www. globalteka. ru® Заказать диплом, курсовую, диссертацию
Рост собственного капитала, финансовый рычаг и платежеспособность предприятия
,
к. э.н., финансовый директор торгово-производственного холдинга
Опубликовано в номере: Финансовый менеджмент №2 / 2002
Величина собственного капитала и темпы его роста, финансовый рычаг в структуре капитала и платежеспособность являются важнейшими характеристиками финансово-экономического состояния предприятия, поскольку по этим показателям обычно судят об экономической привлекательности предприятия или инвестиционного проекта. Не возникает сомнения в том, что эти три показателя являются величинами взаимосвязанными, при этом влияние финансового рычага в структуре капитала на рентабельность собственного капитала и, следовательно, темпы его роста достаточно изучено и подробно описано. Но влияние этого же финансового рычага на платежеспособность предприятия, с одной стороны, и влияние платежеспособности предприятия на темпы роста собственного капитала, с другой стороны, еще требует объективного рассмотрения и изучения.
Действительно, в отечественной и зарубежной литературе за термином «финансовый рычаг», отражающим соотношение заемного и собственного капитала, закрепилось довольно устойчивое определение как фактора, увеличивающего рентабельность собственного капитала (автор надеется, что с этой известной классической формулой читатель хорошо знаком). В самом деле, чем выше финансовый рычаг на начало отчетного периода за счет преобладания заемных средств по сравнению с собственными средствами, тем, при прочих равных условиях, выше и рентабельность собственного капитала. И против этого положения трудно спорить.
Но расчет рентабельности собственного капитала за определенный период учитывает значение финансового рычага в структуре капитала только на начало отчетного периода, при этом ни слова не говорится о величине этого же финансового рычага и платежеспособности предприятия на конец отчетного периода. Получается, что в погоне за высокой рентабельностью собственного капитала никакого внимания не уделяется ни распределению собственных и заемных средств, ни учету платежеспособности на конец отчетного периода, хотя на начало отчетного периода предприятие может иметь довольно высокий финансовый рычаг и одновременно быть неплатежеспособным.
Но разве финансового менеджера не интересует данное обстоятельство? Зачем тогда нужен рост собственного капитала на конец отчетного периода, отягощенный неблагоприятным финансовым рычагом, когда происходит рост заемных средств без обеспечения их надежными источниками покрытия – активами в денежной форме? С другой стороны, зачем нужна большая прибыль, если нет собственных денежных источников для расчетов, скажем, с инвесторами и акционерами по окончании сделок или проектов?
Кроме того, между финансовым рычагом и платежеспособностью предприятия на конец отчетного периода существует определенное противоречие. Это связано с тем, что с увеличением заемной составляющей имущества платежеспособность предприятия исключительно в денежной форме резко снижается, т. е. возникает серьезная проблема с погашением долгов и обязательств предприятия в следующем отчетном периоде.
Отсюда видно, что финансовый рычаг неоднозначно влияет на финансово-экономическое состояние предприятия. Его действие разнонаправленно – рост рентабельности собственного капитала и его темпов, как правило, приводит к потере платежеспособности.
Такое разнонаправленное действие финансового рычага возникает только лишь потому, что не учитывается влияние еще одного финансового рычага – в структуре активов. А поэтому в финансовом менеджменте следует различать по крайней мере два финансовых рычага — один в структуре капитала, а другой — в структуре активов. Дело в том, что именно финансовый рычаг в структуре активов, как будет показано ниже, «отвечает» за платежеспособность предприятия и, следовательно, должен выступать в качестве ограничителя финансового рычага в структуре капитала, обеспечивая одновременно и рост рентабельности собственного капитала, и укрепление платежеспособности предприятия на конец отчетного периода.
Вследствие этого данная статья посвящена поиску рационального механизма сочетания собственного капитала, финансового рычага и платежеспособности предприятия на конец отчетного периода — с таким условием, что рост собственного капитала сопровождается абсолютной платежеспособностью, а финансовый рычаг благоприятно влияет и на рентабельность собственного капитала, и на платежеспособность предприятия1.
Прежде всего, начнем с преобразования статей бухгалтерского баланса, что в дальнейшем позволит провести анализ платежеспособности и финансовой устойчивости предприятия, оценить влияние финансового рычага и возможности роста собственного капитала.
