросам анализа, в том числе математической поддержке подготовки принятия решения.
Информационная технология — это ключевой фактор, определяющий объем и род информации, которую компания может собрать, обработать и проанализировать. В то же время выбор информации, необходимой для подготовки и принятия решения, — задача не специалиста по вычислительной технике, а лица (или лиц), которое пользуется этой информацией. Чтобы решить, где граница информации, имеющей решающее значение для стратегических и оперативных решений, предприятию следует расширить информационную сеть на основе современного оборудования и технологии, а не пытаться сэкономить на этом, рискуя упустить ценную информацию.
Таким образом, успехи, достигнутые в развития средств прикладной информатики, открывают возможности построения информационно-насыщенных рабочих мест и электронных офисов с совершенно новой основой творчества, когда единицей «общения» становится не страница книги, лист бумаги или чертежа, а активный информационный экран. Экранно-динамическое интерактивное моделирование внутри киберпространства раскрывает информационную картину объектов или процессов в их взаимосвязи и усиливает творческие возможности человека.
Ответы на тесты, тренировочные и практические задания по темам
Тема 1
1.1. б) Нет.
1.2. б) Нет.
1.3. б) Тезаурус — это свод слов, понятий, связанных смыслом.
1.4. б) Нет.
1.5. б) Системе.
1.6. а) Уменьшается.
1.7. а) Информационный поток.
1.8. б) Производственную.
1.9. а) Да.
1.10. г) Совокупность первых трех совокупностей (а + б + в).
1.11. 25 бит информации.
Тема 2
2.1. а) Управления процессом в режиме реального времени.
2.2. ж) На всех, перечисленных выше факторах (а + б + в + г + д + е).
2.3. в) Совокупность обоих факторов (а + б).
2.4. б) Технология взаимодействия.
2.5. е) Совокупность факторов со второго по четвертый (б + в + г).
2.6. Предполагается обязательное присутствие трех компонент: 1) комплекса технических средств, состоящего из средств вычислительной, коммуникационной и организационной техники; 2) системы программных средств, состоящей из системного (общего) и прикладного программного обеспечения; 3) системы организационно-методического обеспечения, включающего инструктивные и нормативно-методические материалы по организации работы управленческого и технического персонала в рамках конкретной АИТУ обеспечения управленческой деятельности.
Тема 3
3.1. в) Программирование.
3.2. а) Да.
3.3. а) Да.
3.4. в) Чаще всего.
3.5. е) Все пять характеристик (а + б + в + г + д).
3.6. г) Всеми тремя компонентами (а + б + в).
3.7. а) Да.
3.8. д) Из всех четырех модулей (а + б + в + г).
3.9. д) Из совокупности всех четырех модулей (а + б + в + г).
3.10. Для автоматических систем объектами управления являются технологические процессы и работа оборудования; человек не принимает участия в процессе управления. Для автоматизированных систем объектом управления выступают коллективы людей, занятых в сфере материального производства и сфере обслуживания; роль человека остается определяющей.
3.11. В многоуровневой иерархической производственной системе управления (например, гибкой производственной системе) можно выделить три уровня управления: 1) уровень управления работой оборудования и технологическими процессами; 2) уровень оперативного управления ходом производственного процесса; 3) уровень планирования работ.
Тема 4
4.1. ж) Все четыре метода (а + б + в + г).
4.2. а) Бизнес-процесс.
4.3. а) Создание новых и более эффективных бизнес-процессов без учета предшествующего развития.
4.4. е) Всех пяти видов средств (а + б + в + г + д).
4.5. д) Все четыре способа (а + б + в + г).
4.6. е) Все перечисленные черты (а + б + в + г).
4.7. Внешние информационные потоки отражают отношения между предприятием и экономическими и политическими субъектами, действующими за пределами предприятия (экономические, правовые, политические, социально-культурные, технологические, географические и т. д.). Внутренние информационные потоки отражают производственные и кадровые вопросы.
4.8. Информационное пространство бизнеса включает: 1) биржевую и финансовую информацию; 2) экономическую и статистическую информацию; 3) коммерческую информацию; 4) юридическую информацию; 5) политическую информацию.
Тема 5
5.1. а) Появление консалтинговых компаний связано с тем, что руководство предприятий не способно самостоятельно справиться с возникшими проблемами.
5.2. з) Все шесть целей (а + б + в + г + д + е).
5.3. к) Первые четыре этапа (а + б + в + г).
5.4. д) Все четыре метода (а + б + в + г).
5.5. а) Модель представляет собой «снимок» положения дел на предприятии на момент обследования.
5.6. з) Все шесть элементов (а + б + в + г + д.+ е).
Тема 6
6.1. а) Да.
6.2. а) Снижение издержек производства путем почти полной ликвидации излишних материальных запасов или избыточной рабочей силы.
6.3. е) Все три вида планов (а + б + в).
6.4. а) Программно-аппаратный комплекс, предназначенный для обработки документов и автоматизации работы пользователей в системах управления.
6.5. а) Да.
6.6. а) Да.
6.7. в) Документационное обеспечение управления.
6.8. а) Классификация задач электронного офиса основана на степени их интеллектуальности и сложности.
