Министерство образования Российской Федерации
____________________________________________________________________________________
СЕВЕРО-ЗАПАДНЫЙ ГОСУДАРСТВЕННЫЙ ЗАОЧНЫЙ
ТЕХНИЧЕСКИЙ УНИВЕРСИТЕТ
Кафедра радиотехники
ТРАНСПОРТНЫЕ
ИНФОРМАЦИОННО-УПРАВЛЯЮЩИЕ
РАДИОЭЛЕКТРОННЫЕ СИСТЕМЫ
Рабочая программа
Методические указания к изучению дисциплины
Задание на контрольную работу
Методические указания к выполнению контрольной работы
Ф а к у л ь т е т радиоэлектроники
Специальность 210302.65 – радиотехника
Санкт-Петербург
2006
Утверждено редакционно-издательским советом университета
УДК 621.396.93:65.011.56
Транспортные информационно-управляющие радиоэлектронные системы: Рабочая программа. Методические указания к изучению дисциплины. Задание на контрольную работу. Методические указания к выполнению контрольной работы. - СПб.: СЗТУ, 2006, – 17 с.
Рабочая программа содержит организационно-методические указания по изучению дисциплины, а также перечень тем и отдельных вопросов, подлежащих изучению студентами СЗТУ. Приводятся задание на контрольную работу и методические указания к ее выполнению. Рабочая программа дисциплины "Транспортные информационно-управляющие радиоэлектронные системы" разработана в соответствии с требованиями Государственного образовательного стандарта высшего профессионального образования по специальности подготовки дипломированных специалистов 210302.65 – радиотехника.
Рассмотрено на заседании кафедры радиотехники 5 декабря 2005г.,
одобрено методической комиссией факультета радиоэлектроники 22 января 2006 г.
Рецензенты: кафедра радиотехники СЗТУ (ст. преподаватель , канд. техн. наук); , д-р техн. наук, проф. кафедры физических и теоретических основ радиоэлектроники Санкт-Петербургского государственного университета аэрокосмического приборостроения.
Составитель , д-р техн. наук, проф.
© Северо-Западный государственный заочный технический университет, 2006
ОБЩАЯ ХАРАКТЕРИСТИКА УЧЕБНОЙ ДИСЦИПЛИНЫ
Предметом изучения дисциплины «Транспортные информационно-управляющие радиоэлектронные системы» (ТИРС) являются перспективные полностью автоматизированные радиоэлектронные системы сухопутной навигации, дистанционного контроля состояния и охраны (мониторинга) и централизованного управления передвижением (диспетчеризации) различных наземных (сухопутных), речных и воздушных транспортных средств, а также особенности разработки проектов таких систем в современных условиях перехода народного хозяйства России к рыночной экономике.
РЕКОМЕНДАЦИИ ПО ИЗУЧЕНИЮ ДИСЦИПЛИНЫ
Дисциплина имеет комплексный характер и для ее изучения необходимы знания и навыки, полученные студентами при изучении фундаментальных и специальных дисциплин, которые входят в учебный план специальности 210302.65 –радиотехника. Непосредственной информационной базой дисциплины являются следующие дисциплины:
– цифровые устройства и микропроцессоры;
– устройства генерирования и формирования сигналов;
– устройства приема и обработки сигналов;
– системы и сети подвижной радиосвязи.
Перед изучением настоящей дисциплины рекомендуется повторить основные положения указанных дисциплин.
ТРЕБОВАНИЯ К УРОВНЮ ОБУЧЕННОСТИ
Цель преподавания дисциплины - овладение студентами знаниями и навыками в области системотехнического проектирования ТИРС различного назначения, а также ознакомление с информационными и правовыми вопросами, связанными с реализацией современных ТИРС.
В результате изучения дисциплины студенты должны знать:
1. Современное состояние и перспективы развития ТИРС;
2. Общую классификацию, структуру и функциональные возможности ТИРС;
3. Основные эксплуатационно-технические требования к ТИРС различного назначения и методы их расчета;
4. Особенности и эксплуатационно-технические характеристики составных частей ТИРС и их аппаратурного обеспечения (навигационного, телекоммуникационного, компьютерного);
5. Особенности электронно-картографического и программно-математического обеспечения ТИРС;
6. Критерии и методы оценки эффективности применения ТИРС в различных транспортно-технологических операциях;
7. Методологию управления реализацией проектов ТИРС.
