МИНИСТЕРСТВО ОБРАЗОВАНИЯ И НАУКИ РФ
ФЕДЕРАЛЬНОЕ ГОСУДАРСТВЕННОЕ
ОБРАЗОВАТЕЛЬНОЕ УЧРЕЖДЕНИЕ
СРЕДНЕГО ПРОФЕССИОНАЛЬНОГО ОБРАЗОВАНИЯ
«Красногорский государственный колледж»
![]() |
Глоссарий
по дисциплине
«Информационные технологии»
Красногорск
2011
Министерство образования и науки рф
Федеральное ГОСУДАРСТВЕННОЕ ОБРАЗОВАТЕЛЬНОЕ УЧРЕЖДЕНИЕ
СРЕДНЕГО ПРОФЕССИОНАЛЬНОГО ОБРАЗОВАНИЯ
КРАСНОГОРСКИЙ ГОСУДАРСТВЕНННЫЙ КОЛЛЕДЖ
УЧЕБНО – МЕТОДИЧЕСКИЙ КОМПЛЕКТ
Глоссарий
ДИСЦИПЛИНЫ Информационные технологии
для специальности 230105 ПРОГРАММНОЕ ОБЕСПЕЧЕНИЕ ВЫЧИСЛИТЕЛЬНОЙ ТЕХНИКИ И АВТОМАТИЗИРОВАННЫХ СИСТЕМ
2011
КЛЮЧЕВЫЕ ПОНЯТИЯ
Адекватность информации - это определенный уровень соответствия создаваемого с помощью полученной информации образа реальному объекту, процессу, явлению и т. п.
В реальной жизни вряд ли возможна ситуация, когда вы сможете рассчитывать на полную адекватность информации. Всегда присутствует некоторая степень неопределенности. От степени адекватности информации реальному состоянию объекта или процесса зависит правильность принятия решений человеком.
Вид информации:
Внутренняя информация возникает внутри объекта, внешняя информация - за пределами объекта.
Вторичная информация - это информация, которая получается в результате обработки первичной информации и может быть промежуточной и результатной.
Входная информация - это информация, поступающая в фирму или ее подразделения.
Выходная информация - это информация, поступающая из фирмы в другую фирму, организацию (подразделение).
Графическая информация - это различного рода графики, диаграммы, схемы, рисунки и т. д.
Первичная информация - это информация, которая возникает непосредственно в процессе деятельности объекта и регистрируется на начальной стадии.
Переменная информация отражает фактические количественные и качественные характеристики производственно-хозяйственной деятельности фирмы. Она может меняться для каждого случая как по назначению, так и по количеству. Например, количество произведенной продукции за смену, еженедельные затраты на доставку сырья, количество исправных станков и т. п.
Постоянная (условно-постоянная) информация - это неизменная и многократно используемая в течение длительного периода времени информация. Постоянная информация может быть справочной, нормативной, плановой:
постоянная справочная информация включает описание постоянных свойств объекта в виде устойчивых длительное время признаков. Например, табельный номер служащего, профессия работника, номер цеха и т. п.;
постоянная нормативная информация содержит местные, отраслевые и общегосударственные нормативы. Например, размер налога на прибыль, стандарт на качество продуктов определенного вида, размер минимальной оплаты труда, тарифная сетка оплаты государственным служащим;
постоянная плановая информация содержит многократно используемые в фирме плановые показатели. Например, план выпуска телевизоров, план подготовки специалистов определенной квалификации.
Промежуточная информация используется в качестве исходных данных для последующих расчетов.
Результатная информация получается в процессе обработки первичной и промежуточной информации и используется для выработки управленческих решений.
Текстовая информация - это совокупность алфавитных, цифровых и специальных символов, с помощью которых представляется информация на физическом носителе (бумага, изображение на экране дисплея).
Глубину классификации. характеризует количество уровней классификации, соответствующее числу признаков, выбранных в качестве основания деления,
Данные могут рассматриваться как признаки или записанные наблюдения, которые по каким-то причинам не используются, а только хранятся. В том случае, если появляется возможность использовать эти данные для уменьшения неопределенности о чем-либо, данные превращаются в информацию. Поэтому можно утверждать, что информацией являются используемые данные.