6.9. б) Решение задач управления и принятия решений.
6.10. а) Да.
6.11. а) Да.
6.12. б) Наличие интегрированных пакетов прикладных программ, включающих специализированные программы и информационные технологии, которые обеспечивают комплексную реализацию задач любой предметной области.
6.13. г) Все три этапа (а + б + в).
6.14. а) Да.
6.15. а) Да.
6.16. в) Программная система, имитирующая на компьютере мышление человека.
6.17. б) Построение базы знаний.
6.18. а) Да.
6.19. Суть системы MRP состоит в следующем: 1) на базе заказов определяется очередность выпуска продукции предприятием; 2) с учетом сроков выпуска продукции и технологического процесса изготовления формируется график ведения производства в подетальном разрезе; 3) в соответствии с графиком изготовления продукции и ее компонентов выявляется потребность в исходных материалах и сроки их поставки производственным подразделениям предприятия; 4) на основе учета передачи материалов в производственные подразделения и учета хода выпуска продукции и ее компонентов формируется потребность фирмы в материалах, подлежащая удовлетворению за счет очередных заказов.
6.20. В своем развитии стандарт MRP II прошел следующие этапы: 1960-е - начало 1970-х годов — планирование потребности в материалах (MRP), на основании данных о запасах на складе и состава изделий; е годы - планирование потребности в материалах по замкнутому циклу, включающее составление производственной программы и ее контроль на цеховом уровне; конец 1980-х — начало 1990-х годов - ведение прогнозирования, планирования и контроля за производством на основе данных, полученных от поставщиков и потребителей; 1990-е годы - планирование потребности в распределении и ресурсах на уровне предприятия (ERP и DRP).
6.21. Систему «канбан» («канбан» в переводе означает карточка) можно охарактеризовать следующим образом. Эта система является информационной системой, которая регулирует производство необходимой продукции в нужном количестве и в нужное время на каждой стадии производства как на заводах фирмы, так и на заводах поставщиков. Она развивалась как средство оперативного управления производством в течение месяца и как механизм системы «точно в срок».
6.22. Активизация человеческого фактора на фирме «Тоета» подразумевает следующее: соединение энергии работников с повышением эффективности производственных процессов путем устранения излишних операций. Основными средствами достижения этой цели являются внедренная система рационализаторских предложений и организации работы «кружков качества».
6.23. Современные системы управления проектами обеспечивают основной набор функциональных возможностей, которые включают: средства проектирования структуры работ по проекту; средства планирования по методу критического пути; средства планирования ресурсов; стоимостной анализ; средства контроля за ходом выполнения проекта; средства составления отчетов, построения графиков и диаграмм. Наряду с этими функциями наиболее распространенные пакеты по управлению проектами могут выполнять дополнительные функции: анализ рисков; учет рабочего времени исполнителей; расчет расписания при ограниченных ресурсах; интеграция системы управления проектами в корпоративные управленческие системы; настройка универсальных пакетов на специфику конкретной области.
6.24. Интегрированная автоматизированная информационная система управления проектами имеет как минимум три уровня управления: уровень стратегического управления; уровень текущего управления; уровень исполнения.
6.25. В состав электронного офиса входят следующие аппаратные средства: один или несколько персональных компьютеров, объединенных в сеть (локальную или глобальную, в зависимости от рода деятельности офиса); печатающие устройства; средства копирования документов; модем (если компьютер подключен к глобальной сети или территориально удаленной ЭВМ) и др.
6.26. Наиболее известными пакетами по управлению проектами являются следующие: Artemis Project View, Open Plan Professional, Primavera Project Planner, Open Plan Desktop, Project 98, Project Scheduler, CA-Super Project, Sure Trak Project Manager, Time Line, AutoPLAN II, Project Workbench PMW, SAS/OR, Infinium, PLATINUM Process Continuum, Mac Project Pro, Plan Vien.
6.27. К офисным задачам относятся следующие: делопроизводство, управление, контроль управления, составление отчетов, поиск, ввод и обновление информации, составление расписаний, обмен информацией между отделами офиса, офисами предприятия и предприятиями.
6.28. Существующие корпоративные системы обладают большими возможностями: поддерживают управленческие функции, интегрируют системы управления предприятием, облегчают управление формированием спроса, поставками, производством и сбытом.
Тема 7
7.1. е) Перечисленные виды информации кроме второго (а + в + г + д).
7.2. е) Актуальность.
7.3. в) Защита информации от утечки, модификации и утраты.
7.4. б) Средства обеспечения безопасности информации.
7.5. з) Пять из перечисленных угроз (а + б + в + г + д).
7.6. ж) Пять из перечисленных видов работ (а + в + г + д + е).
7.7. п) Шесть из перечисленных методов (а + в + д + к + л + м).
7.8. о) Шесть из перечисленных средств (б + в + и + к + л + м).
7.9. а) Специально написанная небольшая по размерам программа, которая может «приписывать» себя к другим программам (т. е. «заражать» их), а также выполнять различные нежелательные действия на компьютере (например, портить файлы или таблицы размещения файлов на диске, «засорять» оперативную память и т. д.).
7.10. к) Все перечисленные меры (а + б + в + г + д + е + ж + з + и).