В результате изучения дисциплины и выполнения цикла лабораторных работ по ней студенты должны уметь:
1. Проводить содержательный анализ назначения и требуемых функциональных возможностей ТИРС в конкретных условиях их применения;
2. Разрабатывать совокупность системных эксплуатационно-технических требований к ТИРС и выбирать критерии сравнения вариантов построения ТИРС;
3. Разрабатывать общую структуру проектируемой ТИРС и рассчитывать ожидаемые эксплуатационно-технические характеристики составных частей ТИРС;
4. Выбирать технические средства составных частей ТИРС и их интерфейсов;
5. Разрабатывать альтернативные варианты построения ТИРС и выбирать оптимальный ее вариант;
6. Разрабатывать обобщенную структуру электронно-картографиче-ского и программно-математического обеспечения ТИРС и основные требования к ее вычислительному комплексу.
Студенты должны также иметь понятие о правовых вопросах, связанных с созданием и эксплуатацией ТИРС, и о возможностях информационного обеспечения проектов ТИРС.
Освоение студентами дисциплины «Транспортные информационно-управляющие РЭС» обеспечит выпускнику СЗТУ возможность работать проект-менеджером (управляющим проектами) или менеджером по направлению в области информатизации транспортно-технологических комплексов различных предприятий, городов и регионов.
ПОРЯДОК ИЗУЧЕНИЯ ДИСЦИПЛИНЫ
Дисциплина изучается в I семестре VI курса заочной и очно-заочной формы обучения. Общий объем дисциплины составляет 120 часов.
Учебный план дисциплины предусматривает установочную лекцию, самостоятельную работу студента, цикл лекций, три лабораторные работы и одну контрольную работу.
На установочной лекции студенты знакомятся с общим содержанием дисциплины, с основными ее положениями, с порядком изучения дисциплины и с литературой для самостоятельной работы студента. Лабораторные работы по дисциплине проводятся бригадным методом в лаборатории транспортных информационно-управляющих РЭС СЗТУ (СПб., Миллионная, 5, к. 435). По всем вопросам, относящимся к дисциплине, проводятся консультации в соответствии с учебным графиком преподавателей кафедры радиотехники.
Изучение дисциплины завершается индивидуальной оценкой контрольной работы, бригадной защитой оценкой, отчета по лабораторным работам и индивидуальной сдачей зачета по дисциплине.
1. РАБОЧАЯ ПРОГРАММА (120 часов)
Введение (8 часов)
[3], с. 112–125; [11], с. 78–83
Транспорт как сложная эрготехническая система перевозки пассажиров и грузов. Основные виды транспорта.
Основные задачи оперативного управления движением транспортных средств: автономная навигация, мониторинг, диспетчеризация. Автоматизированные транспортные информационно-управляющие системы (ТИУС).
Исторические этапы развития технических средств ТИУС. Системы радиосвязи, радиолокация и радионавигация, цифровая картография. Человеко-машинные интерфейсы ТИУС.
Особенности развития ТИУС наземного транспорта. Современные транспортные информационно-управляющие радиоэлектронные системы (ТИРС). Классификация ТИРС.
Международное сотрудничество в области ТИРС.
Подготовка специалистов по системотехническому проектированию и эксплуатации ТИРС.
Цель, задачи и содержание курса.
Общая характеристика ТИРС (16 часов)[1], с. 153–186; [3], с. 112–125
Основные понятия теории сложных эрготехнических систем. Система, окружающая среда, инфраструктура, субъективные элементы системы.
Сложные системы, роль человека–оператора в сложной энергетической системе.
ТИРС как техническая подсистема сложной транспортной эрготехнической информационно-управляющей системы.
Обобщенная структура ТИРС. Основные компоненты, инфраструктура и подсистемы ТИРС; технические средства ее информационного обеспечения.
Навигационное, телекоммуникационное, электронно-картографиче-ское и программно-математическое обеспечение ТИРС. Человеко-машинные интерфейсы ТИРС.
Датчики дополнительной информации: охранная сигнализация, датчики состояния, датчики счисления пути. Средства активного воздействия на злоумышленников, иммобилайзеры.
Основные эксплуатационно-технические характеристики радиосистем дистанционного контроля состояния и оперативного управления движением наземного транспорта. Требования пользователей ТИРС к их эксплуатационно-техническим характеристикам.
Навигационное обеспечение ТИРС. Радиосистемыдальней и глобальной навигации (20 часов)
[6], с. 178–193, 223–242, 288–321;[15]
Принцип действия радионавигационных систем.
Основные свойства радиоволн навигационных поддиапазонов.
