«Приложение
к Постановлению НКФР
№ 26/10 от 13 июня 2013 г.
ПОЛОЖЕНИЕ
о методе расчета базовой страховой премии и корректирующих
коэффициентов по обязательному страхованию
автогражданской ответственности
I. Общие положения
Положение о методе расчета базовой страховой премии и корректирующих коэффициентов по обязательному страхованию автогражданской ответственности (в дальнейшем – Положение) разработано в соответствии с положениями частей (1) и (2) статьи 11 Закона от 22 декабря 2006 г. об обязательном страховании гражданской ответственности за ущерб, причиненный автотранспортными средствами (Официальный монитор Республики Молдова, 2007 г., № 32-35, ст.112), с последующими изменениями и дополнениями, и устанавливает порядок расчета Национальной комиссией по финансовому рынку базовой страховой премии и корректирующих коэффициентов к базовой страховой премии. В настоящем Положении используются следующие основные понятия:корректирующий коэффициент – коэффициент, определяющий степень риска в зависимости от определенного фактора риска или степень доли нагрузки в зависимости от расходов страховщика и/или маржи прибыли;
подверженность риску – период действия (в годах) страховых полисов в течение календарного года;
доля нагрузки – надбавка к определенной рисковой премии, которая включает расходы страховщика и маржу прибыли;
фактор риска – фактор, влияющий на степень риска;
частота наступления страховых случаев – число страховых случаев, приходящихся на годовой страховой полис, подверженный риску;
рисковая маржа – надбавка к чистой премии, призванная компенсировать изменение риска;
страховая премия – премия для одной единицы транспорта, рассчитанная страховщиком в зависимости от базовой страховой премии и корректирующих коэффициентов и установленная в договоре страхования по договоренности со страхователем;
базовая страховая премия – средняя годовая премия для одной единицы транспорта, состоящая из рисковой премии и доли нагрузки;
чистая премия – премия, покрывающая стоимость страхового риска;
рисковая премия – чистая премия, к которой прибавляется рисковая маржа.
3. Базовая страховая премия и значение корректирующих коэффициентов по факторам риска рассчитываются на основании статистической информации о количестве подверженных риску страховых полисов, стоимости ущерба, зарегистрированного по обязательному страхованию автогражданской ответственности, и прогноза эволюции количества полисов и ущерба.
4. Базовая страховая премия и значение корректирующих коэффициентов, предусмотренных настоящим Положением, устанавливаются используя:
a) единую информационную систему, предусмотренную пунктом b) части 1 статьи 5 Закона от 01.01.01 г. об обязательном страховании гражданской ответственности за ущерб, причиненный автотранспортными средствами;
b) реестр учета договоров страхования, предусмотренный частью (2) статьи 38 Закона от 01.01.01 г. об обязательном страховании гражданской ответственности за ущерб, причиненный автотранспортными средствами;
c) реестр страховщика об учете ущерба;
d) государственный регистр населения, утвержденный Постановлением Правительства № 000 от 18 марта 2002 г.;
e) государственный регистр транспорта, утвержденный Постановлением Правительства № 000 от 8 ноября 1999 г.;
f) информацию, представляемую Национальным бюро страховщиков автотранспортных средств, о договорах перестрахования, заключаемых при внешнем страховании автогражданской ответственности в соответствии с критериями, установленными Советом Бюро международной системы страхования Зеленая карта;
g) информацию о среднегодовом коэффициенте инфляции в соответствии с официальными источниками Национального бюро статистики, Национального банка Молдовы, Министерства экономики, Офиса статистики Европейского Союза (Eurostat), другими официальными источниками.
5. Страховая премия по обязательному страхованию автогражданской ответственности определяется по договоренности между страховщиком и страхователем в зависимости от базовой премии с применением к ней корректирующих коэффициентов и системы bonus-malus.
6. Страховая премия для прицепов рассчитывается путем применения к страховой премии автотранспортного средства единого коэффициента Kr.