7.11. Методы защиты информации — управление доступом к информации, регламентация, принуждение, побуждение. Средства защиты информации - аппаратные, программные, организационные, законодательные, морально-этические.
Тема 8
8.1. а) Разность дисконтированных на один момент времени результатов и затрат.
8.2. а) Когда дисконтированные результаты превышают дисконтированные затраты.
8.3. б) Ток = R/K.
8.4. в) Период времени, в течение которого сумма дисконтированных результатов становится равной сумме дисконтированных затрат.
8.5. По проекту А:
RA = 50 х 1,1-3 + 50 х 1,1-4 + 300 х 1,1-5 + 100 x 1,1-6 = 345,88;
КA = 100 х 1,1-1 + 150 x 1,1-2 = 214,88;
ЧДДА = RA – КA = 131,01;
По проекту В:
RB = 100 х 1,1-3 + 100 х 1,1-4 +200 х 1,1-5 + 100 х l,1-6 = 356,47;
KB = 200 х 1,1-1 + 50 х 1,1-2 = 223,14;
ЧДДB = RB - KB = 133,33.
8.6. б) Проект В.
8.7. б) ИДA = RA/KA = 1,609; ИДB= RB/KB = 1,597.
8.8. а) Приблизительно 4,3 года.
Итоговые тренировочные задания и тесты
Тренировочные задания
1. Обоснуйте невозможность использования учетных информационных систем (систем реализации запросов по текущим операциям) для анализа развития рынка и разработки стратегии конкуренции. Обоснование должно включать:
а) перечень функций, выполняемых в указанных системах;
б) перечень функций, необходимых для выполнения вышеуказанных задач?
2. Аргументированно обоснуйте необходимость обеспечения информационной безопасности.
3. Назовите факторы, действие которых обеспечивает эффективность автоматизированных информационных технологий управления.
4. Назовите показатели, используемые для количественной оценки эффективности автоматизированных информационных технологий управления.
5. Как рассчитывается показатель чистого дисконтированного дохода?
6. Приведите модифицированную формулу расчета чистого дисконтированного дохода.
7. Что такое индекс доходности?
8. Что представляет собой внутренняя норма доходности?
9. Дайте определение срока окупаемости.
10. Что принимается во внимание при определении расчетного периода?
11. Назовите основные подходы к определению результата при оценке эффективности автоматизированных информационных технологий управления.
12. Какие основные виды рисков, связанных с внедрением автоматизированных информационных технологий управления вы знаете?
Тесты
Закончите предложения.
13. Бизнес — это...
14. Консалтинг - это...
15. Бизнес-процесс— это...
16. Информатизация общества — это...
17. Данные — это...
18. Информация — это...
19. Процесс управления - это...
20. Информационную систему управления объектом составляют...
21. Информационная технология — это...
22. Платформа определяет...
23. Интерфейс - это...
24. Эффективный способ разработать план для достижения конкурентного преимущества - это...
25. Правильное определение бизнеса обычно требует принятия во внимание трех факторов...
26. Внешние информационные потоки отражают...
27. Внутренние информационные потоки определяются...
28. Технология реинжиниринга включает...
29. В процессе реинжиниринга предполагается использование следующих программно-инструментальных средств...
30. Наиболее часто встречающимися способами использования информационных технологий в реинжиниринге бизнес-процессов являются...
31. Современные типы организационных структур обладают следующими характеристиками...
32. Разработку и внедрение новых организационных структур управления обычно рекомендуется осуществлять в следующей последовательности...
33. В процессе разработки консалтинговых проектов преследуются следующие цели...
34. Системный проект должен включать...
35. Любая автоматизированная информационная технология управления состоит из нескольких частей...
36. В традиционном понимании платформа - это...
37. Программный продукт (изделие) — это...
38. Можно выделить несколько фаз существования программного продукта в течение его жизненного цикла, а именно...
39. Приобретение программного продукта - это...
40. Информационной (компьютерной) сетью называется...
41. Суть системы MRP состоит в следующем...
42. Философия системы управления производством фирмы «Тоета» предусматривает, что...
43. Основными положениями, которые лежат в основе системы управления на фирме «Тоета», являются...
44. «Кружок качества» — это...
45. Современные системы управления проектами обеспечивают основной набор функциональных возможностей, которые включают...
46. Одна из важных особенностей автоматизации управления — это...
47. Имитационное моделирование - это...
48. К офисным задачам можно отнести следующие...
49. Электронным офисом называется...
50. В состав электронного офиса входят следующие аппаратные средства...
51. Для выбора системы электронного документооборота существуют следующие критерии...
52. Главной отличительной чертой программ, составляющих интегрированный пакет, является...
53. Электронная почта позволяет...
54. Искусственный интеллект — это...
55. Отличительной чертой нейронных сетей является...
56. Экспертная система — это...
57. База знаний — это...
58. Защита информации — это...
59. Утечка информации — это...
60. Система защиты — это...
61. Системный подход к защите компьютерных систем предполагает...
62. Технология оценки эффективности информационных технологий управления может быть следующей...
63. Основными показателями общественной эффективности являются...
