Министерство образования и науки Республики Казахстан
Костанайский государственный университет им. А. Байтурсынова
Кафедра биологии и химии
Л. В. Клочко, Ж. Б. Исмаилова
Нуклеиновые кислоты
Методическое указание по биохимии животных для
самостоятельной работы студентов
ветеринарного факультета (Часть 1)
Костанай, 2013
ББК 28.902
К 50
Автор:
Клочко Людмила Васильевна, к. х.н., доцент кафедры биологии и химии
, преподаватель кафедры биологии и химии
Рецензенты:
, кандидат химических наук, доцент кафедры биологии и химии КГУ
Тулебаева Балжан Беисовна, кандидат химических наук, доцент кафедры стандартизации, метрологии и сертификации КИнЭУ
В., Б.
К 50 Методическое указание по дисциплине «Биохимия животных».- Костанай: КГУ им. А. Байтурсынова, 2013. – 31 с.
Методическое указание содержит теоретический материал, устное контрольное задание, индивидуальное домашнее задание, тестовый самоконтроль знаний по теме «Нуклеиновые кислоты» по курсу биохимия животных для студентов ветеринарных специальностей.
ББК 28.902
Утверждено Методическим советом Аграрно-биологического факультета, протокол от ____________ 201_ г. №___
© Костанайский государственный
университет им. А. Байтурсынова, 2013
Содержание
Введение……………………………………………………………………………4
1. Нуклеиновые кислоты, их состав………………………………………………5
2. Химическое строение азотистых оснований, пентоз, фосфорной кислоты…5
3. Нуклеозиды, нуклеотиды РНК, ДНК…………………………………………..6
4. Уравнение реакции образования нуклеотидов, нуклеозидов………………...8
5. Характер связи между нуклеотидами в молекулах кислот…………………...9
6. Структура нуклеиновых кислот………………………………………………..10
7. Нуклеопротеины………………………………………………………………...13
8. Характеристика нуклеиновых кислот, клеток высших организмов………...15
Заключение…………………………………………………………………………18
Устное домашнее задание 1……………………………………………………….19
Письменное индивидуальное домашнее задание 2…………………………..….20
Тестовый самоконтроль знаний…………………………………………………..22
Список использованных источников……………………………………………..31
Введение
В результате длительной эволюции путем естественного отбора появились существующие ныне живые организмы – животные, люди, растения, микроорганизмы. Уникальным свойством живого является его способность производить себе подобных с характерными родительскими признаками. Эта великая загадка природы всегда была одной из важнейших проблем в науке, к решению которой стремились ученые всех стран.
Безусловно, надо полагать, что свойство живого сохранять и передавать наследственные признаки связано с веществами, входящими в его состав.
В живых организмах имеется три типа высокомолекулярных соединений. Это нуклеиновые кислоты, белки и полисахариды. В настоящее время точно установлена функция каждого виды этих биологических молекул. Оказалось, что носителями наследственных свойств, обеспечивающих точное повторение и воспроизведение всех особенностей организма, являются нуклеинов\ые кислоты.
Итак, нуклеиновые кислоты – это наследственное (генетическое) вещество.
Рекомендуемая литература:
1.Профилактика нарушений обмена веществ у сельскохозяйственных животных / Пер. со словац. К. С.Богданова, Г. А.Терентьева; Под ред. А. А.Алиева. – М.: Агропромиздат, 1986.-384 с.
2. Г. Биохимия сельскохозяйственных животных. – М.: Колос, 1984. – 336 с.
3. Биохимия. – Алматы.: Акбар, 2011. – 795 с.
1 Нуклеиновые кислоты, их состав
Нуклеиновая кислота – биологические полимеры, мономерами которых являются нуклеотиды:
n(мононуклеотид) à нуклеиновая кислота.
мономер биологический полимер
низкомолекулярное соединение(НМС) высокомолекулярное соединение (ВМС)
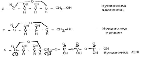
Нуклеотиды - органические соединения, состоящие из остатков трех молекул: азотистого основания (пуринового или пиримидинового), углевода (пентозы), фосфорной кислоты.
Нуклеозиды в отличие от нуклеотидов, построены из остатков молекул двух органических веществ: пуринового и пиримидинового основания и пентозы.
Различают дезоксирибонуклеиновую кислоту ДНК и рибонуклеиновую кислоту РНК.
Химический состав нуклеозидов, нуклеотидов РНК, ДНК в таблице 1, 2.
Если нуклеотиды содержат два остатка молекул фосфорной кислоты, то их сокращенно обозначают АДФ, УДФ, д-ГДФ, если три, то АТФ, ЦТФ.
