Лекция 7. РАВНОВЕСИЕ НА ТОВАРНОМ РЫНКЕ. ПРОСТАЯ КЕЙНСИАНСКАЯ МОДЕЛЬ или МОДЕЛЬ «КЕЙНСИАНСКОГО КРЕСТА».
7.1. Товарный рынок и его равновесие
В краткосрочном периоде не наблюдаться автоматическое равенство совокупных расходов совокупному выпуску. Условия равновесия товарного рынка в краткосрочном периоде были исследованы Дж. М. Кейнсом. Кейнс предложил модель, которая позволяла определить величину равновесного национального дохода и соответственно величину равновесного объема производства, доказав, что величина совокупного выпуска определяется величиной совокупных расходов, т. е. спрос определяет предложение. Главной макроэкономической проблемой становился совокупный спрос. Эта модель получила название модели «доходы-расходы». Другое ее название - простая кейнсиан-ская модель или модель «Кейнсианского креста». Предпосылки простой Кейнсианской модели:
• Уровень цен не меняется
• Номинальные показатели совпадают с реальными показателями.
• Ставка процента неизменна.
• Совокупное предложение совершенно эластично, что соответствует горизонтальной кривой совокупного предложения. Экономический смысл краткосрочной кривой AS: отсутствует проблема ограниченности ресурсов, и производство способно удовлетворить любой по величине совокупный спрос.
• ВНП=ЧНП=НД
• Налоги только прямые и их платят только домохозяйства.
• В экономике отсутствует корпоративный сектор, поэтому доходы фирм превращаются в доходы домохозяйств.
• Следует отметить, что Кейнс строил свою модель для закрытой экономики и исходил из предпосылки, что чистый экспорт Хп = 0, однако расширение модели и введение в анализ иностранного сектора позволяет описать современную открытую экономику, для которой характерна интернационализация экономических связей.
• Спрос на товарном рынке предъявляют все макроэкономические агенты (домохозяйства, фирмы,
государство и иностранный сектор). Поэтому совокупный спрос можно определить как сумму спросов всех макроэкономических агентов на конечные товары и услуги или как сумму совокупных расходов в экономике. Таким и представить формулой: AD = С +1 + G + Хп
7.2. Потребление и сбережения в кейнсианской модели.
Теория потребления, предложенная Дж. М.Кейнсом, получила название теории абсолютного дохода. Она основана на следующих предпосылках:
• уровень потребления зависит только от абсолютной величины текущего располагаемого дохода: С - С (Yd), и эта зависимость положительная, т. е. с ростом располагаемого дохода потребление растет, однако
• в экономике действует психологический закон, согласно которому «люди склонны, как правило, увеличивать свое потребление с ростом дохода, но в меньшей степени, чем растет доход». Это объясняется тем, что поскольку располагаемый доход делится на потребление и сбережения:
Yd = C + S,
то при росте располагаемого дохода увеличивается и потребление, и сбережения. Поэтому в экономике существуют определенные поведенческие коэффициенты, которые Кейнс назвал «предельной склонностью к потреблению» и «предельной склонностью к сбережению».
Лекции по макроэкономике
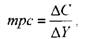
Предельная склонность к потреблению (marginal propensity to consume - mpc) - это коэффициент, который показывает, на сколько увеличится (уменьшится) потребление при росте (сокращении) дохода на единицу:
очевидно, что 0< трс<1.
Предельная склонность к сбережению (marginal propensity to save - mps) - это коэффициент, который показывает, на сколько увеличатся (уменьшатся) сбережения при росте (сокращении) дохода
на единицу:![]()
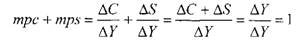
Сумма предельной склонности к потреблению и предельной склонности к сбережению равна 1:
![]()
• часть потребления не зависит от величины располагаемого дохода и называется автономным потреблением - Со
|
|
Таким образом, кейнсианская функция потребления имеет вид:
![]()
На рис.7.1.(а) представлен график функции потребления Кейнса:
Тангенс угла наклона функции потребления равен предельной склонности к потреблению трс, которая в краткосрочном периоде является постоянной величиной и определяется национальными особенностями страны. Чем больше трс, тем наклон функции потребления больше. Сдвиг кривой может быть обусловлен изменением величины автономного потребления (Со), при увеличении которого кривая сдвигается вверх.
Функция сбережений Кейнса имеет вид:
![]()
В кейнсианской модели сбережения (как и потребление) являются функцией только располагаемого текущего дохода и не зависят, например, от ставки процента
График функции сбережений представлен на рис.7.1.(6). Тангенс угла наклона функции сбережений равен предельной склонности к сбережению mps. Чем больше mps, тем наклон функции сбережений больше. Сдвиг кривой происходит при изменении величины автономного потребления (С), при увеличении которого кривая сдвигается вниз. Сдвиг кривой может быть обусловлен изменением величины автономного потребления (So), при увеличении которого кривая сдвигается вверх
• из функции потребления Кейнса следовало, что по мере роста дохода доля потребления в доходе
падает, а доля сбережений в доходе
- растет.
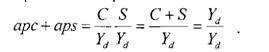
• Долю потребления в доходе (т. е. отношение величины потребления к величине дохода) Кейнс назвал средней склонностью к потреблению (average propensity to consume - ape), а долю сбереже-
ний в доходе (т. е. отношение величины сбережений к величине дохода) - средней склонностью к сбережению (average propensity to save - aps):![]()
Сумма средней склонности к потреблению и средней склонности к сбережению равна 1:
В потребительской функции Кейнса трс - величина постоянная, а аре по мере роста дохода
падает.
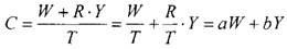
Однако в 1946 г. вышла книга основоположника системы национальных счетов Саймона Кузнеца "Национальный продукт с 1869 года", в которой автор показывает, что фактические данные по не подтверждают вывод Кейнса о падении средней склонности к потреблению по мере роста дохода, т. е. противоречат "основному психологическому закону". Оказалось, что в долгосрочном периоде предельная склонность к потреблению и средняя склонность к потреблению равны: трс щ = аре и средняя склонность к потреблению (доля потребления в доходе) есть величина постоянная (аре = const). Это означает, что трс в краткосрочном периоде и трс в долгосрочном периоде, равная аре, отличаются по величине. И существуют две функции потребления: краткосрочная и долгосрочная. При этом долгосрочная кривая потребления более крутая, чем краткосрочная (mpc lr > трс sr). И функция потребления может быть представлена формулой:
С - mpcLR • Yd = аре • Yd
Этот феномен получил в экономической литературе название «загадки Кузнеца». Действительно, если исходить из гипотезы Кейнса о падении аре с ростом дохода, то можно прийти к выводу, что в долгосрочном периоде потребление стремится к нулю и неизбежен кризис перепроизводства.
Объяснению «загадки Кузнеца» были посвящены дальнейшие исследования функции потребления. Их основу составил учет фактора времени. Наибольшего успеха добились американские экономисты, будущие лауреаты Нобелевской премии:
• Ф. Модильяни, создавший теорию жизненного ъ\икла, Согласно теории жизненного цикла:
а) доход, получаемый потребителем колеблется на протяжении всей жизни относительно
одного среднего уровня
б) колебания осуществляются в определенных пропорциях
в) сбережения перераспределяют доход и регулируют уровень потребления
г) расходы на потребление формируются за счет первоначального богатства и трудового
дохода, полученного за весь период экономической активности индивида.
Функция потребления
Ф. Модельяни
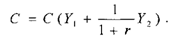
• М. Фридман, разработавший концепцию постоянного перманентного) дохода.
Под постоянным понимают доход, который согласно жизненным ожиданиям людей сохранится в будущем. Потребители будут стремится поддерживать постоянный уровень потребления, занимая в долг и делая сбережения. Текущий доход делится на два вида