1. Структуризация баланса. В целях анализа движения активов, собственного и заемного капитала за отчетный период воспользуемся типовым бухгалтерским балансом и проведем ряд преобразований. Для этого представим активы предприятия (И) в виде имущества по форме (ИФ) с выделением денежной (Идф ) и неденежной (Индф ) составляющих:
И = ИФ = Индф + Идф.
В состав имущества в неденежной форме (Индф ) входят все внеоборотные активы и часть текущих активов — запасы сырья, материалов и другие материальные ценности, затраты незавершенного производства, готовая продукция и товары отгруженные, расходы будущих периодов и прочие запасы. К этой группе также относятся налог на добавленную стоимость и вся дебиторская задолженность, включая авансы выданные.
Имущество в денежной форме (Идф ), наоборот, включает все денежные средства, краткосрочные финансовые вложения и прочие оборотные активы, которые могут быть выражены исключительно в денежной форме или их ликвидность достаточно высока.
Такое распределение объясняется тем, что при анализе финансово-экономического состояния предприятия необходимо точно определять формы платежеспособности, отдавая предпочтение больше денежной форме, чем неденежной. В этом смысле, скажем, дебиторская задолженность – в виде обязательств дебиторов расплатиться с данным предприятием – не может рассматриваться как реальное платежное средство в данный момент времени, поскольку эти обязательства хотя и имеют стоимостное выражение, но еще не получили, строго говоря, денежную форму. А поэтому включение дебиторской задолженности в состав Идф является преждевременным шагом. С другой стороны, авансы выданные также не могут рассматриваться как платежное средство, поскольку уже имеют конкретного адресата в данный момент времени.
От имущества по форме перейдем к имуществу по содержанию (И) — капиталу (ИС), для чего выделим собственную (СК) и заемную (ЗК) составляющие:
И = ИС = СК + ЗК.
Проведя группировку имущества по форме и по содержанию, попытаемся восстановить единство формы и содержания бухгалтерского баланса, что необходимо, прежде всего, для оценки финансово-экономического состояния предприятия.
2. Единство формы и содержания. Для воссоединения единства формы и содержания перегруппированных статей бухгалтерского баланса совместим имущество по форме с имуществом по содержанию методом наложения так, чтобы форма получила содержание, а содержание — форму.
В результате получаем две матрицы, в которых все имущество по форме разбивается на денежное и неденежное, а все имущество по содержанию — на собственное и заемное.
Первая матрица (см. табл. 1) представляет собой унифицированный формат баланса в статике и в наиболее общем виде характеризует взаимосвязь видов имущества как на начало, так и на конец отчетного периода, структуру этого имущества, а также преобладание той или иной формы или того или иного источника в определенный момент времени.
В случае заполнения данной таблицы становится понятной не только общая величина собственного капитала (СК), но и его составных частей — в денежной (СКдф ) и неденежной (СКндф ) форме, что явно не видно из традиционной формы бухгалтерского баланса. В свою очередь, денежные средства (Идф ) получают собственную (СКдф ) и заемную (ЗКдф ) составляющие. Можно без труда сказать, какая часть денежных средств принадлежит предприятию, а какая часть нет.
Но самое главное преимущество данной таблицы заключается в том, что в такой редакции бухгалтерский баланс восстанавливает форму и содержание одного и того имущества. Каждый из четырех заштрихованных элементов одновременно входит и в состав активов, и в состав капитала. И это не случайно, потому что элементы строки таблицы образуют имущество по форме, а элементы столбца — имущество по содержанию.
Таблица 1
Унифицированный формат баланса в статике

Такая двойственная природа каждого из этих элементов — принадлежать одновременно и к активам, и к капиталу — в полной мере раскрывает смысл бухгалтерского баланса. При работе с такой редакцией баланса прочтение бухгалтерской информации значительно упрощается. На вопросы директора теперь можно получить конкретные ответы: взаимоувязка денежного и неденежного имущества с собственным и заемным капиталом дает ключ к пониманию финансово-экономической устойчивости предприятия.
Для построения динамического баланса необходима иная таблица, в которой основное внимание уделяется уже приростным значениям, а воссоединение формы и содержания происходит в динамике (см. табл. 2, цифры условные).
