Максвелловская плазма и квантовые флуктуации
ОИВТ. Москва. Россия; НИУ(МЭИ). Россия. *****@***ru
Традиционно теория высокотемпературной классической электрон –ионной плазмы в состоянии близком к термодинамическому равновесию опирается на уравнение [1,2], предписывающее ей плазменные колебания с частотой
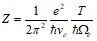
, независящей от длины волны. Учитывая квантовые свойства электромагнитного поля, квантовая электродинамика привносит в теорию квантовый безразмерный параметр [3]
,
и кардинальные коррективы, связанные с наличием квантовой постоянной
. Здесь
. Теоретически максвелловская плазма может находиться в разных состояниях, отвечающих как
(отсутствие квантовых флуктуаций электромагнитного поля), так и
(наличие квантовых флуктуаций электромагнитного поля). Теория Власова отвечает состоянию
. Поправки к теории Власова линейные по Z обратно пропорциональны
, что исключает предельный переход
и существование теории Власова как таковой. Обратное агрессивное воздействие термически возбуженных ленгмюровских волн на электроны и ионы плазмы, описываемое параметром Z, существенно изменяет дисперсионные уравнения. В реальных ситуациях всегда
. При этом свойства плазмы существенно отличаются от предписываемых уравнением Власова. На смену ленгмюровской частоте
приходит другая характерная квантовая частота
..
Появляются две ветви электронных колебаний плазмы, одна из которых описывает электронный звук, распространяющийся со скоростью
. Ионы плазмы, наряду со звуковой ветвью спектра, обладают другой квантовой ветвью, остающейся конечной при малых волновых числах [4]. Свойства поперечной и продольной диэлектрических проницаемостей принципиально отличаются друг от друга особенно при малых волновых числах.
Литература
ЖЭТФ, 1938, Т.8, С.291. , Физическая кинетика М.: Физматлит 2002 г. Veklenko B. A. International Journal of Optics V.2012 (2012), Article ID 648741. Инженерная физика. №4, 2013, С.48.