Функция потребления по Фридману![]()
• Обе концепции базируются на теории межвременного выбора известного американского экономиста И. Фишера, в которой потребительское поведение анализируется с позиций микроэкономического анализа.
Функция потребления И. Фишера отражает зависимость потребительских расходов от текущей дисконтированной стоимости совокупного дохода за све периоды жизнедеятельности:
7.3. Инвестиции в кейнсианской модели.
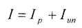
Инвестиционные расходы - это расходы фирм на покупку инвестиционных товаров, под которыми подразумевается то, что увеличивает запас капитала (расходы на покупку оборудование, строительство зданий и сооружений): I = Д К. Инвестиции являются самым нестабильным компонентом совокупных расходов.
Инвестиции делятся на: чистые (обеспечивающие увеличение объема выпуска) и восстановительные (возмещающие износ основного капитала). Поскольку кейнсианская модель основана на предпосылке, что ВНП=ЧНП=НД, то речь идет о чистых инвестиционных расходах.
Кроме того, различают инвестиции автономные (не зависящие от уровня дохода - autonomous investment) и индуцированные (величина которых определяется уровнем дохода - induced investment). Кейнс в своем анализе рассматривал только автономные инвестиции (I = I).
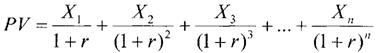
Основным фактором, определяющим инвестиции, по мнению Кейнса, является предельная эффективность капитала, под которой понимается это эффективность последнего инвестиционного проекта, который дает неотрицательную величину чистого дохода. Поскольку инвестиционные расходы возмещаются только через определенное количество лет, то необходимо применять дисконтирование, т. е. приводить стоимость будущих доходов к настоящему моменту. Стоимость инвестиционного проекта в настоящем (present value - PV) может быть рассчитана по формуле:

где
- чистый доход от инвестиций в году 1, .... n, а г - норма дисконта (норма предпочтения
будущих доходов доходам в настоящем).
Инвестор будет вкладывать средства только в том случае, если расходы на финансирование инвестиционного проекта будут не меньше, чем дисконтированный чистый доход (внутренняя норма отдачи) от реализации этого проекта: 1 < или = PV
Кейнс считал, что норма дисконта (г) у каждого своя, определяемая психологией, т. е. это величина субъективная, в первую очередь, основанная на интуиции (animal spirit) инвестора, его ожиданиях в отношении будущей нормы прибыли (внутренней нормы отдачи от инвестиций), пессимизме или оптимизме относительно будущего.
|
|
Кейнс поэтому полагал, что ставка процента не оказывает существенного влияния на величину инвестиционных расходов, особенно в краткосрочном периоде, и разрабатывал свою модель определения национального дохода, исходя из предпосылки о неизменности ставки процента. Поскольку инвестиции в модели «Кейнсианского креста» являются автономными, и не зависят ни от уровня дохода, ни от ставки процента, то для того, чтобы получить кривую совокупных (потребительских и инвестиционных) расходов необходимо кривую потребительских расходов сдвинуть параллельно вверх на величину инвестиционных расходов рис.7.3.
7.4. Равновесие в двухсекторной модели
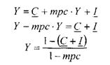
Для того, чтобы исследовать, как устанавливается равновесие, следует ввести понятия фактических и планируемых расходов, которые могут быть не равны друг другу. Фактические расходы (Е) - это расходы, которые в действительности сделали домохозяйства (потребительские расходы - С) и фирмы (инвестиционные расходы - I), т. е. в двухсекторной модели
![]()
Планируемые расходы (Ер) - это расходы, которые намеревались (планировали) сделать домохозяйства и фирмы. Фактические расходы всегда равны выпуску (Е = Y), а планируемые могут быть не равны выпуску. Если планируемые расходы меньше выпуска (Е < Y), то фирмы не смогут продать часть произведенной продукции, и товарные запасы фирм увеличатся, т. е. произойдет накопление запасов непроданной продукции. Если планируемые расходы больше выпуска (Е >Y), а это означает, что экономические агенты хотят купить больше, чем произведено в данном году, то фирмы будут сокращать свои запасы, продавая продукцию, находившуюся до этого момента на складах. А инвестиции в запасы (изменение запасов), как известно, являются компонентом инвестиционных расходов. Таким образом, фактические инвестиции складываются из плани-руемых инвестиций (planned investment - 1р) и непредвиденных инвестиции в запасы (unintended inventory investment![]()

Соответственно фактические расходы равны сумме потребительских расходов и фактических инвестиционных расходов:
а планируемые расходы равны сумме потре - бительских расходов и планируемых инвестиционных расходов:
Поскольку фактические расходы всегда равны выпуску, а фактические расходы равны планируемым расходам только, когда непредвиденные инвестиции в запасы равны 0, то равновесие товарного рынка наступает тогда, когда фактические расходы равны планируемым
и соответственно планируемые расходы равны выпуску![]()
В соответствии с предпосылками модели, совокупный выпуск эквивалентен совокупному доходу, а совокупный доход расходуется на потребление (С) и сбережения (S): Y = С + S Поскольку в состоянии равновесия![]()
Следовательно, при равновесии сбережения равны планируемым, инвестициям. А поскольку сбережения являются изъятием из потока расходов и доходов, а инвестиции представляет собой инъекцию в поток расходов и доходов, то в состоянии равновесия инъекции равны изъятиям.
Кейнсианский крест графически представлен на рис.7.4. Кривая фактических расходов представляет собой биссектрису (линию 45°), поскольку фактические расходы равны выпуску, и любая точка этой кривой соответствует этому условию. Кривая планируемых расходов представляет собой линию, имеющую положительный накчон (угол наклона определяется величиной предельной склонности к потреблению - трс), исходящую не из начала координат, поскольку всегда существует автономное потребление (С), не зависящее от уровня дохода. В итоге получаем наклонный крест, из-за чего модель получила свое название «Кейнсианский крест» («Keynesian cross»). (Следует однако заметить, что в своей знаменитой книге Кейнс не использует графики. Графическая интерпретация простой Кейнсианской модели была впервые предложена лауреатом Нобелевской премии Полем Самуэльсоном в его известном учебнике «Экономикс»).