II. Базовая страховая премия
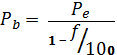
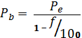
7. Базовая страховая премия для одной единицы транспорта на срок 12 месяцев рассчитывается в зависимости от рисковой премии и доли нагрузки по формуле:

,
где:
Pb – базовая страховая премия;
Pe – рисковая премия;
f – доля нагрузки в базовой страховой премии, выраженная в %.
8. Рисковая премия рассчитывается как сумма чистой премии и рисковой маржи, с учетом коэффициента инфляции, по формуле:
Pe = (Pp + Pm) Ч Ki,
где:
Pe – рисковая премия;
Pp – чистая премия;
Pm – рисковая маржа;
Ki – коэффициент инфляции.
9. Чистая премия рассчитывается как произведение между частотой наступления страховых случаев и средним размером ущерба и определяется по формуле:
![]()
,
где:
Pp – чистая премия;
q – частота наступления страховых случаев;
D – средний размер ущерба;
DA – стоимость выплаченных страховых возмещений;
DDN – общая сумма заявленных, но неурегулированных убытков;
DN – общая сумма непринятых убытков.
10. Частота наступления страховых случаев определяется по формуле: ![]()
,
где:
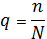
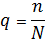
q – частота наступления страховых случаев;
n – число страховых случаев, приходящихся на страховые полисы, подверженные риску;
N – число годовых страховых полисов, подверженных риску.
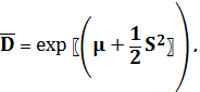
11. Средний размер ущерба определяется по формуле:

где:
D – средний размер ущерба;
exp (X) – величина показательной функции в пункте X;
µ – средняя стоимость размера ущерба, которая определяется по формуле:
![]()
,
где:
Di – возникший страховой случай;
S2 – стандартное отклонение, одновременно S2 определяется по формуле:

,
где:
Di – возникший страховой случай;
n – число страховых случаев.
12. Общая сумма ущерба включает выплаченные страховые возмещения и сумму заявленных, но неурегулированных убытков по полисам, подверженным риску. В случаях, когда страховщикам возмещаются расходы по регрессному иску в виде возмещения имущества, или перестраховщиками в соответствии с договором перестрахования, эти расходы исключаются из суммы ущерба.
13. Общая сумма непринятых страховых случаев рассчитывается актуарным методом на основе треугольников развития убытков (метод Chain-Ladder) в соответствии с нижеследующим:
Таблица развития – Выплаченные страховые возмещения
Год происхож-дения (i) | Год развития ( j ) | ||||||
1 | 2 | 3 | ... | n-2 | n-1 | n | |
1 | d1;1 | d1;2 | d1;3 | ... | d1;n-2 | d1;n-1 | d1;n |
2 | d2;1 | d2;2 | d2;3 | ... | d2;n-2 | d2;n-1 | |
3 | d3;1 | d3;2 | d3;3 | ... | d3;n-2 | ||
… | … | … | … | ... | |||
n-2 | dn-2;1 | dn-2;2 | dn-2;3 | ||||
n-1 | dn-1;1 | dn-1;2 | |||||
n | dn;1 |
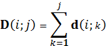
где:
d(i, j) представляет собой общую сумму страховых возмещений, выплаченных в период годов развития и связанных с страховыми случаями, произошедшими в период годов происхождения.