Нуклеотиды играют важную роль в матаболизме: циклические нуклеотиды являются регуляторами обмена веществ внутри клеток ( ЦАМФ); другие - аккумуляторами энергии в клетке( АТФ); третьи - составной частью коферментов(НАД, ФАД).
Химические строения азотистых оснований, пентоз, фосфорной кислоте приведено рисунок 1, рисунок 2.
Кроме перечисленных азотистых оснований в нуклеиновых кислотах присутствуют в небольших количествах минорные основания: 5-метилцитозин, 6- метиладенин, тиоурация, ацентилцетозин, дигидроурация и другие, всего 60. Особенно много минорных компонентов содержится в транспортных РНК.
2 Химическое строение азотистых оснований, пентоз, фосфорная кислоты. Рис.1 - Важнейшие пять азотистых оснований, входящие в состав нуклеиновых кислот: аденин, гуанин, урацил, тимин и цитозин


Рис.2 - Пентозы (рибозу и дезоксирибозу) приведем в открытом (альдегидной) и
циклической (β-фуранозы) формах
3 Нуклеозиды, нуклеотиды РНК, ДНК
Таблица 1 – Номенклатура нуклеозидов и нуклеотидов
Основание | Нуклеозид | Нуклеотид |
Пуриновые | ||
Аденин | Аденозин | Аденилат, аденозин-5'-монофосфат (АМФ) |
Дезоксиаденозин | Дезоксиаденилат, дезоксиаденозин-5'-монофосфат (dАМФ) | |
Гуанин | Гуанозин | Гуанилат, гуанозин-5'-монофосфат (ГМФ) |
Дезоксигуанозин | Дезоксигуанилат, дезоксигуанозин-5'-монофосфат (dГМФ) | |
Пиримидиновые | ||
Цитозин | Цитидин | Цитидилат, цитидин-5'-монофосфат (ЦМФ) |
Дезоксицитидин | Дезоксицитидилат, дезоксицитидин-5'-монофосфат ((dЦМФ) | |
Тимин | Тимидин | Тимидилат, тимидин-5'-монофасфат (ТМФ) |
Дезокситимидин | Дезокситимидилат, дезокситимидин-5'-монофосфат (dТМФ) | |
Урацил | Уридин | Уридилат, уридин-5'-монофосфат (УМФ) |
Таблица 2 – Нуклеозиды, нуклеотиды РНК.
Нуклеозиды | Нуклеотиды | |||
Состав | Название | Состав | Название | Сокращенное обозначение. |
Аденин-рибоза | Аденозин | Аденин-рибоза-фосфорная кислота | Адениловая кислота | АМФ |
Гуанин-рибоза | Гуанозин | Гуанин-рибоза-фосфорная кислота | Гуаниловая кислота | гмф |
Цитозин-рибоза | Цитидин | Цитозин-рибоза-фосфорная кислота | Цитидйловая кислота | ЦМФ |
Урацил-рибоэа | Уридин | Урацил-рибоза-фосфорная кислота | Уридиловая кислота | УМФ |
Таблица 3 - Нуклеозиды, нуклеотиды ДНК.
Нуклеозиды | Нуклеотиды | |||
Состав | Название | Состав | Название | Сокращенн. обознач. |
Аденин-дезоксирибоза. | Дезоксиаденозин. | Аденин-дезоксирибоза-фосфорная кислота. | Дезокеиадениловая кислота | д-АМФ |
Гуанин-дезоксирибоэа. | Дезоксигуанозин. | Гуанин-дезоксирибоза-фосфорная кислота | Дезоксигуаниловая кислота | д-ГМФ |
Цитозин-дезоксирибоза | Дезоксицитидин. | Цитози-ндезоксирибоза-фосфорная кислота | Деэоксицитидиловая кислота | д-ЦМФ |
Тимин-дезоксирибоза. | Тимидин. | Тимин-деэоксирибоза-фосфорная кислота | Тимидиловая кислота. | д-ТМФ |
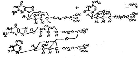
4 Уравнения реакций образования нуклеотидов, нуклеозидов:

Упрощенные Формулы нуклеозидов, нуклеотидов:

Молекулярная масса одного нуклеотида равна в среднем 330
5 Характеристика связи между нуклеотидами в молекулах нуклеиновых кислот

Динуклеотид: ГМФ – ЦМФ
Органические соединения, состоящие из остатков трех нуклеотидов, называют тринуклеотид, четырех - тетронуклеотид, пяти – пентануклеотид, шести-гексануклеотид и т. д. Нуклеотиды соединяются между собой сложно-эфирной связью: остаток молекулы фосфорной кислоты одного нуклеотида соединяется с третьим атомом углерода пентозы другого нуклеотида:

Гексануклеотид
Названия полинуклеотидов могут быть представлены записью:
АМФ - ГМФ - ЦМФ - УМФ - ГМФ - АМФ - …
дАМФ - дГМФ - дЦМФ - дТМФ –дАМФ - …
или
А - Г - Ц - У-Г-А - ...