Равновесие расходов и дохода, т. е. равновесие товарного рынка находится в точке пересечения двух кривых (т. А). В этой точке: 1) планируемые расходы равны выпуску (доходу): Е р = Y; 2) фактические расходы равны планируемым расходам: Е = Ер; 3) инъекции равны изъятиям: / = S; 4) планируемые инвестиции равны сбережениям: Iр = S
Рассмотрим неравновесные точки. Например, в т. В:

и инъекции меньше изъятий. Наоборот, в т. С:

и инъекции больше изъятий.
Как устанавливается равновесие товарного рынка? Если экономика находится в точке В, где планируемые расходы (сколько продукции хотят купить экономические агенты) меньше выпуска (сколько фактически произведено), часть продукции продана не будет и произойдет непредвиденное накопление (увеличение) фирмами запасов непроданной продукции. В результате экономика придет в состояние равновесия (движение из т. В в т. А). Если же экономика находится в точке С, в которой планируемые расходы превышают выпуск, что означает, что хотят купить больше, чем фактически произведено, фирмы начинают распродавать запасы непроданной в предыдущий период продукции, запасы сокращаются, спрос удовлетворяется, и экономика приходит в состояние равновесия (движение из т. С в т. А). Таким образом, механизмом, обеспечивающим восстановление равновесия на товарном рынке, является изменение (накопление или сокращение) запасов. (рис.7.4.1).
7.5. Эффект мультипликатора
Для того, чтобы определить величину равновесного выпуска (равновесного национального
дохода) следует приравнять его к величине планируемых расходов:
где
![]()
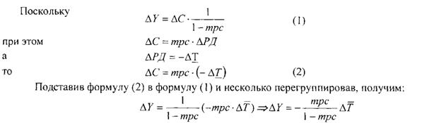
Что произойдет, если увеличатся расходы? Кейнс показал, что рост расходов ведет к росту дохода, однако доход возрастает в большей степени, чем вызвавшее его увеличение расходов, т. е. с эффектом мультипликатора. Мультипликатор - это коэффициент, который показывает, во сколько раз увеличивается (сокращается) совокупный доход (выпуск) при увеличении (сокращении) расходов на единицу. Действие мультипликатора основано на том, что расходы, сделанные одним экономическим агентом обязательно превращаются в доход другого экономического агента, который часть этого дохода расходует, создавая доход третьему агенту и т. д. В результате общая сумма доходов будет больше, чем первоначальная сумма расходов.
Предположим, что домохозяйство увеличивает свои автономные расходы на $100, т. е. покупает на эту сумму товары и услуги. Это означает, что производитель этих товаров и услуг получает доход в $100, который он тратит на потребление и сбережения. Предположим, что предельная склонность к потреблению мрс = 0.8, что означает, что из каждого дополнительного 1 доллара дохода экономический агент тратит на потребление 80 центов (т. е. 80%), а 20 центов (т. е. 20%) сберегает (т. е. предельная склонность к сбережению mps = В этом случае, получив $100 дополнительного дохода, производитель потратит $80 на потребление (Y х трс =100 х 0.8 = 80) и $20 пойдут на сбережения (Y х mps = 100 х 0.2 = 20). Потраченные им на потребление (на покупку товаров и услуг) $80 создадут дополнительный доход еще одному продавцу, который в свою очередь потратит $64 на потребление (Y х трс = 80 х 0.8 = 64) и $16 сбережет (соответственно 80 х 0.2 = 16) и т. д. Процесс будет продолжаться до тех пор, пока прирост расходов не дойдет до 0.

Просуммируем все полученные доходы, чтобы узнать, насколько в результате увеличился совокупный доход:
![]()
Мы получили бесконечно убывающую геометрическую прогрессию (а это и есть математический смысл мультипликатора) с основанием (трс) меньше единицы. Следовательно, ее сумма равна
представляет собой мультипликатор (автономных) потребительских расходов. В нашем примере мультипликатор равен 5 (1 / = 5). Следовательно, при росте автономных потребительских расходов на $100 рост совокупного дохода составил $х 5 = 500).
Аналогичные рассуждения применимы и к изменению (автономных) инвестиционных расходов. Увеличивая инвестиции, фирма закупает инвестиционные товары, создавая доход их производителю, который в свою очередь расходует часть этого дохода на потребление, обеспечивая до-
ход производителю этих потребительских товаров и т. д. В результате рост совокупного дохода будет в несколько раз большим, чем первоначальный прирост инвестиций, т. е. будет действовать эффект мультипликатора, и мультипликатор (но в данном случае инвестиционных расходов) также
будет равен![]()
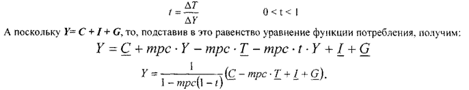
Формулу мультипликатора автономных расходов можно вывести и алгебраически. Поскольку:
Графическое изображение эффекта мультипликатора расходов (например, мультипликатора инвестиций) представлено на рис.7.5.
На рисунке видно, что каждый следующий прирост дохода меньше, чем предыдущий. Процесс мультипликации длится до тех пор, пока прирост дохода не станет равным нулю.
|
|
Чем выше предельная склонность к потреблению {трс), тем величина мультипликатора автономных расходов больше. Так, например, если трс = 0.9, мультипликатор =/, а при трс = 0.75, мультипликатор = 4 (1 /= 4). А поскольку трс определяет наклон кривой планируемых расходов, то чем больше трс, тем кривая более крутая.
А чем более крутая кривая планируемых расходов (т. е. чем больше трс и, следовательно, мультипликатор, тем больший при-рост дохода даст одинаковое увеличение расходов). Это проиллюстрировано на рис.7.7. На рис.7.6 (б) предельная склонность к потреблению (трс) больше, а поэтому кривая планируемых расходов более крутая и мультипликативный эффект роста дохода при одинаковой величине роста расходов больше (®Y2 > ®Yi), чем на рис.7.6 (а).