Режимы работы PHC и вспомогательные средства местоопределения наземных транспортных средств. Стандартный, дифференциальный и относительный способы местоопределения.
Длинноволновые импульсно-фазовые РНС: «Loran-C» и «Чайка».
Среднеорбитальные спутниковые РНС: GPS «Navstar» и ГЛОНАСС.
Сравнительные эксплуатационно-технические характеристики радиосистем дальней и глобальной навигации.
Счисление пути, его роль в ТИРС наземного транспорта. Датчики пройденного пути и направления движения.
Основы теории точности местоопределения в РНС. Меры точности местоопределения. Радиотехнический, радиофизический и геометрический факторы.
Расчет необходимой точности координатного обеспечения ТИРС.
Аппаратура пользователей РНС и ее технико-экономические характеристики. Основные фирмы–производители приемоизмерителей РНС.
Телекоммуникационное обеспечение ТИРС. Радиоканалы обмена речевой и цифровой информацией (12 часов)[7], кн.1, с.12-111, 191-216; [9]
Основные требования к подсистеме радиосвязи ТИРС. Дальность действия радиосвязи, время установления связи и занятости канала связи. Период опроса транспортных средств и нагрузка на систему связи.
Традиционные радиальные, линейные и территориальные системы радиосвязи.
Транкинговые, сотовые и спутниковые системы радиосвязи.
Модемы обмена цифровой информацией. Маскираторы и скрем-блеры речевого канала.
Программно-математическое и электронно-
картографическое обеспечение ТИРС (14 часов)
[2]; [5], с. 3-50, 132-140; [10]
Программное обеспечение ТИРС.
Элементы высшей геодезии: форма земной поверхности и ее аппроксимация; основные картографические проекции и геодезические системы координат. Государственные геодезические сети России. Координаты Гаусса-Крюгера, система СК-42. Системы WGS-84 и СГС-85; переход из одной системы картографических координат в другую.
Цифровое картографирование. Геоинформационные системы (ГИС). Электронно-картографическое обеспечение ТИРС.
Сервисное обеспечение ТИРС - основные программы.
Системотехническое проектирование и управлениепроектами тирс (10 часов)
[4], с. 15-82; [7], кн.2, с. 194-235; [8], с.7-98, 156-171
Понятие о менеджменте.
«Проект-менеджмент» и его соотношение с понятием «бизнес-менеджмент». Управление организацией и управление проектом.
Участники технического проекта и их функции. Команда проекта ТИРС. Этапы системотехнического проектирования ТИРС.
Технико-экономическое обоснование проекта.
Основы теории эффективности и расчет технико-экономической эффективности применения ТИРС в различных транспортно-технологических операциях.
Структура технического задания и технического предложения.
Эскизно-техническое проектирование.
Информационное обеспечение и патентование в области ТИРС.
Правовые вопросы создания и эксплуатации ТИРС. Лицензирование и сертификация.
ТЕМАТИЧЕСКИЙ ПЛАН ЛЕКЦИЙ
для студентов очно-заочной формы обучения (28 часов)
1. Основы транспортных информационно-управляющих радиоэлектронных систем (ТИРС). | 4 часа |
2. Навигационное обеспечение ТИРС. | 8 –"– |
3. Системы речевой и цифровой сухопутной подвижной радиосвязи. Спутниковые системы радиосвязи в ТИРС. | 4 –"– |
4. Программно-математическое и электронно-картографическое обеспечение ТИРС. | 6 –"– |
5. Системотехническое проектирование и управление реализацией проекта ТИРС. | 6 –"– |
ПЕРЕЧЕНЬ ЛАБОРАТОРНЫХ РАБОТ (12 часов)
1. Исследование технических характеристик приемоизмерителя ИФРНС. (4 часа)
2. Исследование точности местоопределения объекта по сигналам европейской цепи ИФРНС "Чайка". (4 часа)
3. Определение требований к точности навигационного обеспечения РСДУ. (4 часа)
Лабораторные работы выполняются в соответствии с Методическими указаниями к выполнению лабораторных работ по дисциплине "Транспортные информационно-управляющие радиоэлектронные системы".
ЛИТЕРАТУРА
Основная:
, , Шипилов сети и информационно-управляющие системы: Словарь-справочник.–СПб.: СПбГУТ, 2001. ,Вахрамеева . Картографические проекции: Справочное пособие.–М.: Недра, 1992.3. Информационно-управляющие человеко-машинные системы: Справочник / и др.-М.: Машиностроение. 1993.
4. Кабушкин менеджмента.–Минск: "ФУА",
Экономпресс, 1997.