д (А - Г - Ц - Т-А-А-...)
6 Структура нуклеиновых кислот
Первичная структура нуклеиновых кислот - это четкое, последовательное чередование нуклеотидов в полинуклеотидной цепи. Например, для гексануклеотида возможны следующие изомеры:
ГМФ - ЦМФ - АМФ - АМФ - УМФ - ЦМФ
АМФ - ЦМФ - ГМФ - АМФ - ЦМФ – УМФ
Модель вторичной структуры ДНК разработана в 1953 г. Дж. Уотсоном и Ф. Криком. Вторичная структура ДНК построена из двух полинуклеотидных цепей.
Обе цепи закручены в спираль за счет водородных связей (рисунок 1). Водородные связи образуются между комплементарными основаниями: аденином и тимином (А-Т), гуанином и цитозином (Г-Ц). Между остатком аденина и тимина возникают две водородные связи, а между остатками цитозина и гуанина - три:

Водородные связи возникают между аминогруппой одного основания и карбонильной группой другого, (>NH · · · O = C< ), а также между амидным и
|
имидным атомами азота (>NH · · · N = ). Пуриновые основания, имеющие больший объем, спариваются с пиримидиновыми основаниями с меньшими размерами. В результате этого возникают устойчивые комплементарные пары оснований почти с одинаковыми диаметром двойной спирали по всей длине молекулы ДНК.
Стабилизация двойной спирали ДНК осуществляется за счет гидрофобных сил между основаниями, которые не контактируют с водой.
Кроме нуклеозид-5'-монофосфатов в клетках присутствуют нуклеозид дифосфаты и нуклеозид три фосфаты, которые играют важную роль в живых организмах. В клетках в больших количествах встречается АТФ, в молекулах которого аккумулируется энергия окисления веществ. В процесса гидролиза АТФ на АДФ и фосфорную кислоту высвобождается энергия, которая используется в выполнении функций организма. АТФ в клетках является поставщиком фосфатных групп, выполняет функцию переносчика энергии в биохимических реакциях, участвует в активировании ряда соединений путем фосфорилирования, которые затем могут вступать в реакциях биосинтеза. Значительно в меньших количествах содержатся в клетках ЦТФ, ГТФ, ТТФ, УТФ, являющихся также высокоэнергетическими соединениями. Нуклеозидтрифосфаты являются предшественниками синтеза нуклеиновых кислот, ряда коферментов, циклических нуклеотидов.
Для качественного открытия ДНК в исследуемом материале используют реактив Дише, состоящим из дифениламина, ледяной уксусной кислоты и концентрированной серной кислоты. Материал, содержащий ДНК, нагревают в пробирке с реактивом Дише. После охлаждения развивается синее окрашивание, которое спектрофотометрирует при 595 нм против реактива Дише.
Определение РНК основано на цветной реакции рибозы, входящей в состав РНК с орцином. В пробирке РНК нагревают на водяной бане с орциновым реактивом, состояшим из хлорного железа, орцина и соляной кислоты. После охлаждения жидкость окрашивается в синевато-зеленый цвет. Интенсивность окраски измеряют при 670 нм и по калибровочной кривой, построенной из чистой РНК, определяют концентрацию РНК в исследуемом материале.
Полинуклеотидные цепи во вторичной структуре ДНК ориентированантипараллельно: направление одной полинуклеотидной цепи обозначается 5' → 3', а другой – 3' → 5':
Рис. 3. - Фрагмент молекулы ДНК В-формы ДНК на плоскости, а не в виде двойной спирали, как
обычно существует в организмах. Из рисунка четко видно взаимное расположение
компонентов каждой цепи и двойной спирали в целом.
Таким образом, соотношение в ДНК азотистых оснований подчиняется закономерностям, которые получили название правила Э. Чаргаффа: молярное содержание аденина равно молярному содержанию тимина (
или
); молярное содержание гуанина.

Рис.4 - Вторичная структура ДНК
Рис.5 - Полная нуклеотидная последовательность молекулы фенилаланиновой тРНК и ее вторичная структура в форме клеверного листа.
G – Г (гуанин)
C – Ц (цитозин)
U – У (урацил)
Молярному содержанию цитозина (Г=Ц, или Г/Ц-1).