Важно отметить, что для заполнения этих таблиц и, прежде всего, четырех базовых элементов, которые в таблицах заштрихованы, требуются обработанные определенным образом данные шахматного бухгалтерского баланса (ШББ) или главной бухгалтерской книги (ГБК), доступ к которым может быть ограничен и даже невозможен. Что же касается итоговых значений таблиц, то эти данные легко определяются из отчетной формы.
Таблица 2
Унифицированный формат баланса в динамике, тыс. руб.

3. Платежеспособность и финансовая устойчивость.
Анализ финансовой устойчивости любого хозяйствующего субъекта является важнейшей характеристикой его деятельности и финансово-экономического благополучия, оценивает результат его текущего, инвестиционного и финансового развития, содержит необходимую информацию для инвестора, а также отражает способность предприятия отвечать по своим долгам и обязательствам и устанавливает размеры источников для дальнейшего развития.
Финансовое состояние предприятия оценивается, прежде всего, его финансовой устойчивостью и платежеспособностью. Платежеспособность отражает способность предприятия платить по своим долгам и обязательствам в данный конкретный период времени. Считается, что если предприятие не может отвечать по своим обязательствам к конкретному сроку, то оно неплатежеспособно. При этом на основе анализа определяются его потенциальные возможности и тенденции для покрытия долга, разрабатываются мероприятия по избежанию банкротства.
Понятно, что платежеспособность предприятия в данный конкретный период времени является условием необходимым, но недостаточным. Условие достаточности соблюдается только тогда, когда предприятие платежеспособно во времени, т. е. имеет устойчивую платежеспособность отвечать по своим долгам в любой момент времени.
Однако можно ли в этом смысле говорить, что предприятие финансово устойчиво? Ведь погасить прежние долги можно и за счет новых долгов, например кредитов, так и не найдя точки финансового равновесия между собственными и заемными средствами. При этом можно активно пользоваться эффектом финансового рычага, хотя предприятие будет оставаться даже неплатежеспособным, а структура баланса — неудовлетворительной.
Так что же представляет собой финансовая устойчивость предприятия? Под финансовой устойчивостью предприятия, на наш взгляд, следует понимать платежеспособность предприятия во времени с соблюдением условия финансового равновесия между собственными и заемными финансовыми средствами. Точно так же, как необходимо рассчитывать точку безубыточности для каждого предприятия, следует определять и точку финансового равновесия.
Финансовое равновесие представляет собой такое соотношение собственных и заемных средств предприятия, при котором за счет собственных средств полностью погашаются как прежние, так и новые долги. При этом если нет источника для погашения новых долгов в будущем, то устанавливаются определенные граничные условия на использование уже существующих собственных средств в настоящем. Это означает, что размер новых долгов ограничивается размером уже существующих и, следовательно, ожидаемых собственных средств.
Таким образом, рассчитанная по определенным правилам точка финансового равновесия не позволяет предприятию, с одной стороны, увеличить заемные средства, а с другой, нерационально использовать уже накопленные собственные средства.
Следовательно, соблюдение условия финансового равновесия создает нормативную базу для финансовой устойчивости предприятия и его платежеспособности во времени, а также накладывает определенные ограничения на размер его обязательств перед работниками предприятия, кредиторами, бюджетом, банками и инвесторами.
Поэтому для оценки финансовой устойчивости необходим такой критерий, который бы одновременно соединял в себе информацию об активах, капитале и финансовых ресурсах, а финансовое состояние предприятия рассматривалось бы в динамике.
В качестве такого критерия может выступать соотношение между активами и капиталом предприятия на основе определенной группировки. Особое внимание при этом уделяется активам, обеспеченным собственным капиталом. Поскольку речь идет о платежеспособности предприятия исключительно в денежной форме, то в составе имущества в денежной форме следует выделить ту часть, которая зафиксирована в собственном капитале, и ту часть, которая связана с заемным капиталом (см. табл. 3).
Таблица 3
Денежный капитал

Из приведенной таблицы видно, что собственные денежные активы обеспечиваются частью собственного капитала, весь заемный капитал финансируется за счет денежных средств предприятия, а все имущество в неденежной форме является собственным:
СК = ДК + Индф и Идф = ДК + ЗК.