рассчитывается общая сумма страховых ущербов по каждому году происхождения, с представлением накопленных данных в соответствии с нижеследующей таблицей развития:
Таблица развития – Накопленные выплаченные страховые возмещения
Год происхождения (i) | Год развития ( j ) | |||||||||||||||||||||||||||||||||||||||||||
1 | 2 | 3 | ... | n-2 | n-1 | n | ||||||||||||||||||||||||||||||||||||||
1 | D1;1 | D1;2 | D1;3 | ... | D1;n-2 | D1;n-1 | D1;n | |||||||||||||||||||||||||||||||||||||
2 | D2;1 | D2;2 | D2;3 | ... | D2;n-2 | D2;n-1 | ||||||||||||||||||||||||||||||||||||||
3 | D3;1 | D3;2 | D3;3 | ... | D3;n-2 | |||||||||||||||||||||||||||||||||||||||
… | … | … | … | ... | ||||||||||||||||||||||||||||||||||||||||
n-2 | Dn-2;1 | Dn-2;2 | Dn-2;3 | |||||||||||||||||||||||||||||||||||||||||
n-1 | Dn-1;1 | Dn-1;2 | ||||||||||||||||||||||||||||||||||||||||||
n | Dn;1 | |||||||||||||||||||||||||||||||||||||||||||
где: | ||||||||||||||||||||||||||||||||||||||||||||
Таблица развития - Заявленные, но неурегулированные убытки
где: R(i, j) представляет собой суммы резервов заявленных, но не урегулированных убытков, находящиеся в остатке в конце периода годов развития и связанные с страховыми случаями, произошедшими в период годов происхождения. | ||||||||||||||||||||||||||||||||||||||||||||
Таблица развития – Возникшие страховые случаи
где: X(i, j) = D(i, j) + R(i, j) | ||||||||||||||||||||||||||||||||||||||||||||
Таблица развития – Сумма ущерба | ||||||||||||||||||||||||||||||||||||||||||||
Год происхождения (i) | Год развития ( j ) | |||||||||||||||||||||||||||||||||||||||||||
1 | 2 | 3 | ... | n-2 | n-1 | n | ||||||||||||||||||||||||||||||||||||||
1 | X1;1 | X1;2 | X1;3 | ... | X1;n-2 | X1;n-1 | X1;n | |||||||||||||||||||||||||||||||||||||
2 | X2;1 | X2;2 | X2;3 | ... | X2;n-2 | X2;n-1 | Y2;n | |||||||||||||||||||||||||||||||||||||
3 | X3;1 | X3;2 | X3;3 | ... | X3;n-2 | Y3;n-1 | Y3;n | |||||||||||||||||||||||||||||||||||||
… | … | … | … | ... | … | … | ... | |||||||||||||||||||||||||||||||||||||
n-2 | Xn-2;1 | Xn-2;2 | Xn-2;3 | ... | Yn-2;n-2 | Yn-2;n-1 | Yn-2;n | |||||||||||||||||||||||||||||||||||||
n-1 | Xn-1;1 | Xn-1;2 | Yn-1;3 | ... | Yn-1;n-2 | Yn-1;n-1 | Yn-1;n | |||||||||||||||||||||||||||||||||||||
n | Xn;1 | Yn;2 | Yn;3 | ... | Yn;n-2 | Yn;n-1 | Yn;n | |||||||||||||||||||||||||||||||||||||
r1;2 | r2;3 | rn-3;n-2 | rn-2;n-1 | rn-1;n | ||||||||||||||||||||||||||||||||||||||||
| определяются факторы развития как показатели изменения в форме коэффициентов:
используя факторы развития, оцениваются накопленные непокрытые убытки по каждому году происхождения и заполняется треугольник run-off полученными величинами: | ||||||||||||||||||||||||||||||||||||||||||||
| ; j=2,3,4, ... , n ; i=2,3,4 ... , n; | |||||||||||||||||||||||||||||||||||||||||||
| определяется общая сумма непринятых страховых случаев: |
,
где: DN – общая сумма непринятых страховых случаев.
14. Общая сумма непринятых страховых случаев по полисам, подверженным риску, не может быть меньше чем сумма, рассчитанная с использованием метода, предусмотренного в настоящей методологии.
15. Число страховых случаев, приходящихся на страховые полисы, подверженные риску, рассчитывается как сумма оплаченных страховых случаев и заявленных, но неурегулированных страховых случаев, по формуле:
![]()
где:
n - число страховых случаев, приходящихся на страховые полисы, подверженные риску;
na – число оплаченных страховых случаев;
nn – число заявленных, но неурегулированных страховых случаев.
16. Рисковая маржа рассчитывается по формуле:

где:
Pm – рисковая маржа;
б(g) – коэффициент надежности, установленный на основании нормального распределения в зависимости от вероятности g, с которой гарантируются результаты (в соответствии с таблицей Gauss-Laplace);
Pp – чистая премия;
q – частота наступления страховых случаев;
V – коэффициент вариации общего ущерба
![]()
– число годовых полисов, подверженных риску, на следующий год, для которого рассчитывается базовая страховая премия, которое определяется по формуле:

,
где:
t – 1,2, ... , n (предыдущий период, на основании которого оценивается число годовых полисов, подверженных риску).