По особенностям структуры и функции различают три типа РНК: рибосомы - р-РНК, транспортные - т-РНК, матричные (информационные) - м-РНК (и-РНК). Вторичная структура молекул РНК в отличие от ДНК представлена одной полинуклеотидной цепью, частично спирализованной. Участки спирали образуется за счет водородных связей между комплементарными основаниями - аденином и урацилом (А-У).гуанином и цитозином (Г-Ц).

урацил аденин
Спирализованные участки могут содержать до 20-30 остатков нуклеотидов. Вторичная структура т-РНК имеет форму «клеверного листа» (рисунок 5). В модели вторичных структур и-РНК, р-РНК спирализованные участки (шпильки) чередуются с линейными (рисунок 6).
Три вида РНК синтезируются в ядре на ДНК под действием РНК – полимераз, каждый вид РНК выполняет специфическую роль в биосинтезе белков. Рибосомные РНК (р-РНК) в месте с белками комплектуют рибосомы, являющиеся белоксинтезирующим аппаратом клеток. Информационная или матричная РНК (и-РНК или м-РНК) приносят информацию из ядра от ДНК для синтеза белка в цитоплазме, а транспортные РНК (т-РНК) переносят активированные аминокислоты к месту синтеза белка – к рибосомам с мРНК.
7 Нуклеопротеины
Нуклеиновые кислоты, кроме т-РНК, в клетке находятся в виде нуклеопротеинов-соединений с белками основного характера (гистонами). Взаимодействие ДНК с гистонами происходит за счет образования ионных связей отрицательно заряженных фосфатов с положительно заряженными аминокислотными остатками гистонов.

остаток молекулы полинуклеотида остаток молекулы белка

нуклеопротеин
Главные нуклеопротеины организма - это рибосомы (рибонуклеопротеин PHК) и хромосомы, (дезоксирибонуклеопротеин ДНП).
Рибосомы - органеллы клетки диаметром 15-35 нм, в которых происходит биосинтез белков. В клетке их содержится по нескольку тысяч. Рибосомы находятся в свободном состоянии в клеточном соке или связаны с мембранами эндоплазматической сети. Рибосомы могут быть также в ядре митохондриях. Рибосома составлена, из двух частей малой и большой субъединиц (рисунок 7). Большая субъединица состоит из трех молекул р-РНК и 35 молекул белков, малая из одной молекулы р-РНК и 20 молекул белков. Каркасом рибосом служат молекулы р-РНК. В каркасе спирализованные участки (шпильки) молекул р-РНК чередуются с аморфными. В спирализации участвует около 2/3 р-РНК. На каркас накатываются молекулы белков. Белки рибосом связаны с аморфными участками. Белки рибосом выполняют роль катализаторов в процессе биосинтеза.
Хромосомы - органоиды клеточного ядра, ответственные за хранение и передачу наследственной информации.
Примерно 2/3 массы хромосом составляют белки (гистоны), 1/3-ДНК, до 10% содержат РНК.
Содержание ДНК в ядрах постоянно. В ядре любой клетки человека (кроме половых) содержится 6,6*1012 ДНК. В ядрах половых клеток (яйцах, сперматозоидах) содержится вдвое меньше ДНК 3,3*1012. Структура хромосомы изображена на рисунке 5.
Цикл изменения хромосом (спирализованное или деспирализованное состояние) связан с образованием или раскручиванием вторичной структуры ДНК.
8 Характеристика нуклеиновых кислот, клеток высших организмов
Таблица 4 - Характеристика нуклеиновых кислот клеток высших организмов
Тип нук леиновой кислоты | Молекулярная масса | Число нуклео тидов в молекуле | Форма вторичной структуры молекулы | Содержание в клетке, в % | Локализа-ция в клетке | Функция |
1 | 2 | 3 | 4 | 5 | 6 | 7 |
ДНК | 1011 | 12500- 25000 | Двойная спираль | 97-99% всей ДНК | Ядро, мито хондрии | Хранение генетической информаций и участие в передаче родительской ДНК при делении клетки или в. передаче РНК в процессе жизнедеятельности |
и-РНК | 40 000- 1200 000 | 75- 3000 | вытянутая | 2-6 % от общего количества | Ядро - цито плазма | Является копией участка ДНК, |
полипептидной цепи белка. | ||||||
т-РНК | 25000- 30000 | 70 – 90 | «Клевер ный лист» | 10-20% суммарной РНК клетки | Гиало плазма, рибосомы, митохон дрии. | Участвует, в транспорте аминокислот к рибосомам и сборке из аминокислот полипептидов на рибосомах. |
р-РНК | Три вида р-РНК А) 1,5 млн ( 28) Б) 700тыс (18) В) 30тыс (5) | 4.000 2.000 100 | компактная | 80% всей РНК | Рибосомы, цитоплазмы, митохондрии | Образуют скелет рибосом цитоплазмы (или митохондрий),который окутывается белками рибосом. Играет вспомогательную роль при сборке белка на рибосомах. |

Рис.6 - А - вторичная структура иРНК. Б - вторичная структура рРНК человека.