Вследствие этого имущество в денежной форме, финансируемое за счет собственного капитала, представляет собой собственные денежные средства (СДА) предприятия и численно равно денежному капиталу (ДК).
Отсюда вытекает, что анализ финансово-экономического состояния предприятия следует увязывать не столько с движением денежных активов, сколько с движением их собственной составляющей.
4. Индикатор абсолютной платежеспособности.
В качестве индикатора абсолютной платежеспособности, т. е. платежеспособности исключительно в денежной форме, может выступать только денежный капитал (см. табл. 1):
ДК = СДА = СК — Индф = Идф – ЗК = СКдф – ЗКндф.
Прежде всего принимается, что индикатор финансовой устойчивости должен быть величиной неотрицательной, при этом выполняются следующие условия:
ДК > 0,
Идф > ЗК,
СК > Индф или Идф + СК > И.
На практике это означает, что у предприятия остается неотрицательный источник собственных средств в денежной форме для дальнейшего развития, если бы все обязательства и долги были погашены одновременно.
Вместе с тем если при проведении анализа финансовой устойчивости предприятия исходная информация доступна в полном объеме, то нетрудно рассчитать значения и приросты собственного капитала в денежной форме и заемного капитала в неденежной форме. Но если анализу подвергается только бухгалтерский баланс, то достаточно установить разницу между собственным капиталом и всем имуществом в неденежной форме, либо установить разницу между имуществом в денежной форме и всем заемным капиталом. Такие расчеты целесообразно проводить как на начало, так и на конец отчетного периода, включая расчеты приростных значений данных показателей.
Следовательно, расчет индикатора абсолютной платежеспособности на основе формулы денежного капитала дает возможность сначала определить точку финан-сового равновесия, затем судить по знаку индикатора об устойчивости или неустойчивости данного предприятия, а количественное значение данного параметра определяет либо запас устойчивости, либо недостаток собственных средств в денежной форме.
5. Платежеспособность и финансовый рычаг.
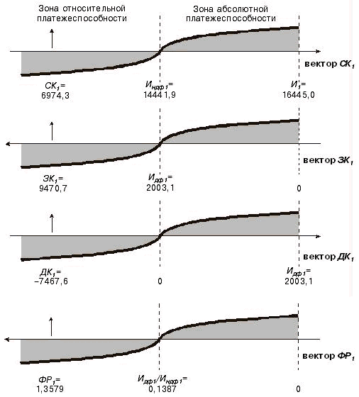
При рассмотрении условия платежеспособности исключительно в денежной форме на конец отчетного периода необходимо установить область изменения абсолютной платежеспособности с минимального до максимального значения, увязав эти граничные значения с величиной собственного капитала и финансовым рычагом как в структуре капитала, так и в структуре активов. Для этого построим шкалу финансовой устойчивости с указанием абсолютной и относительной зоны платежеспособности (см. схему 1 и табл. 2) отдельно для собственного (СК), заемного (ЗК) и денежного (ДК) капитала, а также для финансового рычага (ФР):

Схема 1. Шкала финансовой устойчивости
Из приведенной шкалы финансовой устойчивости видно, что абсолютная платежеспособность имеет место только тогда, когда на конец отчетного периода выполняется ряд условий:
1) собственный капитал изменяется от величины имущества в неденежной форме до всего имущества, а заемный капитал не превышает имущества в денежной форме;
2) денежный капитал является величиной неотрицательной и достигает своего максимального значения – величины всех денежных средств (в этом случае все денежные средства являются собственными);
3) финансовый рычаг в структуре капитала не превышает финансового рычага в структуре активов, поскольку И > СК > Индф и, следовательно,
И/И < И/СК < И/Индф, откуда вытекает важнейшее условие 0 < ЗК/СК < Идф/Индф .
Анализ шкалы платежеспособности показывает, что соблюдение этих условий гарантирует и рост собственного капитала, и рост его рентабельности, а также сохранение зоны повышенной финансовой устойчивости. В свою очередь, несоблюдение данного условия означает, что размер собственного капитала в денежной форме недостаточен для выполнения обязательств, а это приводит к потере финансовой устойчивости и переходу в зону относительной платежеспособности.