Ответы на итоговые тренировочные задания
1. Учетные информационные системы (системы реализации запросов по текущим операциям) выполняют следующие функции: бухгалтерский учет, контроль за выполнением плана, ведение статистики для внешней отчетности. Для анализа развития рынка и разработки стратегии конкуренции необходимо выполнение следующих функций: анализ эффективности производственно-хозяйственной деятельности предприятия, анализ динамики развития производства, анализ развития рынка, анализ ценообразования, анализ причин движения цен, анализ инновационных процессов и т. д.
2. Обеспечение информационной безопасности — это гарантия удовлетворения законных прав и интересов субъектов информационных отношений. К субъектам информационных отношений относят государство (в целом или отдельные его органы и организации), общественные или коммерческие организации (объединения) и предприятия (юридические лица), отдельных граждан (физические лица).
3. Основными факторами, обеспечивающими эффективность АИТУ, являются: повышение качества проведения вычислительных работ, повышение надежности функционирования вычислительных ресурсов, сокращение сроков создания и освоения новых информационных технологий, увеличение объема и сокращение сроков переработки информации, повышение производительности труда разработчиков и пользователей новых информационных технологий и др.
4. Основными показателями эффективности АИТУ являются: чистый дисконтированный доход (ЧДД), индекс доходности (ИД), внутренняя норма доходности (ВНД), срок окупаемости.
5. Величина ЧДД для постоянной нормы дисконта вычисляется по формуле:

где Rt - результаты, достигаемые на t-м шаге; Зt - затраты, осуществляемые на том же шаге; Т — горизонт расчета, равный номеру шага расчета, на котором производится ликвидация объекта; (Rt — Зt) — эффект, достигаемый на t-м шаге; 1/(1 + Е)t - коэффициент дисконтирования; Е - норма дисконта.
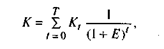
6. На практике нередко используется модифицированная формула определения ЧДД. Для этого из состава Зt, исключают капиталовложения Kt на t-м шаге. Сумма дисконтированных капиталовложений равна:
![]()
где K — дисконтированные капитальные вложения. Тогда формула расчета ЧДД будет иметь вид:
![]()
где Зt+ — затраты на t-м шаге при условии, что они не включают капиталовложения.
7. Индекс доходности (ИД) представляет собой отношение суммы приведенных эффектов к величине капиталовложений:
![]()
8. Внутренняя норма доходности (ВНД) представляет собой норму дисконта (EВН), при которой величина приведенных эффектов равна приведенным капиталовложениям.
9. Срок окупаемости — это период (измеряемый в месяцах, кварталах и годах), начиная с которого первоначальные вложения и другие затраты, связанные с инвестиционным проектом, покрываются суммарными результатами его осуществления. Результаты и затраты, связанные с осуществлением проекта, можно вычислять с дисконтированием или без него. Соответственно получатся два различных срока окупаемости.
10. Продолжительность расчетного периода устанавливается с учетом: а) продолжительности создания, эксплуатации и (при необходимости) ликвидации объекта; б) средневзвешенного нормативного срока службы основного технологического оборудования; в) достижения заданных характеристик прибыли (массы и/или нормы прибыли и т. д.); г) требований инвестора.
11. Можно выделить следующие подходы к определению результативности информационной технологии: а) когда результаты эффективности производства и управления совпадают; б) когда результат эффективности управления составляет долю от результата эффективности производства в целом; в) когда определяется только результат от внедрения (продажи) информационной технологии управления; г) когда определение эффективности новой технологии управления предполагает разработку дерева целей и их количественную оценку; д) когда определяется результат от разработки и внедрения конкретного управленческого решения, использующего новую информационную технологию; е) когда определяется результат деятельности управленческого персонала на всех иерархических уровнях (или отдельном уровне), использующих новую информационную технологию.
12. При внедрении и эксплуатации информационных технологий управления можно выделить две основные категории рисков: первая связана с машинными компонентами, а вторая - с людьми, которые организуют работу системы и пользуются результатами ее работы.
Глоссарий
Автоматизированное рабочее место (АРМ) — состоит из персонального компьютера, оснащенного профессионально ориентированными инструментальными средствами и размещенного на рабочем месте пользователя.
Алгоритм — последовательность четко определенных действий, выполнение которых ведет к решению задачи. Алгоритм, записанный на языке машины, есть программа решения задачи.
База данных — автоматизированное хранилище оперативно обновляемой информации.
Банк данных — совокупность нескольких баз данных с программами управления ими и совместимыми аппаратными средствами.
Безопасность информационных систем — защита данных, информации и программ от несанкционированного доступа к ним.
Бизнес-данные — информация о людях, местах, вещах, правилах ведения бизнеса и событиях.
Бизнес-модель — взгляд на бизнес в любой заданный момент времени. Взгляд может быть в отношении процесса, данных, событий или планируемых ресурсов. Возможно построение модели прошлого, настоящего или будущего состояния бизнеса.
Бизнес-процесс — серия логически взаимосвязанных действий, в которых используются ресурсы предприятий (организаций) для создания или получения полезного для заказчика продукта (товара или услуги) в фиксированный промежуток времени.