Фасетная система классификации в отличие от иерархической позволяет выбирать признаки классификации независимо как друг от друга, так и от семантического содержания классифицируемого объекта. Признаки классификации называются фасетами(facet - рамка). Каждый фасет (Фi) содержит совокупность однородных значений данного классификационного признака. Причем значения в фасете могут располагаться в произвольном порядке хотя предпочтительнее их упорядочение.
Пример 2.11. Фасет цвет содержит значения: красный, белый, зеленый, черный, желтый.
Фасет специальность содержит названия специальностей.
Фасет образование содержит значения: среднее, среднее специальное, высшее.
Информация - сведения об объектах и явлениях окружающей среды, их параметрах, свойствах и состоянии, которые уменьшают имеющуюся о них степень неопределенности, неполноты знаний.
Информационными объектами называют выделенные классы применительно к информации как к объекту классификации
Информационными коммуникациями называются пути и процессы, обеспечивающие передачу сообщений от источника информации к ее потребителю,
Классификатор - систематизированный свод наименований и кодов классификационных группировок.
При классификации широко используются понятияклассификационный признак и значение классификационного признака, которые позволяют установить сходство или различие объектов. Возможен подход к классификации с объединением этих двух понятий в одно, названное как признак классификации. Признак классификации имеет также синоним основание деления.
Классификация - cистема распределения объектов (предметов, явлений, процессов, понятий) по классам в соответствии с определенным признаком
Под объектом понимается любой предмет, процесс, явление материального или нематериального свойства. Система классификации позволяет сгруппировать объекты и выделить определенные классы, которые будут характеризоваться рядом общих свойств. Классификация объектов - то процедура группировки на качественном уровне, направленная на выделение однородных свойств. Применительно к информации как к объекту классификации выделенные классы называют информационными объектами.
Код строится на базе алфавита, состоящего из букв, цифр и других символов. Код характеризуется:
длиной - число позиций в коде;
структурой - порядок расположения в коде символов, используемых для обозначения классификационного признака
Кодирование - Процедура присвоения объекту кодового обозначения.
Количество информации - т. е. количество информации измеряется изменением (уменьшением) неопределенности состояния системы.
Энтропия системы может рассматриваться как мера недостающей информации.
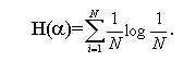
Энтропия системы H(a), имеющая N возможных состояний, согласно формуле Шеннона, равна:

где Рi - вероятность того, что система находится в i-м состоянии.
Для случая, когда все состояния системы равновероятны, т. е. их вероятности равны Pi=1/N, ее энтропия определяется соотношением

Часто информация кодируется числовыми кодами в той или иной системе счисления, особенно это актуально при представлении информации в компьютере. Естественно, что одно и то же количество разрядов в разных системах счисления может передать разное число состояний отображаемого объекта, что можно представить в виде соотношения
N=mn, где N - число всевозможных отображаемых состояний;
т - основание системы счисления (разнообразие символов, применяемых в алфавите);
п - число разрядов (символов) в сообщении.
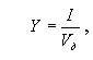
Коэффициент (степень) информативности (лаконичность) сообщения определяется отношением количества информации к объему данных, т. е.
причем 0<Y<1
С увеличением Y уменьшаются объемы работы по преобразованию информации (данных) в системе. Поэтому стремятся к повышению информативности, для чего разрабатываются специальные методы оптимального кодирования информации.
Мера измерения информации:
Прагматическая мера информации
Эта мера определяет полезность информации (ценность) для достижения пользователем поставленной цели. Эта мера также величина относительная, обусловленная особенностями использования этой информации в той или иной системе. Ценность информации целесообразно измерять в тех же самых единицах (или близких к ним), в которых измеряется целевая функция.
Семантическая мера информации
Для измерения смыслового содержания информации, т. е. ее количества на семантическом уровне, наибольшее признание получила тезаурусная мера, которая связывает семантические свойства информации со способностью пользователя принимать поступившее сообщение. Для этого используется понятие тезаурус пользователя.
Синтаксическая мера информации
Эта мера количества информации оперирует с обезличенной информацией, не выражающей смыслового отношения к объекту.