Спрашивается, почему структура активов (см. схему 2) является ограничителем финансового рычага в традиционном понимании? Но ответ очевиден — активы обеспечивают платежеспособность предприятия, с одной стороны, и характеризуются собственной и заемной составляющей, с другой стороны.

Схема 2. Факторы, влияющие на финансовую устойчивость
Отсюда видно, что управление финансовым рычагом так или иначе связано с оперативным управлением финансовой устойчивостью. Основная задача — найти не только оптимальное соотношение между собственным и заемным капиталом (финансовый рычаг в структуре капитала), но и создать необходимые условия для оптимального сочетания имущества в денежной и неденежной форме (финансовый рычаг в структуре активов). Только при соблюдении этих условий, гарантируется как повышение рентабельности собственного капитала, так и достижение финансовой устойчивости, поскольку потеря контроля хотя бы над одним из финансовых рычагов может привести к нестабильности финансово-экономического состояния предприятия и ложным выводам о высокой рентабельности собственного капитала при явной недостаточности платежных средств.
6. Собственный капитал и финансовая устойчивость.
Факторный анализ финансовой устойчивости предполагает построение такой цепочки показателей, на основании которой можно судить о финансово-экономическом состоянии предприятия. Для этого собственный капитал предприятия раскладывается на отдельные элементы, каждый из которых может оказывать определенное влияние на результирующий показатель:

Следует отметить, что данная цепочка показателей может составляться для анализа статики и динамики (см. табл. 4). Подставляя в эту формулу данные только на начало или только на конец отчетного периода, а также их приростные значения, будем получать характеристику собственной составляющей имущества на тот или иной период времени.
Важность собственной составляющей имущества объясняется тем, что данное соотношение объективно характеризует достигнутый экономический потенциал для дальнейшего развития, что, при прочих равных условиях, дает оценку и индикатору абсолютной платежеспособности предприятия, и финансовому рычагу как в структуре капитала, так и в структуре активов.
Оценка приведенных показателей однозначно дает понять, что финансовый рычаг в структуре капитала значительно превышает финансовый рычаг в структуре активов (в 4,8 раза на начало и в 9,8 раза на конец отчетного периода), несмотря на уменьшение одного и другого рычага в конце отчетного периода по сравнению с начальными значениями.
Таблица 4
Исходные данные для факторного анализа, тыс. руб.

7. Определение тенденции экономического роста.
С другой стороны, рост собственного капитала полностью зависит от темпов изменения одноименных показателей (Т ), каждый из которых занимает строго определенное место (ранг):
Т СК > Т Идф > Т И > Т Индф > Т ЗК.
Такое расположение темпов роста объясняется тем, что:
1) все имущество должно развиваться наибольшими темпами по сравнению с заемным капиталом, но не так быстро, как собственный капитал:
Т СК > Т И > Т ЗК;
2) темпы роста имущества в денежной форме должны опережать в своем развитии все экономические активы, которые, в свою очередь, должны опережать темпы роста имущества в неденежной форме:
Т Идф > Т И > Т Индф;
3) для достижения абсолютной платежеспособности должно соблюдаться довольно строгое ограничение:
Т СК > Т Индф или Т Идф > Т ЗК.
Отсюда видно, что приведенная цепочка представляет собой нормативную последовательность показателей, каждый из которых имеет свой нормативный ранг, при этом наибольший ранг (1) присваивается собственному капиталу, а наименьший ранг (5) – заемному капиталу. В свою очередь, подставив фактические значения темпов (см. табл. 4), можно оценить по ним и фактические ранги, присвоив наибольшему темпу наибольший ранг (1), а наименьшему темпу – наименьший ранг (5):
нормативный темп Т СК > Т Идф > Т И > Т Индф > Т ЗК
нормативный ранг (R) 1 2 3 4 5
фактический темп 4,476 1,381 3,437 4,331 2,936
фактический ранг (F) 1 5 3 2 4
Для удобства сравнения нормативных рангов с фактическими можно построить шахматную таблицу (см. табл. 5), в которой нормативные ранги располагаются на левой диагонали, а фактические – в соответствии со своими значениями.