Рис. 7 - Строение рибосомы. Большая (А) и малая (Б), субчастицы рибосомы (В).

Рис.8 - Строение участка хромосомы
1. Двойная спираль ДНК, намотанная на бусину белок, состоит из 150 нуклеотидов;
2. Бусинка - белок, состоящий из 8 молекул гистонов;
3. Нуклеосома – структурная единица хромосомы;
4. Нуклеосомная нить хромосомы.
Носителем генетической информации в хромосомах является молекула ДНК. Ген - это участок молекулы ДНК, содержащий, информацию, о первичной структуре белка или молекул и-РНК, т-РНК, р-РНК. Выдача генетической информации осуществляется, когда ДНК находится в деспирализованном состоянии.
Заключение
Нуклеиновые кислоты – биологические полимеры, состоящие из мономеров нуклеотидов.
Нуклеиновая кислота, состоящая из многих дезоксирибонуклеотидов, называется дезоксирибонуклеотиновой кислотой (ДНК), а если она образована из остатков рибонуклеотидов, то называется рибонуклеиновой кислотой (РНК).
ДНК является носителем наследственных свойств, которая обеспечивает хранение, точное повторение и воспроизводство всех особенностей живых организмов. Причем генетическая информация реализуется не прямо самой ДНК, а через посредство различных РНК: мРНК, рРНК. Три вида РНК синтезируются в ядре на ДНК под действием ферментов РНК-полимераз. Каждый вид РНК выполняет специфическую роль в биосинтезе белков. Рибосомная РНК с белками комплектует рибосомы, являющиеся белоксинтезирующим аппаратом клетки. Синтез белка протекает по схеме ДНК → мРНК → белок (первичная структура) → биологическая работа молекулы. Белки являются теми структурами, через которые проявляются все генетические свойства организма.
В основе передачи генетической информации по данной схеме лежит принцип комплементарности, согласно которому между аденин – урацил, аденин – тимин, гуанин – цитозин образуются водородные связи.
Такая комплементорность имеет существенное значение в хранении и передаче наследственных свойств организма.
Устное домашнее задание
Вопросы для устного задания 1
1. ДНК, химический состав, молекулярное строение, свойства.
2. Биосинтез ДНК, репликация.
3. Химическая природа гена.
4. РНК, химический состав, структура, свойства.
5. Биосинтез РНК.
6. Виды РНК.
7. Рибосомальная РНК и структура рибосомы.
8. Информационная РНК, транспортная РНК, строение и функция.
9. Транскрипция.
10. Понятие о генетическом коде. Кодоны
11. Мутация и ее виды.
Номера контрольных заданий 2 (письменное)
Буквы алфавита | Номера задач | |||
А Р | 1 | 16 | 31 | 46 |
Б С | 2 | 17 | 32 | 47 |
В Т | 3 | 18 | 33 | 48 |
Г У | 4 | 19 | 34 | 49 |
Д Ф | 5 | 20 | 35 | 50 |
Е Х | 6 | 21 | 36 | 51 |
Ж Ц | 7 | 22 | 37 | 52 |
З Ч | 8 | 23 | 38 | 53 |
И Ш | 9 | 24 | 39 | 54 |
К Щ | 10 | 25 | 40 | 55 |
Л Ь | 11 | 26 | 41 | 56 |
М Ы | 12 | 27 | 42 | 57 |
Н Э | 13 | 28 | 43 | 58 |
О Ю | 14 | 29 | 44 | 59 |
П Я | 15 | 30 | 45 | 60 |
Письменное индивидуальное домашнее задание 2
Задание 1. Напишите уравнения реакций образования следующих нуклеозидов:
1. аденозин;
2. уанозин;
3. цитидин;
4. уридин;
5. дезоксиаденозин;
6. дезоксигуанозин;
7. дезоксицитидин;
8. тимидин;
9. содержащего урацил;
10. содержащего тимин;
11. имеющего рибозу;
12. имеющего дезоксирибозу;
13. включающий аденин;
14. включающий гуанин;
15. нуклеозид ДНК.