Объем данных Vд. в сообщении измеряется количеством символов (разрядов) в этом сообщении. В различных системах счисления один разряд имеет различный вес и соответственно меняется единица измерения данных:
в двоичной системе счисления единица измерения - бит (bit - binary digit - двоичный разряд);
Показатель качества информации:
Возможность и эффективность использования информации обусловливаются такими основными ее потребительскими показателями качества, как репрезентативность, содержательность, достаточность, доступность, актуальность, своевременность, точность, достоверность, устойчивость.
Репрезентативность информации связана с правильностью ее отбора и формирования в целях адекватного отражения свойств объекта. Важнейшее значение здесь имеют:
- правильность концепции, на базе которой сформулировано исходное понятие;
- обоснованность отбора существенных признаков и связей отображаемого явления.
- Нарушение репрезентативности информации приводит нередко к существенным ее погрешностям.
Содержательность информации отражает семантическую емкость, равную отношению количества семантической информации в сообщении к объему обрабатываемых данных, т. е. C=Ic/Vд.
Актуальность информации определяется степенью сохранения ценности информации для управления в момент ее использования и зависит от динамики изменения ее характеристик и от интервала времени, прошедшего с момента возникновения данной информации.
Достаточность (полнота) информации означает, что она содержит минимальный, но достаточный для принятия правильного решения состав (набор показателей). Понятие полноты информации связано с ее смысловым содержанием (семантикой) и прагматикой. Как неполная, т. е. недостаточная для принята правильного решения, так и избыточная информация снижает эффективность принимаемых пользователем решений.
Достоверность информации определяется ее свойством отражать реально существующие объекты с необходимой точностью. Измеряется достоверность информации доверительной вероятностью необходимой точности, т. е. вероятностью того, что отображаемое информацией значение параметра отличается от истинного значения этого параметра в пределах необходимой точности.
Доступность информации восприятию пользователя обеспечивается выполнением соответствующих процедур ее получения и преобразования. Например, в информационной системе информация преобразовывается к доступной и удобной для восприятия пользователя форме. Это достигается, в частности, и путем согласования ее семантической формы с тезаурусом пользователя.
Репрезентативность информации связана с правильностью ее отбора и формирования в целях адекватного отражения свойств объекта.
Своевременность информации означает ее поступление не позже заранее назначенного момента времени, согласованного с временем решения поставленной задачи.
Содержательностьинформации отражает семантическую емкость, равную отношению количества семантической информации в сообщении к объему обрабатываемых данных, т. е. C=Ic/Vд.
С увеличением содержательности информации растет семантическая пропускная способность информационной системы, так как для получения одних и тех же сведений требуется преобразовать меньший объем данных.
Наряду с коэффициентом содержательности С, отражающим семантический аспект, можно использовать и коэффициент информативности, характеризующийся отношением количества синтаксической информации (по Шеннону) к объему данных Y=I/Vд.
Точность информации определяется степенью близости получаемой информации к реальному состоянию объекта, процесса, явления и т. п. Для информации, отображаемой цифровым кодом, известны четыре классификационных понятия точности:
- формальная точность, измеряемая значением единицы младшего разряда числа;
- реальная точность, определяемая значением единицы последнего разряда числа, верность которого гарантируется;
- максимальная точность, которую можно получить в конкретных условиях функционирования системы;
- необходимая точность, определяемая функциональным назначением показателя.
Устойчивость информации отражает ее способность реагировать на изменения исходных данных без нарушения необходимой точности. Устойчивость информации, как и репрезентативность, обусловлена выбранной методикой ее отбора и формирования.
Свойства информационного объекта определяются информационными параметрами, называемыми реквизитами. Реквизиты представляются либо числовыми данными, например вес, стоимость, год, либо признаками, например цвет, марка машины, фамилия.
Реквизит - логически неделимый информационный элемент, описывающий определенное свойство объекта, процесса, явления и т. п.
Связь между дескрипторами:
Между дескрипторами устанавливаются связи, которые позволяют расширить область поиска информации. Связи могут быть трех видов:
синонимические указывающие некоторую совокупность ключевых слов как синонимы;
родо-видовые, отражающие включение некоторого класса объектов в более представительный класс;
ассоциативные, соединяющие дескрипторы, обладающие общими свойствами.
Пример 2.14. Синонимическая связь: студент-учащийся-обучаемый. Родо-видовая связь: университет-факультет-кафедра. Ассоциативная связь: студент-экзамен-профессор-аудитория.