Таблица 5
Нормативные и фактические ранги

Анализ такой таблицы показывает, что всякое отклонение фактического ранга от нормативного того или иного показателя дает явное представление об опережении или отставании фактического темпа роста одноименного показателя от его нормативного значения. И хотя нормативные темпы показателей в данной цепочке не устанавливаются (это задача финансово-экономической службы предприятия), последовательные сравнения фактических рангов с нормативными позволяют в упрощенной форме получить представление о финансово-экономическом состоянии предприятия (в нашем примере наглядно иллюстрируется отставание денежных активов и ускоренное развитие неденежных активов, в силу того, что нарушается баланс между финансовым рычагом в структуре капитала и в структуре активов).
8. Условие роста собственного капитала.
Для полноты оценки финансово-экономического состояния предприятия необходимо установить область изменения собственного капитала на конец отчетного периода, определив в этой области точку, начиная с которой темп собственного капитала имеет устойчивую тенденцию к росту (см. схему 3).

Схема 3. Шкала изменения собственного капитала
Из приведенной шкалы видно, что рост темпов собственного капитала будет происходить только тогда, когда выполняется следующее условие: СК0 < СК1 < И1.
Это означает, что собственный капитал на конец отчетного периода находится в зоне устойчивого роста, при этом его величина может меняться от минимального (СК0 ) до максимального (И1 ) значения — в зависимости от величины заемной составляющей имущества и, соответственно, величины финансового рычага. Наоборот, в случае невыполнения данного условия (СК1 < СК0 ) рост собственного капитала существенно замедляется и имеет устойчивую тенденцию к снижению.
Следовательно, для благоприятного развития предприятия, укрепления его финансовой устойчивости и платежеспособности, а также усиления его экономического потенциала необходимо, чтобы собственный капитал всегда находился в зоне устойчивого роста, сглаживая тем самым негативное влияние финансового рычага.
9. Управление финансовой устойчивостью предприятия.
Проанализировав влияние финансового рычага в структуре капитала на платежеспособность и выяснив условия роста собственного капитала, попытаемся воссоединить области платежеспособности и изменения темпов собственного капитала. Для этого на основании данных на конец отчетного периода одновременно покажем влияние заемного капитала и на платежеспособность, и на рост собственного капитала. С этой целью на векторе заемного капитала отметим три точки, которые берутся из анализа платежеспособности и собственного капитала:
· точка А, в которой ЗК1 = 0, а СК1 = И1 ;
· точка В, в которой ЗК1 = Идф1, а СК1 = Индф1 ;
· точка С, в которой ЗК1 = И1 – СК0 , а СК1 = СК0 .
Поскольку точка А является общей и не меняет своего значения, то для иллюстрации взаимосвязи собственного капитала, финансового рычага и финансовой устойчивости необходимо решить вопрос о расположении точек В и С.
Другими словами, речь идет о соотношении собственного и заемного имущества, в денежной и неденежной форме, а следовательно, решается вопрос о выборе того или иного приоритета в развитии предприятия — платежеспособности по сравнению с собственным капиталом или собственного капитала по сравнению с платежеспособностью. Вследствие этого возникают три возможные ситуации:
· ситуация 1, при которой В > С,
· ситуация 2, при которой В = С,
· ситуация 3, при которой В < С.
Ситуация 1 (режим экономии, опора на собственные силы)

Первый вариант экономического развития наиболее наглядно иллюстрирует ситуацию, когда во главу угла ставится обеспечение абсолютной платежеспособности предприятия любой ценой. При этом велика вероятность снижения темпов роста собственного капитала в случае нехватки собственных средств (точка С) и, как следствие, привлечения заемных. В этом смысле опасен участок С—В, поскольку малейшее превышение заемным капиталом (выход за участок А—С) граничного значения неизбежно приводит к снижению темпов роста собственного капитала, хотя платежеспособность предприятия будет оставаться довольно высокой. А поэтому финансовый рычаг в структуре капитала, надежно обеспеченный ликвидными активами (участок А—В), уже не сможет обеспечить рост рентабельности собственного капитала (участок С—В). В силу последнего обстоятельства финансового-экономическая служба предприятия должна постоянно осуществлять контроль общей величины собственного капитала (режим экономии) и следить за тем, чтобы заемный капитал никогда не выходил за рамки участка А—С.