Видеоконференцсвязь — одна из новейших информационных технологий организации дистанционного визуального группового общения, проведения совещаний, обучения в виртуальной реальности, но создающая атмосферу, близкую к реальности.
Виртуальная реальность — компоненты влияния со стороны информационных систем, такие, как изображение, звук, механические вибрации, струи воздуха, запах и т. д.
«Всемирная паутина» (www) — гипертекстовая информационная система, созданная на основе глобальной информационной сети Internet.
Геоинформационная система — средство создания и обработки многослойной базы данных и визуализации ее объектов.
Гипертекст — нелинейная сетевая форма организации материала, разделенного на фрагменты, для каждого из которых указан переход к другим фрагментам по определенным типам связей.
Глобальная информационная сеть — соединение нескольких региональных сетей компьютеров между собой каналами (линиями) связи для передачи информации между регионами и странами с целью совместной обработки.
Данные — информация, записанная (закодированная) на языке машины.
Документ — информационное сообщение в текстовой, звуковой или электронной форме, оформленное по определенным правилам (стандартам), заверенное в установленной форме.
Документооборот — система создания, интерпретации, передачи, приема и архивирования документов, а также контроля за их выполнением и защиты от несанкционированного доступа.
Защита информации — организационные и программно-технические средства, ограничивающие несанкционированный доступ к информации.
Знания — проверенный практикой опыт познания окружающего мира, отражение действительности в мышлении человека.
Интеллект — способность человека рассуждать, делать умозаключения и выводы.
Интернет — глобальная общепланетная информационная система, или сеть сетей. Термин Internet состоит из двух частей: inter— между и net — сеть, т. е. Internet — это средство объединения разнообразных информационных сетей.
Интерфейс — правила взаимодействия операционной системы с пользователем, взаимодействия соседних уровней в сети ЭВМ.
Интрасеть - внутренняя корпоративная сеть, объединяющая несколько локальных вычислительных сетей посредством протоколов TCP/IP и HTTP.
Информатизация общества — совокупность взаимосвязанных политических, социально-экономических, научных факторов, которые обеспечивают свободный доступ каждому члену общества к любым источникам информации (кроме информации, составляющей государственную и коммерческую тайну).
Информационная модель — параметрическое представление процесса циркуляции информации, подлежащей автоматизированной обработке.
Информационная технология — совокупность методов, производственных процессов и программно-технических средств, объединенных в технологическую цепочку, обеспечивающую сбор, хранение, обработку, вывод и распространение информации для снижения трудоемкости процессов использования информационных ресурсов, повышения надежности и оперативности.
Информационное моделирование — создание и оптимизация инфологической модели в процессе разработки баз данных с целью точного и полного отображения предметной области.
Информационное обслуживание — предоставление информации для выработки и принятия решений, удовлетворения культурных, научных, производственных, бытовых и других потребностей человека.
Информационное хранилище — автоматизированная система, которая собирает данные из существующих баз и внешних источников, формирует, хранит и эксплуатирует информацию как единое целое.
Информационный запрос — текст на естественном языке, выражающий определенную потребность в информации.
Информационный продукт — специфическая услуга, когда некоторая информация предоставляется в пользование потребителю.
Искусственный интеллект — свойство автоматизированных систем брать на себя отдельные функции интеллекта человека, например, выбирать и принимать оптимальные решения на основе ранее полученного опыта и рационального анализа внешних воздействий.
Качество информации — степень снижения состояния неопределенности экономического субъекта, степень продвижения к цели, приращения тезауруса.
Коммуникация — процесс передачи сообщений, когда изменение в одной системе (или ее части) вызывает вещественно-энергетическое изменение (перенос вещества и/или энергии) в другой системе.
Количество информации — число двоичных битов или байтов в тексте.
Контроллинг — функция управления бизнесом для анализа, подготовки и выполнения управленческих решений: планирования, мониторинга, составления отчетов, совещательной функции, информирования.
Компьютерная система — совокупность аппаратных и программных средств, разного рода физических носителей информации, а также персонала, обслуживающего перечисленные выше компоненты.
Корпоративная сеть — то же, что и интрасеть.
Локальная информационная сеть — соединение нескольких компьютеров между собой линиями связи для передачи информации между подразделениями предприятия с целью ее совместной обработки.
Метаданные — данные, описывающие данные. Метаданные хранятся в словаре данных и репозитарии. Они защищают информационное хранилище данных от изменений схемы операционной системы.
Моделирование — метод исследования объектов различной природы на их аналогах (моделях) для определения, или уточнения характеристик существующих или вновь конструируемых объектов. Модель может выступать гносеологическим заместителем оригинала на четырех уровнях: элементов, структур, поведения (или функций), результатов.
Мультимедиа — интерактивная система, обеспечивающая работу с неподвижным изображением, видео, анимированной компьютерной графикой, текстом, речью и высококачественным звуком.
Мультимедийные функции — цифровая фильтрация и масштабирование видео, аппаратная цифровая компрессия (сжатие) и декомпрессия (развертка) видео, ускорение графических операций, связанных с трехмерной графикой, поддержка «живого» видео на мониторе, наличие композитного видеовыхода, вывод телевизионного сигнала на монитор.
Офис — место, где совершаются деловые операции персоналом предприятия, облеченным полномочиями принимать управленческие решения.