Система классификации:
Для организации поиска информации, для ведения тезаурусов (словарей) эффективно используется дескрипторная (описательная) система классификации, язык которой приближается к естественному языку описания информационных объектов. Особенно широко она используется в библиотечной системе поиска.
Суть дескрипторного метода классификации заключается в следующем:
- отбирается совокупность ключевых слов или словосочетаний, описывающих определенную предметную область или совокупность однородных объектов. Причем среди ключевых слов могут находиться синонимы; выбранные ключевые слова и словосочетания подвергаются нормализации, т. е. из совокупности синонимов выбирается один или несколько наиболее употребимых; создается словарь дескрипторов, т. е. словарь ключевых слов и словосочетаний, отобранных в результате процедуры нормализации.
Между дескрипторами устанавливаются связи, которые позволяют расширить область поиска информации. Связи могут быть трех видов:
синонимические указывающие некоторую совокупность ключевых слов как синонимы;
родо-видовые, отражающие включение некоторого класса объектов в более представительный класс;
ассоциативные, соединяющие дескрипторы, обладающие общими свойствами.
Пример 2.14. Синонимическая связь: студент-учащийся-обучаемый. Родо-видовая связь: университет-факультет-кафедра. Ассоциативная связь: студент-экзамен-профессор-аудитория.
Иерархическая система классификации (рис. 2.3) строится следующим образом:
- исходное множество элементов составляет 0-й уровень и делится в зависимости от выбранного классификационного признака на классы (группировки), которые образуют 1-й уровень; каждый класс 1-го уровня в соответствии со своим, характерным для него классификационным признаком делится на подклассы, которые образуют 2-й уровень; каждый класс 2-го уровня аналогично делится на группы, которые образуют 3-й уровень и т. д.
Рис. 1. Иерархическая система классификации
Учитывая достаточно жесткую процедуру построения структуры классификации, необходимо перед началом работы определить ее цель, т. е. какими свойствами должны обладать объединяемые в классы объекты. Эти свойства принимаются в дальнейшем за признаки классификации.
Запомните! В иерархической системе классификации из-за жесткой структуры особое внимание следует уделить выбору классификационных признаков.
В иерархической системе классификации каждый объект на любом уровне должен быть отнесен к одному классу, который характеризуется конкретным значением выбранного классификационного признака. Дня последующей группировки в каждом новом классе необходимо задать свои классификационные признаки и их значения. Таким образом, выбор классификационных признаков будет зависеть от семантического содержания того класса, для которого необходима группировка на последующем уровне иерархии.
Количество уровней классификации, соответствующее числу признаков, выбранных в качестве основания деления, характеризует глубину классификации.
Достоинства иерархической системы классификации:
- простота построения; использование независимых классификационных признаков в различных ветвях иерархической структуры. Недостатки иерархической системы классификации; жесткая структура, которая приводит к сложности внесения изменений, так как приходится перераспределять все классификационные группировки; невозможность группировать объекты по заранее не предусмотренным сочетаниям признаков.
Система кодирования - совокупность правил кодового обозначения объектов.
Код строится на базе алфавита, состоящего из букв, цифр и других символов. Код характеризуется:
длиной - число позиций в коде;
структурой - порядок расположения в коде символов, используемых для обозначения классификационного признака.
Процедура присвоения объекту кодового обозначения называется кодированием. Можно выделить две группы методов, используемых в системе кодирования (рис.2.7), которые образуют:
классификационную систему кодирования, ориентированную на проведение предварительной классификации объектов либо на основе иерархической системы, либо на основе фасетной системы;
регистрационную систему кодирования, не требующую предварительной классификации объектов. Рассмотрим представленную на рис. 2.7 систему кодирования.

Рис. 2. Система кодирования, использующая разные методы
классификационную систему кодирования, ориентированную на проведение предварительной классификации объектов либо на основе иерархической системы, либо на основе фасетной системы;
Параллельное кодирование используется для фасетной системы классификации. Суть метода заключается в следующем: все фасеты кодируются независимо друг от друга; для значений каждого фасета выделяется определенное количество разрядов кода. Параллельная система кодирования обладает теми же достоинствами и недостатками, что и фасетная система классификации.