Ситуация 2 (сбалансированный вариант, равновесие)

Второй вариант развития отражает полную сбалансированность и совпадение областей платежеспособности, величины долга и изменения собственного капитала. Действительно, рост собственного капитала на участке А—В(С) полностью сопровождается абсолютной платежеспособностью. При этом темп роста собственного капитала уменьшается с максимальной величины И1 / СК0 до 1, а платежеспособность – с Идф1 до 0. В свою очередь, заемный капитал имеет надежные источники покрытия, а финансовый рычаг (в структуре капитала и в структуре активов) оказывает благоприятное влияние на рентабельность собственного капитала.
Ситуация 3 (рост собственного капитала за счет управления
финансовым рычагом)

Третий вариант развития иллюстрирует наиболее типичную ситуацию, когда рост собственного капитала (участок А—С) сопровождается сначала укреплением платежеспособности (участок А—В), а затем ее снижением (участок В—С) в силу того, что предприятие довольно активно пользуется эффектом финансового рычага в структуре капитала. Это связано с тем, что влияние финансового рычага сначала довольно слабое (участок А—В), несмотря на его величину, поскольку велика обеспеченность собственными источниками в денежной форме. В последующем с нарастанием долга экономический потенциал снижается (участок В—С), что не всегда может привести к желаемой величине рентабельности собственного капитала. Но как только долг достигнет критической величины (точка С), собственный капитал уже не сможет расти. А поэтому необходимо постоянно следить за величиной финансового рычага (особенно на участке В—С).
Из рассматриваемого примера видно, что абсолютная платежеспособность сохраняется до тех пор, пока общая величина заемного капитала на конец отчетного периода не достигнет 2003,1 тыс. руб. (точка В). Темп роста собственного капитала на участке А—В постепенно снижается с максимально возможного 10,554 (в точке А) до 9,269 (в точке В). В дальнейшем происходит постепенное снижение темпа до 1 (точка С), а индикатор абсолютной платежеспособности снижается от 0 до –12 883,8 тыс. руб., поскольку величина общего долга увеличивается с 2003,1 до 14 886,9 тыс. руб. Фактически же из-за высокого финансового рычага в структуре капитала (1,3579) темп роста собственного капитала достигает лишь 4,476, а индикатор снижается до отрицательной отметки (7467,6 тыс. руб.), поскольку финансовый рычаг в структуре активов очень мал (0,1387).
Другими словами, если бы удалось уменьшить величину заемного капитала с 6244,6 до 2003,1 тыс. руб., то предприятие попало бы в начало зоны абсолютной платежеспособности, при этом резко возрос бы и темп роста собственного капитала. Но поскольку этого все же не произошло, предприятие остается в зоне относительной платежеспособности, испытывает серьезные трудности с оборотными средствами, берет в долг кредиты и поэтому не может рассчитывать на существенные изменения собственного капитала, высокую рентабельность, а также благоприятную структуру активов и капитала.
В то же время может быть поставлена и обратная задача – достичь по возможности высокой рентабельности собственного капитала (участок А—В). Это означает, что величина темпа роста собственного капитала теперь полностью зависит от величины финансового рычага в структуре капитала на конец отчетного периода. Поэтому чем меньше этот финансовый рычаг, тем, при прочих равных условиях, выше и рентабельность, и тем прочнее платежеспособность предприятия, т. е. речь идет об управлении собственным капиталом, финансовым рычагом и платежеспособностью в реальном масштабе времени.
Таким образом, приведенные ситуации экономического развития показывают, что рост собственного капитала, платежеспособность и финансовый рычаг являются величинами взаимосвязанными. Малейшее нарушение пропорций между этими показателями неизбежно ведет к ухудшению финансово-экономического состояния предприятия или замедлению его экономического развития. С другой стороны, финансовый рычаг в структуре капитала не может быть беспредельно высоким, как это вытекает из расчета рентабельности собственного капитала. Его влияние порой отрицательно отражается и на платежеспособности, и на росте собственного капитала. А поэтому финансовый рычаг в структуре капитала имеет ограниченное действие, если не пользоваться эффектом финансового рычага в структуре активов.