Операционная система — программа, которая автоматически загружается при включении компьютера и предоставляет пользователю базовый набор команд, с помощью которых можно работать на компьютере и выполнять ряд действий.
Пакетная технология — обработка данных или выполнение заданий, накопленных заранее, таким образом, чтобы они объединялись в пакет и затем обрабатывались. При этом пользователь не может влиять на обработку данных, пока она продолжается.
Платформа — тип процессора и операционной системы, на которых можно установить новый программный продукт.
Пользовательский интерфейс — набор приемов взаимодействия пользователя с приложением.
Программа решения задачи — алгоритм решения задачи, записанный на языке машины, последовательность четко определенных действий, выполнение которых ведет к решению задачи.
Приложение — совокупность программ, реализующих обработку данных в определенной области применения.
Протокол — стандартизированное соглашение по порядку обмена информацией и данными в информационных системах, правила взаимодействия систем сети одного уровня.
Процесс — функция обработки данных любого вида на компьютере,
Распределенная обработка данных — обработка данных, при которой поддержание базы в актуальном состоянии выполняется на одной ЭВМ, а содержательная обработка данных и обращение к базе — на другой.
Реальное время — режим обработки данных, при котором обеспечивается взаимодействие вычислительной системы с внешними по отношению к ней процессами в темпе, соизмеримом со скоростью протекания этих процессов.
Региональная информационная сеть — соединение многих локальных сетей компьютеров между собой линиями связи в пределах региона для передачи информации между предприятиями с целью ее совместной обработки.
Репозитарий — база данных, где хранятся метаданные.
Сервер — персональная или виртуальная ЭВМ, обслуживающая запросы клиента.
Сервер базы данных — содержит базу данных, сетевую операционную систему, сетевую систему управления базами данных для обеспечения многопользовательских запросов.
Система делопроизводства и документооборота электронных документов — комплексное применение ЭВМ в управленческой деятельности для передачи, хранения, поиска и отображения информации, позволяющее свести к минимуму или исключить полностью применение бумажных носителей информации.
Тезаурус — нормативный словарь, в котором понятие определяется логически упорядоченным множеством синонимичных или близких по значению слов.
Тезаурус гипертекста — автоматизированный словарь, отображающий семантические отношения между лексическими единицами дескрипторного информационно-поискового языка и предназначенный для поиска слов по их смысловому содержанию.
Технологический процесс — упорядоченная последовательность взаимосвязанных операций по сбору, передаче, накоплению, хранению, обработке, анализу, отображению и размножению информации.
Транзакция — входное сообщение, переводящее базу данных из одного непротиворечивого состояния в другое; запрос на изменение базы данных. В зафиксированной транзакции все операции завершены и копии результатов ее выполнения записаны в журнал.
Файл данных — совокупность данных в информационной системе.
Файл-сервер — содержит базу данных и программы управления данными для обеспечения многопользовательских запросов.
Экспертная система — система искусственного интеллекта, включающая базу знаний с набором правил и механизмом вывода, позволяющим на основании правил и предоставляемых пользователем фактов распознать ситуацию, поставить диагноз, сформулировать решение или дать рекомендацию для выбора действия.
Электронный документ — документ в электронной форме; закодированная и переданная в информационную систему электронное сообщение, все реквизиты которого заверены и оформлены в соответствии с нормативными требованиями.
Электронная почта — система пересылки и хранения сообщений между пользователями сети ЭВМ.
Электронный офис — интегрированный пакет прикладных программ, включающий предметные программы и информационные технологии, обеспечивающие реализацию задач предметной области.
Литература
1. Автоматизированные информационные технологии в банковской деятельности/Под ред. проф. . — М: Финстатинформ, 1997.
2. Автоматизированные информационные технологии в экономике/ Под ред. проф. . — М.: ЮНИТИ, 1998.
3. Автоматизированные информационные технологии в экономике/ Под ред. . — М.: Финансы и статистика, 1999.
4. Введение в информационный бизнес/Под ред. и A. B. Хорошилова. — М.: Финансы и статистика, 1996.
5. Информатика: Методические указания по выполнению практических заданий для студентов заочного обучения всех специальностей/ Под ред. проф. . — М.: ГУУ, 1998.
6. Информатика: Учебник. 3-е изд./Под ред. проф. . — М.: Финансы и статистика, 1999.
7. Информатика: Учеб. пособие для студентов заочного обучения всех специальностей/Под ред. проф. . — М.: «Финстатинформ», 1998.
8. Информационные технологии в маркетинге: Учебник для вузов/Под ред. проф. . — М.: ЮНИТИ-ДАНА, 2000.
9. Информационные технологии управления: Учебно-практическое пособие для студентов заочного обучения всех специальностей/Под ред. проф. . — М.: ГУУ, 2000.
10. Информатика. — М.: ИНФРА-М, 2000.
11. , Информатизация бизнеса. — М.: Финансы и статистика, 1997.
12. , Информационные технологии в управлении. — М.: Финстатинформ, 1999.
13. Защита информации в компьютерных системах. — М.: Финансы и статистика, Электроинформ, 1997.