Задание 2. Напишите уравнения реакций образования нуклеотидов:
16. тимидиновая кислота;
17. дезоксицитидиловая кислота;
18. дезоксигуанилова кислота;
19. дезоксиадениловая кислота;
20. уридиловая кислота;
21. цитидиловая кислота;
22. гуаниловая кислота;
23. адениловая кислота;
24. АДФ;
25. АТФ;
26. ГМФ;
27. УМФ;
28. д. ЦМФ;
29. д. ТМФ;
30. д. ГТФ
Задание 3. Напишите уравнения реакций образования полинуклеотидов из
следующих мононуклеотидов:
31. АМФ, ЦМФ, УМФ;
32. ГМФ, ГМФ, ЦМФ;
33. д. АМФ, д.ЦМФ, д.ТМФ;
34. ГМФ, ЦМФ, УМФ;
35. ЦМФ, ЦМФ, УМФ;
36. ЦМФ, ЦМФ, АМФ;
37. д. ЦМФ, д.ТМФ, д.АМФ;
38. д. ТМФ, д.АМФ, д.ГМФ;
39. ГМФ, ЦМФ, ГМФ;
40. д. ТМФ, д.ТМФ, д.ГМФ;
41. УМФ, УМФ, АМФ;
42. д. АМФ, д.АМФ, д.ТМФ;
43. д. АМФ, д.ГМФ, д.ТМФ;
44. ЦМФ, ГМФ, УМФ;
45. д. ГМФ, д.ТМФ, д.ЦМФ.
Задание 4. Напишите формулы изомерных полинуклеотидов с различной
первичной структурной :
46. тетрануклеотид;
47. гексануклеотид;
48. пентануклеотид;
49. октануклеотид;
50. тринуклеотид ДНК;
51. гептануклеотид ДНК;
52. декануклеотид;
53. тетрануклеотид, содержащий д. ТМФ;
54. тринуклеотид РНК;
55. пентануклеотид ДНК;
56. нонануклеотид;
57. гептануклеотид:
58. тетрануклеотид РНК;
59. гексануклеотид ДНК;
60. октанонуклеотид, содержащий УМФ.
Тестовый самоконтроль знаний
1. К какой группе соединений относятся нуклеиновые кислоты?
А) биополимеры;
В) α- аминокислоты;
С) мономеры;
D) низкомолекулярные вещества;
Е) углеводы.
2. Мономер нуклеиновых кислот:
А) нуклеотид;
В) моносахарид;
С) α- аминокислота;
D) первичный амин;
Е) карбоновая кислота.
3. Мононуклеотиды – составная часть молекул:
А) нуклеиновой кислоты, кофермента;
В) гликопротеина, фосфолипида;
С) гемоглобина, лецитина;
D) липопротеина, кефалина;
Е) гомополисахарида, гепарина.
4. Из остатков каких молекул состоит нуклеотид?
А) аланин, глюкоза, серная кислота;
В) аденин, рибоза, фосфорная кислота;
С) урацил, дезоксирибоза, азотная кислота;
D) валин, фруктоза, угольная кислота;
Е) глицерин, жирная кислота, фосфорная кислота.
5. Из остатков каких молекул состоит нуклеозид?
А) α- аминокислота, амин;
В) пиримидиновое основание, фосфорная кислота;
С) жирная кислота, глицерин;
D) кетокислота, глюкоза;
Е) пуриновое основание, рибоза.
6. Чем отличается нуклеозид от нуклеотида?
А) отсутствием остатка молекулы фосфорной кислоты;
В) наличием остатка молекулы глюкозы;
С) отсутствием остатка молекулы пентозы;
D) наличием остатка молекулы α- аминокислоты;
Е) наличием остатка молекулы глицерина.
7. Какие элементы обязательны для молекул нуклеиновых кислот?
А) сера, хлор;
В) кислород, натрий;
С) фосфор, азот;
D) барий, стронций;
Е) мышьяк, водород.
8. Укажите пуриновое основание нуклеиновых кислот:
А) аденин;
В) тимин;
С) цитозин;
D) урацин;
Е) этиламин.
9. Какое пиримидиновое основание является составной частью РНК?
А) урацил;
В) аденин;
С) гуанин;
D) тимин;
Е) диметиламин.
10. Какое пиримидиновое основание не входит в состав ДНК?
А) урацин;
В) тимин;
С) цитазин;
D) аденин;
Е) гуанин.
11. Укажите гетероциклическое соединение РНК:
А) урацил;
В) тимин;
С) пиррол;
D) галактоза;
Е) дезоксирибоза.
12. Какие азотистые соединения являются общими для ДНК и РНК?
А) цитозин, тимин;
В) урацил, гуанин;
С) тимин, аденин;
D) урацил, цитазин;
Е) аденин, гуанин.
13. Производные пурина:
А) аденин, гуанин;
В) аденин, цитозин;
С) гуанин, цитозин;
D) цитозин, урацил;
Е) тимин, урацил.