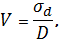
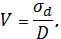
17. Коэффициент вариации общего ущерба рассчитывается по формуле:
![]()
![]()
где:
уd – среднеквадратическое отклонение величины ущербов;
_
D – средний размер ущерба.
18. Среднеквадратическое отклонение рассчитывается по формуле:
![]()
где:
![]()
– среднеквадратическое отклонение.
19. Доля нагрузки определяется на основании расходов страховщика при внутреннем или внешнем обязательном страховании автогражданской ответственности, понесенных в предыдущем периоде (не менее одного года), и прогноза расходов в период, для которого устанавливается базовая страховая премия, и включает:
a) расходы страховщика, кроме предусмотренных в подпунктах b)-f). При любой актуализации базовой страховой премии в расчет принимается доля расходов страховщика в предыдущем периоде (последняя актуализация базовой страховой премии), принимая во внимание коэффициент инфляции на текущий год;
b) расходы по перестрахованию, по внешнему обязательному страхованию автогражданской ответственности;
c) регуляторные платежи;
d) взносы в Фонд защиты жертв аварий по внутреннему обязательному страхованию автогражданской ответственности;
e) взносы в Фонд компенсаций по внешнему обязательному страхованию автогражданской ответственности;
f) маржу прибыли;
g) платежи за поддержание и модернизацию Государственной автоматизированной информационной системы RCA Data.
20. Расходы на перестрахование включаются в долю нагрузки на основании информации, предусмотренной в подпункте f) пункта 4.
21. Размер отчислений в Национальный гарантийный фонд в страховании устанавливается в соответствии с законодательством, регулирующим деятельность данного фонда.
22. Размер отчислений в Фонд защиты жертв аварий и в Фонд компенсаций устанавливается в соответствии с положениями части (4) статьи 33 и части (3) статьи 34 Закона от 01.01.01 г. об обязательном страховании гражданской ответственности за ущерб, причиненный автотранспортными средствами, а размер регуляторных платежей устанавливается в соответствии с положениями пункта h) части (1) статьи 6 Закона от 12 ноября 1998 г. о Национальной комиссии по финансовому рынку.
III. Корректирующие коэффициенты по внутреннему обязательному страхованию автогражданской ответственности
23. Устанавливаются следующие корректирующие коэффициенты базовой страховой премии по внутреннему обязательному страхованию автогражданской ответственности:
Факторы | Коэффициент |
тип автотранспортного средства | K1 |
территория эксплуатации автотранспортного средства | K2 |
юридический статус владельца автотранспортного средства | K3 |
тип договора (число лиц, допущенных к вождению) | K4 |
возраст и стаж вождения пользователя | K5 |
место регистрации автотранспортного средства | K6 |
срок страхования | K7 |
расходы страховщика | Kgc |
размер маржи прибыли | Kmp |
24. Корректирующие коэффициенты по факторам риска, связанным с типом, территорией эксплуатации автотранспортного средства и возрастом пользователя, рассчитываются как соотношение чистой премии по разным группам автотранспортных средств, сформированным в зависимости от факторов риска, и средней стоимости чистой премии для всех автотранспортных средств.
25. Корректирующий коэффициент K1 устанавливается в зависимости от типа автотранспортного средства, объема двигателя, количества мест или общей массы автотранспортного средства.