Пример 2.16. Проведем кодирование информации, классифицированной с помощью фасетной схемы. Количество кодовых группировок определяется количеством фасетов и равно 4. Выберем десятичную систему счисления в качестве алфавита кодировки, что позволит для значений фасетов выделить один разряд и иметь длину кода, равную 4. В отличие от последовательного кодирования для иерархической системы классификации в данном метоле не имеет значения порядок кодировки фасетов. В общем виде код можно записать как ХХХХ, где Х - значение десятичного разряда. Рассмотрим структуру кода, начиная со старшего разряда:
1-й (старший) разряд выделен для фасета "кол" и имеет следующие значения: 1 - мужчины; 2 - женщины;
2-й разряд выделен для фасета "наличие детей у женщин" и имеет следующие значения: 1 - есть дети; 2 - нет детей; 0 - для мужчин, так как подобной информации не требуется;
3-й разряд выделен для фасета "возраст" и имеет следующие значения: 1 - до 20 лет; 2 - от 20 до 30 лет; 3 - свыше 30 лет;
4-й разряд выделен для фасета "название факультета" и имеет следующие значения 1 - радиотехнический, 2 - машиностроительный, 3 - коммерческий; 4 - информационные системы; 5 - математический и т. д.
Принятая система кодирования позволяет легко расшифровать любой кол группировки, например:
2135 - женщины в возрасте свыше 30 лет, имеющие детей и являющиеся студентами математического факультета;
1021 - мужчины возраста от 20 до 30 лет, являющиеся студентами радиотехнического факультета.
Последовательное кодирование используется для иерархической классификационной структуры. Суть метода заключается в следующем: сначала записывается код старшей группировки 1-го уровня, затем код группировки 2-го уровня, затем код группировки 3-го уровня и т. д. В результате получается кодовая комбинация, каждый разряд которой содержит информацию о специфике выделенной группы на каждом уровне иерархической структуры. Последовательная система кодирования обладает теми же достоинствами и недостатками, что и иерархическая система классификации.
Пример 2.15. Проведем кодирование информации, классифицированной с помощью иерархической схемы. Количество кодовых группировок будет определяться глубиной классификации и равно 4, Прежде чем начать кодирование, необходимо определиться с алфавитом, т. е. какие будут использоваться символы. Для большей наглядности выберем десятичную систему счисления -10 арабских цифр. Анализ схемы на рис. 2.4 показывает, что длина кода определяется 4 десятичными разрядами, а кодирование группировки на каждом уровне можно делать путем последовательной нумерации слева направо. В общем виде код можно записать как ХХХХ, где Х - значение десятичного разряда. Рассмотрим структуру кода, начиная со старшего разряда:
- 1-й (старший) разряд выделен для классификационного признака "название факультета" и имеет следующие значения: 1 - коммерческий; 2 - информационные системы; 3 - для следующего названия факультета и т. д.; 2-й разряд выделен для классификационного признака "возраст" и имеет следующие значения: 1 - до 20 лет; 2 - от 20 до 30 лет; 3 - свыше 30 лет; 3-й разряд выделен для классификационного признака "пол" и имеет следующие значения: 1 - мужчины; 2 - женщины; 4-й разряд выделен для классификационного признака "наличие детей у женщин" и имеет следующие значения; 1 - есть дети; 2 - нет детей, 0 - для мужчин, так как подобной информации не требуется.
Принятая система кодирования позволяет легко расшифровать любой код группировки, например:
1310 - студенты коммерческого факультета, свыше 30 лет мужчины;
2221 - студенты факультета информационных систем, от 20 до 30 лет, женщины имеющие детей.
Регистрационное кодирование используется для однозначной идентификации объектов и не требует предварительной классификации объектов. Различают порядковую и серийно-порядковую систему.
Порядковая система кодирования предполагает последовательную нумерацию объектов числами натурального ряда. Этот порядок может быть случайным или определяться после предварительного упорядочения объектов, например по алфавиту. Этот метод применяется в том случае, когда количество объектов невелико, например кодирование названий факультетов университета, кодирование студентов в учебной группе.
Серийно-порядковая система кодирования предусматривает предварительное выделение групп объектов, которые составляют серию, а затем в каждой серии производится порядковая нумерация объектов. Каждая серия также будет иметь порядковую нумерацию. По своей сути серийно-порядковая система является смешанной: классифицирующей и идентифицирующей. Применяется тогда, когда количество групп невелико.