14. Пиримидиновые основания:
А) аденин, гуанин;
В) аденин, цитозин;
С) гуанин, цитозин;
D) тимин, цитозин, урацил;
Е) тимин, урацил, гуанин.
15. В составе ДНК нет азотистого основания:
А) урацил;
В) тимин;
С) цитозин;
D) гуанин;
Е) аденин.
16. Производные пиримидина в составе ДНК:
A) аденин, гуанин;
B) урацил, гуанин;
C) гуанин, цитозин;
D) тиамин, цитозин;
Е) аденин, тиамин.
17. Производные пурина в составе ДНК:
A) аденин, тимин;
B) урацил, гуанин;
C) аденин, урацил;
D) гуанин, цитозин;
E) аденин, гуанин.
18. Какой углевод нуклеиновых кислот содержит меньшее количество гидроксильных групп?
А) дезоксирибоза;
В) рибоза;
С) глюкоза;
D) галактоза;
Е) мальтоза.
19. Какой углевод входит в состав РНК:
А) дезоксирибоза;
В) глюкоза;
С) рибоза;
D) сахароза;
Е) лактоза.
20. Какой углевод принимает участие в построении молекул ДНК?
А) глюкоза
В) галактоза
С) дезоксирибоза
D) фруктоза
Е) рибоза.
21. В составе ДНК моносахарид:
А) рибоза;
В) ксилоза;
С) рибулоза;
D) дезоксирибоза;
Е) арабиноза.
22. В составе РНК моносахарид:
А) рибоза;
В) ксилоза;
С) рибулоза;
D) дезоксирибоза;
Е) арабиноза.
23. Какая неорганическая кислота обнаруживается в гидролизате ДНК?
А) угольная;
В) серная;
С) фосфорная;
D) азотная;
Е) уксусная.
24. Нуклеозиды РНК:
А) уридин, аденозин;
В) гуанозин, тимидин;
С) дезоксиаденозин, цитидин;
D) тимидин, дезоксицитидин;
Е) аденозинтрифосфат, гуаниловая кислота.
25. Нуклеозид РНК:
А) гуанин - дезоксирибоза;
В) тимин - пентоза - фосфорная кислота;
С) аденин - рибоза;
D) урацил - рибоза – серная кислота;
Е) цитозин – глюкоза.
26. Из остактков каких молекул построены мононуклеотиды РНК?
А) дезоксирибоза, тимин, фосфорная кислота;
В) глюкоза, аденин, серная кислота;
С) урацил, фосфорная кислота, рибоза;
D) фруктоза, угольная кислота, гуанин;
Е) галактоза, уксусная кислота, цитозин.
27. Укажите нуклеотиды ДНК:
А) ТМФ, ГМФ;
В) УМФ, АМФ;
С) ЦМФ, УМФ;
D) УМФ, ГМФ;
Е) ГТФ, ЦТФ.
28. Нуклеотиды ДНК:
А) тимидиловая кислота, дезоксигуаниловая кислота;
В) цитидиловая кислота, адениловая кислота;
С) аденозинтрифосфат, стеариновая кислота;
D) гликохолевая кислота, аскорбиновая кислота;
Е) пантотеновая кислота, олеиновая кислота.
29. Нуклеотид РНК:
А) тимин;
В) тимидиловая кислота;
С) уридиловая кислота;
D) линолевая кислота;
Е) цитозин.
30. Укажите фрагмент молекулы нуклеотида ДНК:
А) цитозин - глюкоза - фосфорная кислота;
В) аденин - дезоксирибоза - фосфорная кислота;
С) урацил - рибоза - фосфорная кислота;
D) гуанин - рибоза - фосфорная кислота;
Е) аденин - рибоза - серная кислота.
31. АМФ – это…
А) нуклеозид ДНК;
В) нуклеотид РНК;
С) биополимер нуклеиновых кислот;
D) мономер белка;
Е) мономер гомополисахарида.
32. Из остатков каких молекул состоит тетрануклеотид РНК?
А) ГМФ - ТМФ - АМФ-ЦМФ;
В) АЛА - ГИС - ВАЛ-ЦИС;
С)АМФ-ГМФ- УМФ-ЦМФ;
D) аденин - дезоксирибоза - фосфорная кислота- фосфорная кислота;
Е) глицерин - карбоновая кислота - фосфорная кислота - серин.
33. ТМФ – это…
А) биополимер ДНК;
В) нуклеозид РНК;
С) нуклеотид ДНК;
D) кофермент;
Е) апофермент.
34 Мононуклеотид состоит из:
А) азотистого основания + сахар;
В) азотистое основание + пентоза+ фосфорная кислота;
С) азотистое основание +фосфорная кислота;
D) пентоза + фосфорная кислота;
Е) азотистых оснований.