Тип автотранспортного средства |
a) легковые автомобили: |
до 1200 куб. см |
от 1201 до 1600 куб. см |
от 1601 до 2000 куб. см |
от 2001 до 2400 куб. см |
от 2401 до 3000 куб. см |
свыше 3000 куб. см |
такси (только для юридических лиц) |
с электрическим двигателем |
b) автотранспортные средства для перевозки пассажиров: |
до 17 мест, включая водителя |
от 18 до 30 мест, включая водителя |
более 30 мест |
c) дорожные тракторы с мощностью двигателя: |
до 45 л. с. включительно |
от 46 л. с. до 100 л. с. включительно |
свыше 100 л. с. |
d) грузовые и другие автотранспортные средства, кроме перечисленных в пунктах a)–c), с максимальной установленной массой: |
до 3500 кг |
от 3501 до 7500 кг |
от 7501 до 16000 кг |
свыше 16000 кг |
e) мотоциклы: |
до 300 куб. см |
свыше 300 куб. см |
26. Корректирующий коэффициент K2 устанавливается в зависимости от интенсивности дорожного движения на определенных территориях использования автотранспортного средства и в целях настоящего Регламента такими территориями являются:
муниципий Кишинэу; муниципий Бэлць; другие населенные пункты Республики Молдова.Корректирующий коэффициент K2 не применятся для автотранспортных средств, зарегистрированных за рубежом и временно эксплуатируемых на территории Республики Молдова.
27. Корректирующий коэффициент K3 устанавливается в зависимости от юридического статуса владельца автотранспортного средства.
Юридический статус владельца автотранспортного средства |
физические лица |
юридические лица, физические лица – предприниматели, иные правовые объединения, за исключением юридических лиц, осуществляющих транспортные перевозки пассажиров в режиме такси, и троллейбусных парков |
28. Корректирующий коэффициент K4 устанавливается в зависимости от типа договора страхования. Договор обязательного страхования автогражданской ответственности между юридическим лицом, физическим лицом-предпринимателем, иным правовым объединением и страховщиком заключается без указания лиц, допущенных к пользованию автотранспортным средством, в отношении которого заключается договор (неограниченное число пользователей).
Тип договора |
с указанием лиц, допущенных к пользованию автотранспортным средством, в отношении которого заключается договор (ограниченное число пользователей) |
без указания лиц, допущенных к пользованию автотранспортным средством, в отношении которого заключается договор (неограниченное число пользователей) |
29. Корректирующий коэффициент K5 устанавливается в зависимости от возраста и стажа вождения страхователя и пользователя автотранспортного средства и применяется при заключении договоров с ограниченным числом лиц. Стаж вождения устанавливается в соответствии с водительским удостоверением или информацией из Государственного регистра водителей автотранспортных средств. В случаях, когда к вождению допущено большее число пользователей, применяется максимальный коэффициент из коэффициентов, установленных для лиц, указанных в договоре, включая страхователя. Корректирующий коэффициент K5 не применяется при заключении договоров для автотранспортных средств, зарегистрированных за рубежом и временно эксплуатируемых на территории Республики Молдова.
Возраст и стаж водителя |
возраст до 23 лет включительно и стаж вождения до 2 лет включительно |
возраст до 23 лет включительно и стаж вождения более 2 лет |
возраст свыше 23 лет и стаж вождения до 2 лет включительно |
возраст свыше 23 лет и стаж вождения более 2 лет |
30. Корректирующий коэффициент K6 применяется для автотранспортных средств, зарегистрированных за рубежом и временно эксплуатируемых на территории Республики Молдова.
Место регистрации автотранспортного средства |
Вне Республики Молдова |
31. Корректирующий коэффициент K7 устанавливается в зависимости от срока страхования в соответствии с частью (4) статьи 9 и частью (2) статьи 12 Закона от 01.01.01 г. об обязательном страховании гражданской ответственности за ущерб, причиненный автотранспортными средствами. Срок страхования при заключении договора страхования на период менее 12 месяцев указывается в нижеследующей таблице:
15 дней | 1 месяц | 2 месяца | 3 месяца | 4 месяца | 5 месяцев | 6 месяцев | 7 месяцев | 8 месяцев | 9 месяцев | 10 месяцев и более |
32. Корректирующий коэффициент Kgc устанавливается в зависимости от размера фактических расходов страховщика, связанных с обязательным страхованием автогражданской ответственности. Корректирующий коэффициент Kgc равен единице в случае, когда страховая премия устанавливается с учетом максимального размера расходов страховщика, включенных в долю нагрузки, и может быть понижен не более чем на 0,90.