Пример 2.17. Все студенты одного факультета разбиваются на учебные группы (в данной терминологии - серии), для которых используется порядковая нумерация. Внутри каждой группы производится упорядочение фамилий студентов по алфавиту и каждому студенту присваивается номер.
создается словарь дескрипторов, т. е. словарь ключевых слов и словосочетаний, отобранных в результате процедуры нормализации.
Суть дескрипторного метода классификации заключается в следующем:
- отбирается совокупность ключевых слов или словосочетаний, описывающих определенную предметную область или совокупность однородных объектов. Причем среди ключевых слов могут находиться синонимы; выбранные ключевые слова и словосочетания подвергаются нормализации, т. е. из совокупности синонимов выбирается один или несколько наиболее употребимых; создается словарь дескрипторов, т. е. словарь ключевых слов и словосочетаний, отобранных в результате процедуры нормализации.
Тезаурус - это совокупность сведений, которыми располагает пользователь или система.
Фасетная система классификации в отличие от иерархической позволяет выбирать признаки классификации независимо как друг от друга, так и от семантического содержания классифицируемого объекта. Признаки классификации называются фасетами(facet - рамка). Каждый фасет (Фi) содержит совокупность однородных значений данного классификационного признака. Причем значения в фасете могут располагаться в произвольном порядке хотя предпочтительнее их упорядочение.
Пример 2.11. Фасет цвет содержит значения: красный, белый, зеленый, черный, желтый.
Фасет специальность содержит названия специальностей.
Фасет образование содержит значения: среднее, среднее специальное, высшее.
Форма адекватности:
Прагматическая (потребительская) адекватность. Она отражает отношение информации и ее потребителя, соответствие информации цели управления, которая на ее основе реализуется. Проявляются прагматические свойства информации только при наличии единства информации (объекта), пользователя и цели управления. Прагматический аспект рассмотрения связан с ценностью, полезностью использования информации при выработке потребителем решения для достижения своей цели. С этой точки зрения анализируются потребительские свойства информации. Эта форма адекватности непосредственно связана с практическим использованием информации, с соответствием ее целевой функции деятельности системы.
Семантическая (смысловая) адекватность. Эта форма определяет степень соответствия образа объекта и самого объекта. Семантический аспект предполагает учет смыслового содержания информации. На этом уровне анализируются те сведения, которые отражает информация, рассматриваются смысловые связи. В информатике устанавливаются смысловые связи между кодами представления информации. Эта форма служит для формирования понятий и представлений, выявления смысла, содержания информации и ее обобщения.
Синтактическая адекватность Она отображает формально-структурные характеристики информации и не затрагивает ее смыслового содержания. На синтаксическом уровне учитываются тип носителя и способ представления информации, скорость передачи и обработки, размеры кодов представления информации, надежность и точность преобразования этих кодов и т. п. Информацию, рассматриваемую только с синтаксических позиций, обычно называют данными, так как при этом не имеет значения смысловая сторона. Эта форма способствует восприятию внешних структурных характеристик, т. е. синтаксической стороны информации.
Экономическая информация - овокупность сведений, отражающих социально-экономические процессы и служащих для управления этими процессами и коллективами людей в производственной и непроизводственной сфере.
Нормативно-справочная информация содержит различные нормативные и справочные данные. Ее обновление происходит достаточно редко.
Оперативная (текущая) информация - это информация, используемая в оперативном управлении и характеризующая производственные процессы в текущий (данный) период времени. К оперативной информации предъявляются серьезные требования по скорости поступления и обработки, а также по степени ее достоверности. От того, насколько быстро и качественно проводится ее обработка, во многом зависит успех фирмы на рынке.
Плановая информация - информация о параметрах объекта управления на будущий период. На эту информацию идет ориентация всей деятельности фирмы.
Учетная информация - это информация, которая характеризует деятельность фирмы за определенный прошлый период времени. На основании этой информации могут быть проведены следующие действия: скорректирована плановая информация, сделан анализ хозяйственной деятельности фирмы, приняты решения по более эффективному управлению работами и пр. На практике в качестве учетной информации может выступать информация бухгалтерского учета, статистическая информация и информация оперативного учета.
Энтропия системы H(a), имеющая N возможных состояний, согласно формуле Шеннона, равна:

где Рi - вероятность того, что система находится в i-м состоянии.