35. Как называется остаток адениловой кислоты?
А) аспартат;
B) аскорбат;
C) аконитат;
D) аденилат;
E) ацетат.
36. Первичная структура нуклеиновых кислот определяется …
А) расположением нуклеозидов в полинуклеотидной цепи;
В) последовательным расположением остатков молекул α- аминокислот в цепи биополимера;
С) последовательным расположением остатков молекул нуклеотидов в полинуклеотидной цепи;
D) чередованием пуриновых и пиримидиновых оснований в полинуклеотидной цепи;
Е) чередованием дезоксирибозы и рибозы в цепи биополимеров.
37. Форма вторичной структуры т-РНК:
А) клеверный лист;
В) эллипсоидная;
С) цилиндрическая;
D) шарообразная;
Е) линейная.
38. Какая химическая связь участвует в образовании первичной структуры нуклеиновых кислот?
А) сложноэфирная;
В) пептидная;
С) ионная;
D) простая эфирная;
Е) гидрофобная.
39. Химическая связь в гексануклеотиде ДНК:
А) пептидная;
В) водородная;
С) сложноэфирная;
D) ионная;
Е) простая эфирная.
40. Тип связи, участвующий в образовании первичной структуры РНК:
А) ионная;
В) гидрофобная;
С) водородная;
D) пептидная;
Е) сложноэфирная.
41. Какая химическая связь участвует в образовании вторичной структуры нуклеиновых кислот?
А) водородная;
В) пептидная;
С) сложноэфирная;
D) ионная;
Е) гидрофобная.
42. Типы связей в нуклеиновых кислотах:
А) N-гликозидная, дифосфоэфирная;
В) пептидная, ионная;
С) сложноэфирная;
D) простая эфирная;
Е) дисульфидная.
43. Какая кислота является двухцепочечным полимером
А) ДНК;
В) РНК;
С) аскорбиновая кислота;
D) пантотеновая кислота;
Е) олеиновая кислота.
44. Какая кислота является одноцепочечным полинуклеотидом?
А) РНК;
В) ДНК;
С) ДНК и РНК;
D) линолевая кислота;
Е) аскорбиновая кислота.
45. Какие нуклеиновые кислоты отличаются сравнительно невысокими значениями молекулярных масс?
А) рРНК;
В) иРНК;
С) тРНК;
D) ДНК;
Е) ДНК и рРНК.
46. Нуклеопротеины РНК являются составной частью:
А) хромосом;
В) рибосом;
С) мембран;
D) митохондрий;
Е) цитоплазмы.
47. Нуклеопротеины ДНК являются составной частью:
А) мембран;
В) митохондрий;
С) хромосом;
D) цитоплазмы;
Е) рибосом.
48. Какое соединение содержится в ядрах клеток?
А) т-РНК;
В) ДНК;
С) р-РНК;
D) олеиновая кислота;
Е) лецитин.
49. Дезоксирибонуклеопротеиды локализуются:
A) цитоплазме;
B) рибосомах;
C) межмембранном пространстве;
D) клеточном ядре;
Е) эндоплазматическом ретикулуме.
50. Какая молекула нуклеотида выполняет роль аккумулятора энергии в клетке?
А) цАМФ;
В) НАД;
С) АТФ;
D) КоА - SH;
Е) ПВК.
51. Укажите нуклеотид, выполняющий роль регулятора обмена веществ в клетках:
А) АТФ;
В) цАМФ;
С) УДФ;
D) ПВК;
Е) НАД.
52. Какое соединение является носителем генетической информацией в хромосомах?
А) рРНК;
В) тРНК;
С) ДНК;
D) кефалин;
Е) гепарин.
Список использованных источников
1 П., Н. Биохимия. –М.: Дрофа, 2008. – 639 с.
2 Биохимия. – Алматы.: Акбар, 2011. – 795 с.
3 Ю., В. Биохимия животных. – СПб.: Лань, 2004.- 384 с.
4 Д. Дэвидсон. Биохимия нуклеиновых кислот. М.: Мир, 1976. - 347-383 с.
5 А. Я.Николаев. «Биологическая химия».М.: Высшая школа, 1989. - 92-135 с.
6 Е. А.Строев. «Биологическая химия», М.: Высшая школа, 1986. - 69-83 с.
7 В. А.Чечеткин Биохимия животных. М.: Высшая школа, 1982. - 107-121 с.
8 А. А.Анисимов. Основы биохимии. М.: Высшая школа, 1986. - 178-237 с.
9 А. С.Спирин. Молекулярная биология. Структура и биосинтез нуклеиновых кислот. М.: Высшая школа, 1990. – 144-196 с.
Основные порталы (построено редакторами)