7.7. Роль государственного сектора
Добавив государственный сектор в наш анализ, мы получим трехсекторную модель, в которой действуют три макроэкономических агента: домохозяйства, фирмы и государство. Государственные расходы является важным компонентом совокупных расходов (совокупного спроса). В отличие от С и I, государственные расходы - это экзогенная величина или так называемый параметр управления. Государственные расходы не зависят от уровня дохода и всецело определяются макроэкономической (в первую очередь, фискальной) политикой правительства.
Государственные расходы возникают в связи с необходимостью выполнения государством его многочисленных функций, основными из которых в современной экономике являются:
1) определение правил ведения экономической деятельности, т. е. «правил игры» (антимонопольное законодательство, поддержание развития частного сектора экономики, защита прав собственности, защита свободы конкуренции, защита прав потребителей и др.);
2) поддержание экономической стабильности (борьба с инфляцией и безработицей и обеспечение экономического роста);
3) производство общественных благ (обеспечение безопасности, правопорядка, образования, здравоохранения, развития фундаментальной науки);
4) социальная политика (социальное обеспечение малоимущих за счет перераспределения доходов, выплата пенсий, стипендий, пособий по безработице и т. д.);
5) борьба с отрицательными внешними эффектами (экологическая политика по защите окружающей среды)
Государственные расходы делятся на 2 группы:
1. государственные закупки товаров и услуг (например, расходы на строительство дорог, школ, больниц, выплата жалования чиновникам, учителям, врачам)
2. трансфертные платежи (например, пенсии, пособия по безработице, субсидии фирмам). Отличие между двумя этими видами расходов состоит в том, что государственные закупки изменяют величину национального дохода, а трансфертные платежи лишь означают перераспределение имеющегося совокупного дохода.
Государство может оказывать на экономику влияние прямое и косвенное. Прямое воздействие осуществляется через изменение величины государственных закупок, поскольку они непосредственно включены в формулу совокупного спроса, являясь компонентом совокупных расходов. Косвенное - через изменение величины налогов и трансфертов (в том числе субсидий), поскольку они не входят в формулу совокупного спроса и воздействуют на экономику опосредовано - через изменение величины потребительских и инвестиционных расходов (рост налогов сокращает оба эти вида расходов, а рост трансфертов их увеличивает).
7.7. Государственные закупки и их воздействие на экономику. Мультипликатор государственных закупок
|
|
Поскольку государственные закупки товаров и услуг оказывают прямое непосредственное влияние на величину национального дохода и так как они являются величиной экзогенной и автономной, т. е. не зависящей от уровня дохода (G=G), то добавление их к сумме потребительских и инвестиционных расходов на графике отображается параллельным сдвигом вверх кривой совокупных расходов.
Изменение величины государственных закупок
так же, как и изменение других видов автономных расходов (потребительских расходов
или инвестиционных расходов
имеет в кейн-сианской модели эффект мультипликатора и вызывает ту же цепочку событий, которая была рас-
смотрена в параграфе 7.5. в связи с изменением автономных потребительских расходов. Если государство закупает товары или услуги дополнительно на $100 (нанимает чиновника или учителя и выплачивает ему заработную плату, или покупает оборудование для своего предприятия, или начало строить автостраду и т. п.), т. е.
то располагаемый доход продавца этого товара или услуги увеличивается на эту сумму и делится на потребление (С) и сбережения (S). Если предельная склонность к потреблению (трс) равна 0.8, то в результате мы получим уже знакомую нам пирамиду и эффект мультипликатора.
Общий прирост совокупного дохода
в результате роста государственных закупок составит:
Таким образом, в результате роста
государственных закупок на 100 совокупный доход вырос пятикратно. Величина 1/(1 - трс) называется мультипликатором государственных закупок. Мультипликатор государственных закупок - это коэффициент, который показывает, во сколько раз увеличился (сократился) совокупный доход при увеличении (сокращении) государственных закупок на единицу. Для алгебраического вывода мультипликатора государственных закупок добавим их величину в функцию совокупного дохода (выпуска) Y еще и G. Получим:
Поскольку функция потребления имеет вид:
подставим ее в наше уравнение:
, перегруппируем и получим:
![]() |