Лисицкий принципы цифрового картографирования местности. - М.: Недра, 1988. Радиотехнические системы / Под ред. .- М.: Высш. шк., 1990.7. Сухопутная подвижная радиосвязь: В 2 кн./ , , и др. - М.: Радио и связь, 1990.
8. Управление проектами = Project Management: Учебник/
, , и др. - СПб: "Два ТрИ",1996.
Дополнительная:
, , Дмитриев мобильной связи. - СПб: СПб ГУТ, 1999 (СПб: ВУС, 1998). Берлянт картографирование. - М., 1997. , , // Радиотехника, 1999, № 11. , Канторов . - М.: Радио и связь, 1985. , , Лукин основы судовождения.- М.: Транспорт, 1980. , , Устинов радионавигационные системы. - М.: Транспорт, 1992. Соловьев спутниковой навигации.–М.: Эко–Трендз, 2000. и др. Толковый словарь по управлению проектами. - М.: ИНСАН, 1992.ТЕМЫ РЕФЕРАТОВ
Современные транспортные информационно-управляющие системы как сложные эрготехнические системы. Роль человека–оператора и технических средств в этих системах. Системотехническое проектирование транспортных информационно-управляющих РЭС(ТИРС). Виды транспортных информационно-управляющих РЭС и особенности их применения на наземном, морском и воздушном транспорте. Радиосистемы дальней и глобальной навигации и их использование в транспортных информационно-управляющих РЭС. Основы теории точности радионавигационного местоопределения транспортных средств и расчет необходимой точности координатного обеспечения ТИРС. Современные системы подвижной радиосвязи и особенности их применения в ТИРС наземного, морского и воздушного транспорта. Основы теоретической картографии и картографическое обеспечение современных ТИРС. Геоинформационные системы и электронно-картографическое обеспечение современных транспортных информационно-управляющих систем. Особенности управления реализацией проектов ТИРС. Основы теории эффективности и расчет технико-экономической эффективности применения ТИРС.ТЕСТОВЫЕ ЗАДАНИЯ
Определить основные задачи дистанционного контроля состояния и оперативного управления движением транспортных средств. Дать общее определение сложной эрготехнической системы и конкретизировать его применительно к транспортным информационно-управляющим системам (ТИУС). Раскрыть понятие человеко-машинного интерфейса на примере ТИУС. Дать основные понятия теории сложных эрготехнических систем. Каковы основные особенности навигационного обеспечения различных ТИУС? Каковы основные особенности телекоммуникационного обеспечения ТИУС? Каковы основные особенности электронно-картографического обеспечения ТИУС? Перечислить типы различных видов датчиков дополнительной информации, используемых в ТИУС. Перечислить основные эксплуатационно-технические характеристики транспортных информационно-управляющих РЭС (ТИРС). Сформулировать основные принципы действия и построения радионавигационных систем. Перечислить основные различия спутниковых РНС GPS ("Navstar"), ГЛОНАСС и "Galileo". Чем отличаются стандартный, дифференциальный, двойной дифференциальный и относительный способы местоопределения с помощью сигналов РНС? Дать характеристику основных мер точности местоопределения подвижных объектов. Как рассчитать необходимую точность координатного обеспечения ТИРС? Дать классификацию систем сухопутной подвижной радиосвя-зи. Охарактеризовать основные отличия автономных, транкинговых, сотовых и спутниковых систем радиосвязи. Чем отличаются и как связаны между собой физическая поверхность Земли, геоид, земной сфероид и земная сфера? Охарактеризовать основные системы координат, используемые в геодезии и картографии. Описать основные картографические проекции, применяемые для электронно-картографического обеспечения ТИРС. Каковы стандартные сервисные программы программно-математического обеспечения ТИРС? Перечислить участников технического проекта ТИРС и их функции. Сформулировать основные понятия и методы расчета технико-экономической эффективности применения ТИРС. Составить краткий проект технического задания на разработку ТИРС оперативного управления транспортными средствами районной службы передвижных милицейских групп.2. ЗАДАНИЕ НА КОНТРОЛЬНУЮ РАБОТУ
При изучении дисциплины ТИУРЭС выполняется одна контрольная работа по теории точности местоопределения объектов радиоопределения, которая закрепляет практические навыки, полученные студентами при выполнении лабораторных работ.