33. Корректирующий коэффициент Kmp устанавливается в зависимости от размера маржи прибыли, включенной в долю нагрузки базовой страховой премии. Корректирующий коэффициент Kmp равен единице в случае, когда страховая премия устанавливается с учетом максимального размера маржи прибыли, включенной в долю нагрузки, и может быть понижен не более чем на 0,95.
34. Коэффициент bonus-malus (Kbm) применяется в соответствии с Положением о применении системы bonus-malus при обязательном страховании автогражданской ответственности за ущерб, причиненный автотранспортными средствами (в новой редакции), утвержденном Постановлением Национальной комиссии по финансовому рынку № 22/3 от 29 апреля 2015. Для заявителя, автотранспортное средство которого зарегистрировано за рубежом и временно эксплуатируется на территории Республики Молдова (при отсутствии международных страховых документов, действительных на территории Республики Молдова), коэффициент bonus-malus (Kbm) равен единице.
35. Страховая премия для автотранспортных средств, зарегистрированных в Республике Молдова, в договорах с указанием лиц, допущенных к пользованию автотранспортным средством, в отношении которых заключается договор (ограниченное число лиц), определяется по формуле: ![]()
где:
Pa – страховая премия;
Pb – базовая страховая премия для автотранспортных средств, принадлежащих физическим лицам, за исключением индивидуальных предпринимателей;
K – корректирующий коэффициент.
36. Скидки, предусмотренные частями (1) и (3) статьи 12 Закона от 01.01.01 г. об обязательном страховании гражданской ответственности за ущерб, причиненный автотранспортными средствами, применяются к страховой премии, рассчитанной в соответствии с пунктом 35.
IV. Корректирующие коэффициенты по внешнему обязательному страхованию автогражданской ответственности
37. Базовая страховая премия по внешнему обязательному страхованию автогражданской ответственности устанавливается раздельно для Зоны 1 (Украина и Беларусь), Зоны 2 (Украина, Беларусь и Российская Федерация) и для Зоны 3 (все страны международной системы страхования Зеленая карта).
Устанавливаются следующие корректирующие коэффициенты базовой страховой премии по внешнему обязательному страхованию автогражданской ответственности:
Факторы | Коэффициент |
тип автотранспортного средства | K1v |
срок страхования | K2v |
38. Корректирующий коэффициент K1v устанавливается в зависимости от типа автотранспортного средства, количества мест или общей массы автотранспортного средства.
Тип автотранспортного средства | Коды типов автотранспортных средств в соответствии с нормами совета Бюро международной системы страхования Зеленая карта |
легковые автомобили | A |
мотоциклы | B |
грузовые автомобили с общей массой до 3,5 тонн | C1 |
грузовые автомобили и тракторы с общей массой свыше 3,5 тонн | C2 |
автотранспортные средства для перевозки пассажиров с количеством мест до 17, включая водителя | E1 |
автотранспортные средства для перевозки пассажиров с количеством мест свыше 17 | E2 |
39. Корректирующий коэффициент K2v в зависимости от срока страхования устанавливается по аналогии в порядке, предусмотренном в части (4) статьи 9 и части (2) статьи 12 Закона 414-XVI от 01.01.01 г. об обязательном страховании гражданской ответственности за ущерб, причиненный автотранспортными средствами. Срок страхования при заключении договора страхования на период менее 12 месяцев указывается в нижеследующей таблице:
15 дней | 1 месяц | 2 месяца | 3 месяца | 4 месяца | 5 месяцев | 6 месяцев | 7 месяцев | 8 месяцев | 9 месяцев | 10 месяцев и более |
40. Страховая премия при внешнем обязательном страховании автогражданской ответственности рассчитывается по формуле:
Pa = PbЧ K1v Ч K2v
где:
Pa – страховая премия;
K – корректирующий коэффициент.
Базовая страховая премия при внешнем обязательном страховании автогражданской ответственности устанавливается в евро и вносится в молдавских леях в соответствии с установленным курсом Национального банка Молдовы на день оплаты».




; j=1,2,3, ... , n-1,n.
; j=2,3,4, ... , n;