14. Организация информационного обмена в информационно-вычислительных сетях: Учеб. пособие. — М.: ФАПСИ, 1998.
1) 15 , Реинжиниринг бизнеса: реинжиниринг организаций и информационные технологии. — М.: Финансы и статистика, 1997.
15. Информатика: Учебник для вузов. — М.: Высшая школа, 1999.
16. Толковый словарь по вычислительным системам. — М.: Машиностроение, 1990.
Содержание
ВВЕДЕНИЕ................................................................................................................................................................................................................... 3
ТЕМА 1. ИНФОРМАТИЗАЦИЯ ОБЩЕСТВА, ПОНЯТИЕ ИНФОРМАЦИИ И СИСТЕМЫ УПРАВЛЕНИЯ.......................... 3
Понятие информации............................................................................................................................................................................................... 5
Количество и качество информации................................................................................................................................................................... 7
Понятие системы и ее свойства............................................................................................................................................................................ 8
Основные признаки систем.................................................................................................................................................................................... 8
Понятие «черного ящика»...................................................................................................................................................................................... 9
Иерархическая система.......................................................................................................................................................................................... 9
Управляющие системы......................................................................................................................................................................................... 12
Прямая и обратная связь управления............................................................................................................................................................... 13
Тесты и тренировочные задания....................................................................................................................................................................... 14
ТЕМА 2. СТРУКТУРА АВТОМАТИЗИРОВАННЫХ ИНФОРМАЦИОННЫХ ТЕХНОЛОГИЙ И СИСТЕМ УПРАВЛЕНИЯ.......................................................................................................................................................................................................................................... 15
Состав информационной технологии управления....................................................................................................................................... 16
Свойства, структура и классификация автоматизированных информационных технологий управления................................. 17
Тесты и тренировочные задания....................................................................................................................................................................... 19
ТЕМА 3. НАПРАВЛЕНИЯ АВТОМАТИЗАЦИИ УПРАВЛЕНЧЕСКОЙ ДЕЯТЕЛЬНОСТИ......................................................... 20
Этапы развития информационных систем управления в России............................................................................................................. 20
Информационная пирамида................................................................................................................................................................................ 21
Основные направления развития автоматизации управления................................................................................................................. 22
Автоматизированные системы управления технологическими процессами (АСУ ТП)..................................................................... 24
Системы автоматизации проектирования (САПР)........................................................................................................................................ 25
Автоматизированная система управления производством (АСУП)........................................................................................................ 28
Автоматизированная система управления гибкой производственной системой (АСУ ГПС)........................................................... 28
Тесты и тренировочные задания....................................................................................................................................................................... 31
ТЕМА 4. ИНФОРМАЦИОННАЯ ПОДДЕРЖКА БИЗНЕСА...................................................................................................................... 32
Внешняя и внутренняя среда предприятия..................................................................................................................................................... 34
Понятие бизнес-процесса..................................................................................................................................................................................... 36
Реинжиниринг бизнес-процессов....................................................................................................................................................................... 36
Кросс-функциональное решение проблем...................................................................................................................................................... 37
Описание и управление процессами................................................................................................................................................................ 37
Процессорные структуры.................................................................................................................................................................................... 37
Технология реинжиниринга................................................................................................................................................................................ 38
Влияние информационных технологий на развитие реинжиниринга бизнес-процессов.................................................................. 39
Влияние информационных технологий управления на организационную структуру предприятия............................................ 39
Тесты и тренировочные задания....................................................................................................................................................................... 41
ТЕМА 5. МЕТОДОЛОГИЯ ПРОЕКТИРОВАНИЯ АВТОМАТИЗИРОВАННЫХ ИНФОРМАЦИОННЫХ ТЕХНОЛОГИЙ УПРАВЛЕНИЯ........................................................................................................................................................................................................... 42
Понятие управления по функциям..................................................................................................................................................................... 42
Понятие консалтинга............................................................................................................................................................................................. 43
Цели разработки консалтинговых проектов.................................................................................................................................................. 43
Этапы разработки консалтинговых проектов............................................................................................................................................... 44
Внутреннее строение автоматизированных информационных технологий управления................................................................. 47
Понятие платформы как комплекса аппаратных и программных средств........................................................................................... 50
Понятие программного продукта...................................................................................................................................................................... 51
Жизненный цикл программного продукта...................................................................................................................................................... 51
Приобретение программного продукта........................................................................................................................................................... 52
Локальные и глобальные информационные сети......................................................................................................................................... 53
Электронная почта................................................................................................................................................................................................ 54
Передача файлов.................................................................................................................................................................................................... 54
Серверы World Wide Web...................................................................................................................................................................................... 54
Электронные конференции.................................................................................................................................................................................. 54
Средство Telnet....................................................................................................................................................................................................... 54
ТЕМА 6. ПРАКТИКА ИСПОЛЬЗОВАНИЯ АВТОМАТИЗИРОВАННЫХ ИНФОРМАЦИОННЫХ ТЕХНОЛОГИЙ УПРАВЛЕНИЯ........................................................................................................................................................................................................... 56
6.1. Сравнительный анализ концепций создания автоматизированных информационных технологий управления производством......................................................................................................................................................................................................... 56
Философия и основные понятия систем MRP............................................................................................................................................ 56
