Санкт-Петербургский государственный университет информационных технологий, механики и оптики
Типы задач интернет-олимпиады по математике
для школьников 7 - 11 классов. 2007 год.
Типовые задания для школьников 7 классов:
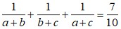
1. Учащиеся выполняли на доске упражнения на приведение подобных слагаемых и затем стерли знаки между слагаемыми. Восстановите запись
. ![]()
2.Число
составляет 40% от числа
. Сколько процентов число
составляет от числа
? ![]()
3.Отец старше сына на 24 года. Сколько лет отцу, если он старше сына в 3 раза? ![]()
4. Найдите
, если
? ![]()
5. Длины отрезков равны
. При каких значениях
из этих отрезков можно составить треугольник?
6. Медиана, проведенная к одной из боковых сторон равнобедренного треугольника, делит его периметр на две части, длиной 15 см и 6 см. Определите длины сторон. ![]()
7. Вычислить
. ![]()
8. При совместной работе трех тракторов различной мощности поле было вспахано за 6 дней. Если бы половину поля сначала вспахать одним трактором, то при дальнейшей совместной работе двух тракторов вся работа была бы закончена за 8 дней. За сколько дней можно было бы вспахать все поле каждым трактором отдельно? ![]()
9. Известно, что
и
.
Найдите
. ![]()
10. Два парома курсируют через реку с постоянными скоростями, поворачивая у берегов без потери времени. Они одновременно отправляются от противоположных берегов и в первый раз встречаются в 700 метрах от одного из берегов. Затем продолжают движение к берегам, поворачивают, возвращаются и встречаются второй раз в 400 метрах от другого берега. Определите ширину реки. ![]()
Типовые задания для школьников 8 классов:
1. Число
составляет 40% от числа
. Сколько процентов число
составляет от числа
? ![]()
2. Разложить на множители
. ![]()
3. Сократите дробь
. ![]()
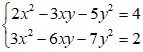
4. Решите систему уравнений
. ![]()
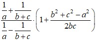
5. Упростите
. ![]()
6. Разложите на множители
.
7. Пусть
- корни уравнения
. Составить уравнение, корнями которого будут числа
и
. ![]()
8. В первенстве школы по шахматам была сыграна 231 партия. Сколько шахматистов участвовало в турнире, если каждый с каждым сыграл одну партию. ![]()
9. В треугольнике медианы равны 5 и 6 и пересекаются под прямым углом. Найдите площадь треугольника. ![]()
10. Два парома курсируют через реку с постоянными скоростями, поворачивая у берегов без потери времени. Они одновременно отправляются от противоположных берегов и в первый раз встречаются в 700 метрах от одного из берегов. Затем продолжают движение к берегам, поворачивают, возвращаются и встречаются второй раз в 400 метрах от другого берега. Определите ширину реки. ![]()
11. При каких значениях параметра
уравнение
![]()
имеет ровно два решения?
12.
при всех действительных значениях
. Найдите
.
![]()
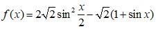
Типовые задания для школьников 9 классов:
Упростите
. ![]()
. ![]()
.
9.
при всех действительных значениях
. Найдите
. ![]()
10. Определите площадь равнобедренной трапеции, у которой длины оснований 10 см и 26 см, а диагонали перпендикулярны боковым сторонам. ![]()
11. При каких значениях параметра
уравнение
имеет ровно два решения?
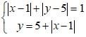
12. Решите уравнение
![]()
Типовые задания для школьников 10 классов:
1. Найдите наибольшее решение уравнения
.
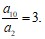
2. В арифметической прогрессии
Найти ![]()
3. При каких
прямые
и
перпендикулярны?
4. Решите уравнение
.
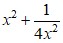
5. Найдите наименьшее значение функции
.
6. Найдите координаты точек пересечения графика функции
и графика обратной к ней функции.
7. На прямой
найдите точку, равноудаленную от точек
и
.
8. Две трубы, работая вместе, наполняют резервуар водой за 6 часов 15 минут. Одна труба наполняет 70% объема за 10 часов. За какое время другая труба может одна заполнить 45% объема?
9. При каком наибольшем натуральном значении
выражение
принимает целые значения?
10. Решите неравенство
.
11. При каких значениях
многочлен
делится на
без остатка?
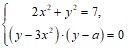
12. При каких значениях параметра
система уравнений
имеет ровно 4 различных решения?
Типовые задания для школьников 11 классов:
1. В арифметической прогрессии
Найти ![]()
2. При каких значениях
функция
является нечетной?
3. При каких
прямые
и
перпендикулярны?
4. Две трубы, работая вместе, наполняют резервуар водой за 6 часов 15
минут. Одна труба наполняет 70% объема за 10 часов. За какое время
другая труба может одна заполнить 45% объема?
5. При каких значениях
и
функция
является обратной к функции
?
6. Найдите решение уравнения
.
7. Решите систему уравнений 
8. Найдите наибольшее значение функции
.
9. Решите неравенство.![]()
10. Функция, заданная на всей числовой оси, удовлетворяет равенству
. Найдите ее корни на отрезке
.
11. Площадь боковой поверхности правильной четырехугольной усеченной пирамиды равна 28. Найдите боковое ребро пирамиды, если стороны оснований пирамиды равны 2 и 5.
12. При каких значениях параметра
уравнение
имеет единственное решение?