Целью контрольной работы является количественная оценка точностных характеристик местоопределения объекта по результатам статической обработки результатов радионавигационных измерений. Для достижения этой цели студент, на основании исходных статистических данных, вычисляет параметры единичного эллипса рассеяния радионавигационного местоположения объекта, определяет основные меры точности местоопределения и формулирует рекомендации по радионавигационному обеспечению ТИРС. Варианты исходных данных для работы студент выбирает согласно таблице по последней цифре своего шифра.
Решение задачи следует сопровождать кратким пояснением смысла вычисляемых величин. Необходимо указывать размерности всех величин: как заданных, так и полученных в результате вычислений. Решение заканчивается построением масштабного изображения единичного эллипса рассеяния радионавигационного местоположения объекта и рекомендациями по радионавигационному обеспечению ТИРС.
Таблица содержит следующие исходные данные:
Истинное местоположение объекта MЧисловые значения величин
,
,
,
,
,
приведены в таблице.
Для выполнения контрольной работы необходимо
рассчитать:
Радиальное среднеквадратическое отклонение (СКО) местоположения объекта от среднего местоположения (B, L)Исходные | Варианты исходных данных | |||||||||
данные | 1 | 2 | 3 | 4 | 5 | 6 | 7 | 8 | 9 | 0 |
| равна последним двум цифрам шифра, если они образуют число, меньшее 70; иначе – вычесть 20 | |||||||||
| 20 | 30 | 40 | 50 | 60 | 70 | 80 | 90 | 100 | 110 |
| 10 | 15 | 20 | 25 | 30 | 35 | 40 | 45 | 40 | 30 |
| 20 | 30 | 35 | 20 | 40 | 45 | 50 | 35 | 25 | 15 |
| 35 | 30 | 25 | 40 | 30 | 25 | 20 | 15 | 10 | 25 |
| 45 | 40 | 35 | 50 | 60 | 55 | 30 | 20 | 25 | 35 |
| 0,7 | 0,6 | -0,5 | 0,5 | 0,3 | -0,2 | -0,7 | 0,8 | -0,4 | 0 |
Полную среднеквадратическую погрешность (СКП) местоопределения
По вычисленным данным следует построить единичный эллипс рассеяния и сделать выводы о навигационном обеспечении ТИРС (в стандартном или в дифференциальном режимах местоопределения).
3. МЕТОДИЧЕСКИЕ Указания к выполнению КОНТРОЛЬНОЙ работы
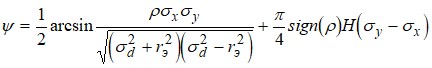
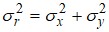
Радиальное СКО (в метрах) вычисляется по формуле:
,
где
и
- СКО по осям местной плоской декартовой системы координат (х, у) в метрах. Поэтому предварительно нужно ввести в точке М систему координат (х, у) так, чтобы ось Ох была касательной в точке М к местной параллели, а ось Оу - к местному меридиану. Тогда
;
, ![]()
где 1852 - коэффициент перевода угловых геодезических координат в метры.
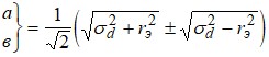
СКО по произвольному направлению
.
.
,
где:

В соответствии с введенной системой координат (х, у) азимут большой полуоси
. Переведя смещения
и
в координаты (хо, уо) центра эллипса рассеяния, можно построить единичный эллипс рассеяния (см. рисунок).
.
На основании величин
и
следует сделать выводы о необходимой точности навигационного обеспечения ТИРС и средствах его реализации.
Единичный эллипс рассеяния радионавигационного
местоположения объекта
Литература: [6], с. 235 - 236; «Транспортные информационно-управляющие РЭС: Методические указания к выполнению лабораторных работ»(работа № 2).
Изложение и оформление материала контрольной работы проводится в такой последовательности:
Наименование контрольной работы и изучаемой дисциплины, данные о студенте, место и дата выполнения работы; Цель выполнения контрольной работы; Исходные данные; Последовательность и результаты вычислений; Графическое построение; Объяснение полученных результатов; Рекомендации по навигационному обеспечению ТИРС.СОДЕРЖАНИЕ
1. Рабочая программа 6
2. Задание на контрольную работу 13
3. Методические указания к выполнению
контрольной работы 15
Сводный темплан 2006 г.
Лицензия ЛР № 000 от 14.02.97
Редактор
Подписано в печать Формат 60×84 1/16
Б. кн.-журн. П. л. 1,25 Б. л. 0,625 РТП РИО СЗТУ
Тираж Заказ
Северо-Западный государственный заочный технический университет
РИО СЗТУ, член Издательско-полиграфической ассоциации
вузов Санкт-Петербурга
191186, Санкт-Петербург,