ходов: потребительских, инвестиционных и государственных. Обозначим его
-мультипликатор автономных расходов,
где
- мультипликатор автономных потребительских расходов,
- мультипликатор автономных инвестиционных расходов,
- мультипликатор государственных закупок (его иногда называют мультипликатором государственных расходов, что не совсем корректно, поскольку в величину государственных расходов, как мы знаем, включаются еще и трансферты, мультипликатор которых имеет иную формулу и величину, что будет рассмотрено позже.) Чем больше трс, тем более крутая кривая планируемых расходов
и тем больше величина мультипликатора расходов.
Следует иметь в виду, что мультипликатор действует в обе стороны. При увеличении расходов совокупный (национальный) доход мультипликативно возрастает, а при сокращении расходов совокупный (национальный) доход мультипликативно уменьшается. Этот принцип применим не только к мультипликатору расходов, но и ко всем другим видам мультипликаторов.
7.8. Налоги и их виды
Как писал Бенджамин Франклин: «В жизни нет ничего неизбежного, кроме смерти и налогов».
Налог - это принудительное изъятие государством у домохозяйств и фирм определенной суммы денег не в обмен на товары и услуги. Налоги появляются с возникновением государства, поскольку представляют собой основной источник доходов государства. Выполняя свои многочисленные функции, государство (правительство) несет расходы, которые оплачиваются из его доходов, поэтому налоги выступают источником средств оплаты расходов правительства.
Поскольку услугами государства (которые, разумеется, не могут предоставляться бесплатно) пользуются все члены общества, то государство собирает плату за эти услуги со всех граждан страны. Таким образом, налоги представляют собой основной инструмент перераспределения доходов между членами общества.
Налоговая система включает в себя: 1) субъект налогообложения (кто должен платить налог); 2) объект налогообложения (что облагается налогом); 3)налоговые ставки (процент, по которому рассчитывается сумма налога).
Величина, с которой выплачивается налог, называется налогооблагаемой базой. Чтобы рассчитать сумму налога (Т), следует величину налогооблагаемой базы (Вт) умножить на налоговую ставку (t):
Принципы налогообложения были сформулированы еще А. Смитом в его великом произведении «Исследование о природе и причинах богатства народов», опубликованном в 1776 году. По мнению Смита, налоговая система должна быть: справедливой (она не должна обогащать богатых и делать нищими бедных); понятной (налогоплательщика должен знать, за что он платит тот или иной налог и почему именно он); удобной (налоги должны взиматься тогда и таким образом, когда и каким образом это удобно налогоплательщику, а не налогосборщику); недорогой (сумма налоговых поступлений должна существенно превышать расходы по сбору налогов).
В основу современной налоговой системы положены принципы справедливости и эффективности.
Справедливость должна быть вертикальной (это означает, что люди, получающие разные доходы, должны платить неодинаковые налоги) и горизонтальной (подразумевающей, что люди с равными дохами должны платить равные налоги).Различают два основных вида налогов: прямые и косвенные. Прямой налог - это налог на определенную денежную сумму, полученную экономическим агентом (доход, прибыль, наследство, денежную оценку имущества). Поэтому к прямым налогам относятся: подоходный налог; налог на прибыль; налог на наследство; налог на имущество; налог с владельцев транспортных средств. Особенностью прямого налога является то, что налогоплательщик (тот, кто оплачивает налог) и налогоноситель (тот, кто выплачивает налог государству) - это один и тот же агент. Косвенный налог - это часть цены товара или услуги. Поскольку этот налог входит в стоимость покупок, то он носит неявный характер. Косвенный налог может быть включен в цену товара либо как фиксированная сумма, либо как процент от цены. К косвенным налогам относятся." налог на добавленную стоимость (НДС) (этот налог имеет наибольший вес в налоговой системе России); налог с оборота; налог с продаж; акцизный налог (подакцизными товарами являются сигареты, алкогольные напитки, бензин, нефть, автомобили, ювелирные изделия); таможенная пошлина. Особенностью косвенного налога является то, что налогоплательщик и налогоноситель - это разные агенты. Налогоплательщиком является покупатель товара или услуги (именно он оплачивает налог при покупке), а на-логоносителем - фирма, которая произвела этот товар или услугу (она выплачивает налог государству).
В развитых странах 2/3 налоговых поступлений составляют прямые налоги, а в развивающихся странах и странах с переходной экономикой 2/3 налоговых поступлений составляют косвенные налоги, поскольку их легче собирать и объем поступлений зависит от цен, а не от доходов. По этой же причине государству выгоднее использовать косвенные, а не прямые налоги в период инфляции. Это позволяет минимизировать потерю реальной стоимости налоговых поступлений.
В зависимости от того, как устанавливается налоговая ставка, различают три типа налогообложения: пропорциональный налог, прогрессивный налог и регрессивный налог
Таблица 1. Системы налогообложения
|
Пропорциональный налог |
Прогрессивный налог |
Регрессивный налог | ||||
|
Доход |
Ставка налога |
Налоговая Сумма |
Ставка налога |
Налоговая Сумма |
Ставка налога |
Налоговая Сумма |
|
$100 |
10% |
$10 |
10% |
$10 |
15% |
$15 |
|
$200 |
10% |
$20 |
12% |
$24 |
12% |
$24 |
|
$300 |
10% |
$30 |
15% |
$45 |
10% |
$30 |
При пропорциональном налоге налоговая ставка не зависит от величины дохода. Поэтому сумма налога пропорциональна величине дохода.
Прямые налоги (за исключением подоходного налога и в некоторых странах налога на прибыль) и почти все косвенные налоги являются пропорциональными.
При прогрессивном налоге налоговая ставка увеличивается по мере роста величины дохода и уменьшается по мере сокращения величины дохода.
Примером прогрессивного налога служит подоходный налог. Такая система налогообложения в максимальной степени способствует перераспределению доходов.
При регрессивном налоге налоговая ставка увеличивается по мере сокращения дохода и уменьшается по мере роста дохода.
В явном виде регрессивная система налогообложения в современных условиях не наблюдается, т. е. нет прямых регрессивных налогов. Однако все косвенные налоги являются регрессивными, причем чем выше ставка налога, тем в большей степени регрессивным он является. Наиболее регрессивными являются акцизные налоги. Поскольку косвенный налог - это часть цены товара, то в зависимости от величины дохода покупателя доля этой суммы в его доходе будет тем больше, чем меньше доход, и тем меньше, чем больше доход. Например, если акцизный налог на пачку сигарет составляет 10 рублей, то доля этой суммы в бюджете покупателя, имеющего доход 1000 тн. , равна 0.1%, а в бюджете покупателя, имеющего доход 5000 тн. - лишь 0.05%.
В макроэкономике налоги также делятся на: автономные (или аккордные), которые не зависят от уровня дохода и обозначаются Т и подоходные, которые зависят от уровня дохода и величина которых определяются по формуле: tY, где t - налоговая ставка, Y - совокупный доход (национальный доход или валовый национальный продукт)
Сумма налоговых поступлений (налоговая функция) равна: Т= Т + tY Различают среднюю и предельную ставку налога. Средняя ставка налога - это отношение налоговой суммы к величине дохода: t ср = T/Y. Предельная ставка налога - это величина прироста налоговой суммы на каждую дополнительную единицу увеличения дохода, (она показывает, на сколько увеличивается сумма налога при росте дохода на единицу) :
Предположим, что в экономике действует прогрессивная система налогообложения, и доход до 50 тыс. долл. облагается налогом по ставке 20%, а свыше 50 тыс. долл. - по ставке 50%. Если человек получает 60 тыс. долл. дохода, то он выплачивает сумму налога, равную 15 тыс. долл. (50 х 0.2 + 10 х 0.5 = 10 + 5 = 15), т. е. 10 тыс. долл. с суммы в 50 тыс долл. И 5 тыс. долл. с суммы, превышающей 50 тыс. долл., т. е. с 10 тыс. долл. Средняя ставка налога будет равна 15:60 = 0.25 или 25%, а предельная ставка налога равна 5:10 = 0.5 или 50%. При пропорциональной системе налогообложения средняя и предельная ставка налога равны.
Налоги оказывают влияние как на совокупный спрос, так и на совокупное предложение. Однако в рамках нашей модели «расходы-доходы», поскольку это кейнсианская модель, рассматривается воздействие налогов только на совокупный спрос.
В рамках модели «расходы-доходы» налоги, так же как и государственные закупки действуют на национальный доход (совокупный выпуск) Y с мультипликативным эффектом.
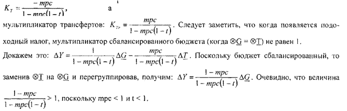
Различают два вида налогового мультипликатора: 1) мультипликатор автономных (аккордных) налогов и 2) мультипликатор подоходного налога 7.7. Мультипликатор автономных налогов
Рассмотрим сначала действие мультипликатора автономных налогов, т. е. не зависящих от уровня дохода. Поскольку в простой кейнсианской модели предполагается, что налоги взимаются только с домохозяйств, т. е. оказывают влияние на величину потребительских расходов, то с включением в наш анализ налогов меняется функция потребления, принимая вид: С = С+ трс (Y - Т).
Изменение налогов ведет к изменению величины располагаемого дохода. (РД = ЛД - Т). Рост налогов сокращает располагаемый доход, а сокращение налогов - увеличивает располагаемый доход. Если, например, налоги сокращаются на 100$, то располагаемый доход увеличивается на 100$. Но располагаемый доход делится на потребление (С) и сбережения (S). Если мрс = 0.8, то при увеличении располагаемого дохода на 100$ потребление увеличивается на 80$ (100 х 0.8= 80), а поскольку мультипликатор расходов в этом случае равен 5 (1/(= 1/0.2 = 5), то прирост совокупного дохода в результате изменения налогов на 100$ составит 400$
а не 500$, как в случае изменения государственных закупок на те же 100$, т. е. мультипликативный эффект меньше. Т. е. мультипликатор начинает действовать как бы со второй ступени (первым членом геометрической прогрессии будет не 100, а 80).
Определим теперь величину мультипликатора налогов. Налоги действуют на совокупный спрос через изменение потребительских расходов.