Эволюция систем MRP..................................................................................................................................................................................... 57
Концепция японского подхода к управлению производством (на примере фирмы «Тоета»)...................................................... 58
Сравнение традиционного и японского подхода..................................................................................................................................... 59
6.2. Использование автоматизированных информационных технологий в управлении проектами........................................... 60
6.3. Использование имитационного моделирования при принятии управленческих решений..................................................... 63
Общие сведения об имитационном моделировании................................................................................................................................ 63
Имитационные модели производственных процессов........................................................................................................................... 64
Имитационные модели предприятий........................................................................................................................................................... 65
6.4. Технология автоматизации офиса............................................................................................................................................................ 65
Офис как информационная система............................................................................................................................................................. 65
Электронный офис............................................................................................................................................................................................ 66
Виртуальный офис............................................................................................................................................................................................ 67
Системы электронного документооборота............................................................................................................................................... 67
Примеры электронного документооборота............................................................................................................................................... 68
Автоматизация деловых процессов............................................................................................................................................................. 69
Интегрированные пакеты программных продуктов............................................................................................................................... 70
Microsoft Office................................................................................................................................................................................................... 70
Электронная почта в офисе............................................................................................................................................................................ 71
6.5. Автоматизированное рабочее место специалиста............................................................................................................................. 72
Автоматизированное рабочее место конструктора................................................................................................................................ 73
Автоматизированное рабочее место специалиста - разработчика технической документации................................................ 73
Автоматизированное рабочее место технолога....................................................................................................................................... 74
Автоматизированное рабочее место экономиста.................................................................................................................................... 74
Автоматизированное рабочее место бухгалтера.................................................................................................................................... 74
Автоматизированное рабочее место руководителя................................................................................................................................ 75
6.6. Понятие «интеллектуальной» информационной технологии........................................................................................................... 76
Суперкомпьютеры............................................................................................................................................................................................. 77
Бионический (нейросетевой) подход к созданию интеллектуальных компьютерных систем.................................................... 77
Исследования в области искусственного интеллекта............................................................................................................................. 79
Построение и использование экспертных систем управления............................................................................................................. 80
Основные задачи экспертных систем.......................................................................................................................................................... 80
Построение экспертных систем..................................................................................................................................................................... 81
Базы знаний......................................................................................................................................................................................................... 81
6.7. Анализ возможностей корпоративных систем...................................................................................................................................... 82
Тесты и тренировочные задания....................................................................................................................................................................... 84
ТЕМА 7. ЗАЩИТА ИНФОРМАЦИИ В АВТОМАТИЗИРОВАННЫХ ИНФОРМАЦИОННЫХ ТЕХНОЛОГИЯХ УПРАВЛЕНИЯ........................................................................................................................................................................................................... 86
Необходимость и потребность в защите информации................................................................................................................................ 86
Основные понятия.................................................................................................................................................................................................. 87
Угрозы безопасности............................................................................................................................................................................................. 88
Каналы утечки и несанкционированного доступа к информации.......................................................................................................... 90
Модель нарушителя.............................................................................................................................................................................................. 91
Методы и средства защиты................................................................................................................................................................................. 93
Принципы проектирования системы защиты................................................................................................................................................. 96
Тесты и тренировочные задания....................................................................................................................................................................... 97
ТЕМА 8. ОЦЕНКА ЭФФЕКТИВНОСТИ АВТОМАТИЗИРОВАННЫХ ИНФОРМАЦИОННЫХ ТЕХНОЛОГИЙ УПРАВЛЕНИЯ........................................................................................................................................................................................................... 99
Подходы к оценке эффективности автоматизированных информационных технологий управления.......................................... 99
Показатели общественной эффективности автоматизированных информационных технологий управления....................
Учет риска при оценке эффективности автоматизированной информационной технологии управления.............................
Материальные риски.......................................................................................................................................................................................
Риски для здоровья...........................................................................................................................................................................................
Тесты и практические задания......................................................................................................................................................................
Заключение............................................................................................................................................................................................................
Ответы на тесты, тренировочные и практические задания по темам....................................................................................................
Итоговые тренировочные задания и тесты....................................................................................................................................................
Глоссарий...............................................................................................................................................................................................................
Литература.............................................................................................................................................................................................................
ИНФОРМАЦИОННЫЕ
ТЕХНОЛОГИИ УПРАВЛЕНИЯ
Учебное пособие
Под редакцией проф.
Редактор
Компьютерная верстка и графика
Оформление серии
ЛР№ 000 от 01.01.2001
Подписано в печать 20.01.2001. Формат 60 х 88/16.
Печать офсетная. Усл. печ. л. 13,72.
Тираж 6000 экз. Заказ № 000.
Цена договорная.
Издательский Дом «ИНФРА-М»,
Москва, Дмитровское ш., 107.
Тел.: (0, .
Факс: (0Робо
E-mail: books @ *****
http://www. *****
Отпечатано с готовых диапозитивов в Тульской типографии.
г. Тула, пр. Ленина, 109.
|
Из за большого объема этот материал размещен на нескольких страницах:
1 2 3 4 5 6 7 8 9 |