Величина
и есть мультипликатор налогов. А поскольку (1 - трс) есть не что иное, как
mps (предельная склонность к сбережению), то мультипликатор налогов можно записать и как (-mpc / mps). В нашем примере он равен/(= - 0.8 / 0.2 = - 4). Мультипликатор налогов - это коэффициент, который показывает, во сколько раз увеличится (сократится) совокупный доход при сокращении (увеличении) налогов на единицу.
Выведем мультипликатор автономных налогов алгебраически. Подставим функцию потребления^ = С +mpc(Y-Т) в функцию национального дохода Y= С + I+G, получим: Y=C +
mpc (Y - Т) +1+ G, откуда
. Если обозначить мультипликатор автономных
налогов
и, следовательно![]()
Следует обратить внимание на 2 момента:
1) мультипликатор налогов всегда величина отрицательная. Это означает, что его действие на
совокупный доход обратное. Рост налогов приводит к снижению совокупного дохода, а со-
кращение налогов - к росту совокупного дохода. В нашем примере сокращение налогов на
привело к увеличению совокупного дохода на 400$
![]()
2) по своему абсолютному значению мультипликатор налогов всегда меньше мультипликатора
автономных расходов. Итак, мультипликативный эффект налогов меньше, чем мультипли-
кативный эффект государственных закупок (очевидно, что
по-
скольку изменение государственных закупок воздействует на совокупный спрос непосред-
ственно (они включены в формулу совокупного спроса), а изменение налогов воздействует
косвенно - через изменение потребительских расходов. Например, если при трс = 0.8 и го-
сударственные закупки, и налоги увеличиваются на 100$, то рост государственных закупок
увеличивает совокупный доход на
а рост
налогов сокращает совокупный доход на
400). Т. е. в результате совокупный доход (выпуск) увеличился на $100.
Исходя из этого обстоятельства, можно вывести мультипликатор сбалансированного бюджета для автономных (аккордных) налогов.
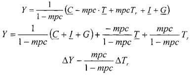
7.10. Мультипликатор сбалансированного бюджета
Бюджет называется сбалансированным, если государственные закупки и налоги увеличиваются на одну и ту же величину (G = Т). Как следует из нашего примера, одновременный рост и государственных закупок, и автономных налогов на $100 привел к росту национального дохода Y на $100, что означает, что мультипликатор сбалансированного бюджета равен 1 (100 : 100 = 1).
Выведем мультипликатор сбалансированного бюджета алгебраически. Сравним мультипликативный эффект, который дает изменение автономных расходов государства и налогов. Изменение
величины государственных закупок приводит к изменению дохода:
а изменение автономных налогов приводит к изменению дохода:![]()
Общее изменение Y произойдет под суммарным воздействием этих двух эффектов, т. е.
Следовательно
А поскольку бюджет сбалансированный, т. е.
, после замены получим:
. Т. е. мультипликатор сбалансированного бюджета равен 1.
Таким образом, если государственные закупки и автономные налоги увеличиваются (сокращаются) на одну и ту же величину, то это ведет к росту (сокращению) совокупного дохода, причем ровно на величину роста (сокращения) государственных закупок и налогов.
7.11. Трансферты и их воздействие на экономику. Мультипликатор трансфертов.
Трансферты представляет собой платежи, которые делает государство не в обмен на товары и услуги. Государство выплачивает трансферты: а) домохозяйствам и б) фирмам
Государственные трансфертные платежи домохозяйствам включают в себя различного вида социальные выплаты: пособия по безработице, пособия по бедности, пособия по нетрудоспособности, пенсии, стипендии и т. п. Государственные трансфертные платежи фирмам - это субсидии.
Трансферты являются автономной величиной, поскольку их размер определяется государством, т. е. является параметром управления.
Трансферты можно рассматривать как «антиналоги», т. е. их воздействие на экономику аналогично воздействию автономных налогов, но трансферты действуют в противоположном направлении. Так, если рост налогов сокращает совокупный спрос, то рост трансфертов его увеличивает. И наоборот. Трансферты, как и налоги, оказывают косвенное воздействие на национальный доход, являясь инструментом не его создания, а его перераспределения. И так же как и налоги, трансферты в кейнсианской модели обладают мультипликативным эффектом изменения национального дохода (совокупного выпуска).
Чтобы вывести формулу мультипликатора трансфертов, вспомним, что изменение трансфертов означает изменение располагаемого дохода:![]()
Лекции по макроэкономике
Изменение располагаемого дохода ведет к изменению потребления в соответствии с величиной предельной склонности к потреблению:
А изменение потребле-
ния мультипликативно изменяет совокупный доход:

Величина мультипликатора трансфертов, таким образом, равна mpc /(1- трс) или трс / mps. Мультипликатор трансфертов - это коэффициент, который показывает, во сколько раз увеличивается (уменьшается) совокупный доход при увеличении (уменьшении) трансфертов на единицу. По своему абсолютному значению мультипликатор трансфертов равен мультипликатору налогов. Величина мультипликатора трансфертов меньше, чем величина мультипликатора расходов, поскольку трансферты оказывают косвенное воздействие на совокупный доход, а расходы (потребительские, инвестиционные и государственные закупки) - прямое.
Алгебраический вывод формулы мультипликатора трансфертов. Поскольку в простой кейн-сианской модели предполагается, что трансферты получают только домохозяйства, то изменение трансфертов действует на потребительскую функцию, которая с учетом трансфертов выглядит следующим образом:
![]()
Подставим потребительскую функцию в уравнение совокупного дохода (выпуска), затем перегруппируем и в результате получим:

Таким образом, мультипликатор трансфертов равен:
Заметим, что мультипликатор
трансфертов:
1) по абсолютной величине совпадает с мультипликатором автономных налогов, но имеет противоположный знак;
2) меньше мультипликатора автономных расходов.
Любое изменение автономных (т. е. не зависящих от уровня дохода) переменных - потребительских расходов, инвестиционных расходов, государственных закупок, налогов, трансфертов - ведет к параллельному сдвигу кривой совокупных планируемых расходов и не меняет ее наклон. Единственная величина, которая влияет на величину мультипликаторов всех этих видов расходов -предельная склонность к потреблению. Чем она больше, тем величина мультипликатора больше. Кроме того, именно предельная склонность к потреблению определяет наклон кривой совокупных планируемых расходов. Чем больше предельная склонность к потреблению, тем кривая более крутая.
7.12. Влияние подоходного налога
Кроме аккордных налогов в экономике существуют подоходные (т. е. зависящие от уровня дохода) налоги. С их учетом потребительская функция будет иметь вид:
где t - предельная налоговая ставка, которая показывает, на сколько увеличатся (уменьшатся) налоговые поступления при росте совокупного дохода на единицу, т. е.
![]() |
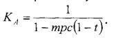
Следовательно, мультипликатор автономных расходов с учетом ставки подоходного налога t равен:

Величина мультипликатора при наличии ставки подоходного налога меньше, чем при его отсутствии (очевидно, что ((1 - mpc (1 - t) > (1 - трс), а, как известно, чем больше знаменатель дроби, тем дробь меньше, т. е. 1 / (1 - mpc< 1 / (1 - трс). Покажем это на числовом примере. Предположим, что трс = 0.8, t = 0.1 (т. е. 10%). При отсутствии подоходного налога мультипликатор расходов равен 5(1/= 5), а при появлении подоходного налога мультипликатор равен 3.57 (1/(1-= 3.57).
|
|
Изменение предельной налоговой ставки меняет наклон кривой совокупных планируемых расхо-
дов, который теперь будет
равен [mpc (1 - t)]. Если t
увеличивается, кривая Ер
становится более пологой.
На рис.7.8. (а) представлена
кривая совокупных
планируемых расходов при отсутствии ставки подоходного налога, а на рис.7.8(6) - при ее наличии.
При наличии подоходного
налога соответственно
мультипликатор налогов равен:

7.13. Разрывы в «Кейнсианском кресте»
«Кейнсианский крест» для закрытой экономики (для трехсекторной модели экономики) изображен на рис.7.7.
|
|
Точка А соответствует равновесию товарного рынка, т. е. ситуации, при которой плани-руемые расходы равны фактическим, расходы равны доходу, а инъекции равны изъятиям. Уровень Y] представляет собой равновесную величину совокупного дохода (выпуска). Однако эта равновесная величина Y может не соответствовать и, по мнению кейнсианцев, обычно находится ниже уровня ВВП полной занятости, т. е. потенциального ВВП (Y*).
Если фактический равновесный ВВП меньше потенциального (Уфакт < Y*), то в экономике имеет место так называемый рецессионный разрыв. Такая ситуация, в соответствии с кейнсианскими представлениями, обусловлена недостаточностью совокупных расходов
для обеспечения уровня выпуска полной занятости, поэтому для достижения этого уровня выпуска (Y*) необходимо увеличить совокупные планируемые расходы Ер. (рис.7.10.(а)). Исходное равновесие находится в точке А, в которой величина совокупных планируемых расходов равна Ei, а объем равновесного фактического выпуска Yb что он меньше, чем уровень выпуска полной занятости Y*. Чтобы обеспечить выпуск Y*, должны увеличиться планируемые расходы, т. е. кривая
должна сдвинуться до Ерг. Важно различать рецессионный разрыв расходов и рецессионньтй разрыв выпуска (ВВП). Разница между величиной планируемых расходов Epi и Ерг представляет собой рецессионный разрыв расходов
а разница между величиной
- это рецессионный
разные выпуска. Следует отметить, что возможность рецессионного разрыва выпуска признают представители всех направлений макроэкономистов, а рецессионный разрыв расходов имеет место только в кейнсианской модели (поскольку только в этой модели, во-первых, рецессионный разрыв выпуска объясняется недостаточностью величины совокупных расходов (совокупного спроса) в результате неполной занятости ресурсов и, во-вторых, обосновывается мультипликативный эффект воздействия изменения расходов на изменение величины совокупного выпуска). В кейнсианской модели рецессионный разрыв выпуска - это рецессионный разрыв расходов, умноженный на мультипликатор расходов
а поскольку мультипликатор расходов Кд, равный [1 / (1 -мрс
всегда больше 1, то рецессионный разрыв выпуска всегда больше рецессионный разрыва расходов. Противоположная ситуация, при которой фактический равновесный выпуск Y превышает выпуск полной занятости (потенциальный ВВП)
, известна как инфляционный разрыв выпуска, что в кейнсианской модели является следствием инфляционного разрыва расходов, т. е. избыточности совокупных расходов. Для возвращения к потенциальному объему выпуска необходимо сократить совокупные планируемые расходы. Эта ситуация представлена на рис.7.10.(6). Инфляционный разрыв выпуска равен
, а инфляционный разрыв расходов равен
причем
- это мультиплицированная величина
Чтобы ликвидировать инфляционный разрыв, планируемые расходы должны быть уменьшены на
что соответствует сдвигу кривой планируемых расходов от![]()

А поскольку, по мнению Кейнса и его последователей, изменить величину расходов частного сектора достаточно сложно (особенно увеличить их, если домохозяйства имеют низкие доходы и не в состоянии увеличивать потребительские расходы, а фирмы настроены пессимистично относительно будущего и не желают инвестировать, как это было в период Великой депрессии), то должны меняться расходы государственного сектора, что и обеспечит регулирование экономики и если не полную ликвидацию, то хотя бы сокращение разрывов выпуска. Таким образом, из теоретических положений кейнсианской модели следовали следующие выводы: 1) государство должно стать активным участником в экономике; 2) государство должно регулировать экономику с помощью воздействия на совокупные расходы (изменение которых обладает мультипликативным эффектом), т. е. на совокупный спрос, что обеспечит необходимый объем выпуска; 3) регулирование экономики должно проводиться с помощью фискальной (бюджетно-налоговой) политики; 4) главным инструментом фискальной политики должно стать изменение величины государственных закупок, поскольку эта мера оказывает прямое, а поэтому наибольшее воздействие на совокупный спрос.
(Фискальная политика, ее цели, инструменты, механизм воздействия на экономику, достоинства и недостатки будут позже рассмотрены подробно).
Последователи Кейнса внесли некоторые важные дополнения в модель «доходы - расходы» (в модель «Кейнсианского креста»). В анализ было включено рассмотрение воздействия на экономику: 1) индуцированных (т. е. зависящих от уровня дохода) инвестиций и 2) чистого экспорта
7.14. Влияние индуцированных инвестиций
Кейнс предполагал, что инвестиции автономны. Однако после П мировой войны большое распространение получил мелкий и средний бизнес, ведение которого предполагает зависимость некоторой части инвестиций от дохода, получаемого этими фирмами, что для них является внутренним источником финансирования. Поэтому функцию инвестиций стали рассматривать с учетом индуцированных инвестиций. В этом случае инвестиционная функция имеет вид:
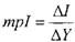
автономные инвестиции; mpl - предельная склонность к инвестированию (marginal propensity to invest), которая равна
(очевидно, что 0< mpl < 1) и показывает, на
сколько увеличатся (уменьшатся) инвестиции при росте (сокращении) совокупного дохода на единицу. (Заметим, что индуцированные инвестиции зависят от национального дохода, а не от располагаемого дохода).
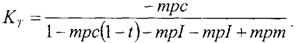
Если мы включим новую функцию инвестиций в функцию Y, то получим:

отсюда следует, что мультипликатор автономных расходов равен:

Воздействие изменения mpl такое же, как изменения трс. Если mpl увеличивается, то величина мультипликатора возрастает, а кривая планируемых расходов Ер становится более крутой.
7.15 Роль чистого экспорта. Супермультипликатор.
Как уже отмечалось, Кейнс создавал свою модель для закрытой экономики, однако его последователи распространили выводы модели на открытую экономику. Необходимость такого расширения модели «Кейнсианского креста» была связана с тем, что после П мировой войны и особенно с начала 60-х годов происходит интернационализация мирохозяйственных связей, выразившаяся в расширении международной торговли (движения товаров и услуг) и усилении процесса переливов капитала (движении финансовых активов - акций и облигаций) между странами.
Добавим в анализ иностранный сектор. В результате получим четырехсекторную модель экономики. Расходы иностранного сектора являются важным компонентом совокупных расходов и известны как расходы на чистый экспорт. Чистый экспорт представляет собой один из видов взаимоотношений данной страны с другими странами (международной торговли). Чистый экспорт равен разнице между экспортом и импортом. Экспорт является автономной величиной, т. е. не зависит от уровня дохода данной страны, а определяется уровнем дохода в других странах (странах-торговых партнерах) (прямая зависимость) и уровнем обменного курса (обратная зависимость). Экспорт представляет собой спрос иностранного сектора на товары и услуги данной страны. Поэтому чем выше уровень дохода в других странах, тем с большим желанием они будут покупать товары, произведенные в данной стране, т. е. экспорт возрастет. А чем выше обменный курс национальной денежной единицы, тем более дорогими и поэтому менее привлекательными они становятся для иностранцев, поэтому экспорт падает. Функция экспорта поэтому может быть выражена формулой:![]()
где
- доход в других странах, е - обменный курс денежной единицы данной страны.
Что касается импорта, одна его часть может не зависеть от уровня совокупного дохода данной страны и представлять собой автономный импорт, но другая его часть обязательно зависит от уровня дохода поскольку рост национального дохода данной страны ведет к росту спроса на товары и услуги, в том числе и импортные, т. е. при росте дохода импорт увеличивается. Таким образом, импорт делится на автономный и неавтономный (индуцированный) и поэтому формула импорта может быть представлена:
где Гт - автономный импорт, a mpm - предельная склонность к импорту. (Заметим, что импорт зависит от величины национального, а не располагаемого дохода). Предельная склонность к импорту - это величина, которая показывав, на сколько увеличится (сократится) импорт при росте (сокращении) дохода на единицу:
0 < mpm < 1
Кроме того, импорт также зависит от обменного курса национальной денежной единицы. Причем, зависимость прямая, т. е. чем выше обменный курс национальной валюты, тем более дешевыми и привлекательными становятся импортные товары для отечественных покупателей).
Поскольку чистый экспорт представляет собой разницу между экспортом и импортом, то функция чистого экспорта имеет вид:![]()
где (Ex - Im) - автономный чистый экспорт, a (mpm Y) - индуцированный импорт.
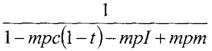
Наклон кривой планируемых совокупных расходов в четырехсекторной модели экономики меньше (она более пологая), чем в трехсекторной, поскольку он определяется величиной (mpc (1-t) - трт), а при наличии индуцированных инвестиций величиной (mpc (1 - t) + mpl - трт) (рис.7.11). Поэтому эффект мультипликатора в открытой экономике меньше, чем в закрытой.
Изменение величины автономного чистого экспорта сдвигает кривую планируемых сово-

купных расходов. Рост величины автономного чистого экспорта ведет к параллельному сдвигу кривой совокупных расходов, а сокращение - вниз.
Рост величины предельной склонности к импорту меняет наклон кривой планируемых расходов и величину мультипликатора. Чем больше трт, тем кривая более пологая, следовательно эффект мультипликатора меньше.
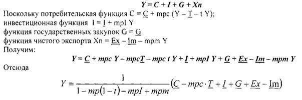
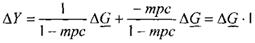
Включим функцию чистого экспорта в уравнение равенства совокупного дохода (выпуска) Y совокупным расходам всех макроэкономических агентов:

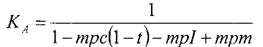
Величина
- это супермультипликатор расходов. Обозначим его КА
|
|
|
Поэтому в общем виде равенство совокупного дохода величине совокупных расходов можно запи- |
Заметим, что выражение в скобках - это сумма всех автономных, т. е. не зависящих от уровня дохода расходов. Изменение любого из компонентов автономных совокупных расходов ведет к мультипликативному изменению величины равновесного дохода Y. Поэтому рост автономного чистого экспорта ведет к мультипликативному росту дохода:
Итак, супермультипликатор автономных расходов:
сать:![]()
где А_- сумма автономных расходов (не зависящих от уровня дохода). Супермультипликатор налогов:![]()
Супермультипликатор трансфертов:![]()
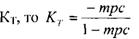
Знаменатель супермультипликатора (величина, обратная мультипликатору) имеет название предельной нормы изъятия (marginal leakage rate - MLR):
Предельная норма изъятий, выраженная через предельную склонность к потреблению, равна:
MLR = 1 - трс(\ - t)~mpl + трт
Предельную норму изъятий можно выразить также через предельную склонность к сбережению (так как именно сбережения являются изъятием). Поскольку mpc + mps = 1, то mpc = 1 - mps. Подставим выражение (1 - mps) в уравнение MLR вместо трс, получим:

|
|
7.17. Парадокс сбережений.
Из простой
кейнсианской модели
следовало, что для роста
экономики необходимо
увеличивать совокупные
расходы, которые являются инъекциями, и обусловливают рост совокупного дохода, к тому же с эффектом мультипликатора. А все изъятия из потока расходов мультиплика-тивно сокращают сово-купный доход, приводя экономику к рецессии и даже депрессии. Отсюда следовал парадоксальный вывод: чем больше эконо-мика сберегает (накапли-вает), тем беднее она становится. (Парадокс состоит в том, что если человек увеличивает свои сбережения, то он стано-вится богаче, а экономика при увеличении сбережений становится беднее). Графическая интерпретация парадокса сбережений представлена на рис.7.12 в двух разных вариантах: 1) на графике инвестиций и сбережений (рис.7.12.(а)) и 2) на графике инъекций и изъятий (рис.7.12.(6))
Поскольку в кейнсианской модели сбережения положительно зависят от уровня дохода, а инвестиции - величина автономная, то кривая сбережений имеет положительный наклон, а кривая инвестиций - горизонтальна (рис.7.12.(а)). Рост сбережений ведет к сдвигу кривой сбережений влево-вверх от Si до S2. Если величина инвестиций не меняется, то рост сбережений ведет к сокращению совокупного дохода (выпуска) от Y| до Y2 Таким образом в результате роста сбережений происходит ухудшение экономической ситуации.
На рис.7.12.(6) представлены кривая автономных расходов (инъекций), которые не зависят
от уровня дохода и поэтому представлены горизонтальной линией и кривая изъятии, величина которых составляет определенную долю совокупного дохода, равную
. Наклон кривой изъятий определяется величиной MLR. График позволяет изучить воздействие на экономику любого вида изъятий (например, налогов, импорта), а не только сбережений. Когда изъятия увеличиваются, величина MLR растет, и наклон кривой изъятий становится более крутым. В результате при неизменной величине автономных расходов совокупный выпуск сокращается от '![]()
Однако мрачная картина парадокса сбережений имеется только в кейнсианской модели. В классической модели сбережения всегда равны инвестициям. Поэтому, в соответствии с классическими представлениями, если сбережения увеличиваются, то на такую же величину возрастают инвестиции. Графически рост инвестиций выглядит как сдвиг вверх кривой инвестиции от
В результате никакого сокращения дохода (выпуска) не происходит, (рис.7.12.(а)). Аналогично, если увеличивается предельная норма изъятий в результате роста какого-либо из видов изъятий, то это компенсируется соответствующим ростом инъекций, и величина совокупного выпуска не меняется (рис.7.12.(6)).
Простая кейнсианская модель позволяет показать выход из рецессии. Такой мерой должно стать активное вмешательство государства в экономику. Не случайно меры, предлагаемые кейнси-анцами, получили название политики государственного активизма. Кейнс и его последователи предлагали использовать для стабилизации экономики фискальную политику, и в первую очередь, такой ее инструмент как изменение величины государственных расходов, поскольку это позволяет непосредственно, а, следовательно, в максимальной степени воздействовать на совокупный спрос и с мультипликативным эффектом на совокупный выпуск и доход.












