Содержание:
Введение. 3
1 Понятие и состав эксплуатационных расходов. 4
2 Виды эксплуатационных затрат на пожарную безопасность. 8
3 Экономическая оценка эффективности затрат на обеспечение пожарной безопасности 11
Заключение. 17
Список используемой литературы. 18
Введение
За средства безопасности нужно платить, а за экономию на них - расплачиваться. Но, как правило, отечественные предприниматели стараются минимизировать затраты на противопожарные мероприятия, ибо надеются на русский «авось» либо считают требования правил пожарной безопасности необоснованно жесткими. В то же время известно, что не менее половины фирм-производителей в США, Великобритании и других государствах прекращают существование в течение короткого времени после пожаров. Причина тому — большая конкуренция. За рубежом требования к противопожарной защите производства, зачастую, жестче, чем в России, но те, кто их выполняет, надежно защищены от «красного петуха» и при этом не разоряются. Хотя опыт развитых стран, непосредственно, не применим в наших условиях, свое отношение к противопожарной защите следовало бы рассматривать, учитывая мировой опыт. Задача оснащения производства противопожарным оборудованием с большими затратами (и при этом с высокой надежностью) вполне решаема. В качестве иллюстрации скажем, что в некоторых странах до 30-40% пожаров ликвидируется в начальной стадии, при помощи первичных средств пожаротушения, прежде всего, огнетушителей, в то время как, в России эта цифра, приблизительно, впятеро меньше. Мораль: приобретя надежное противопожарное оборудование и научив своих сотрудников пользоваться ими, можно существенно снизить вероятность возникновения пожара со всеми его последствиями.
1 Понятие и состав эксплуатационных расходов
Эксплуатационные расходы - расходы на содержание и эксплуатацию оборудования и других рабочих мест, зданий и сооружений, помещений, используемых для производственной и коммерческой деятельности
Эксплуатационные расходы – это текущие затраты, непосредственно связанные с выпуском продукции за определенный период (месяц, квартал, год). Они складываются из расходов на заработную плату, отчислений на социальное страхование, расходов на топливо, электроэнергию, материалы, прочих затрат, в том числе амортизационных отчислений от стоимости основных фондов[1].
Эксплуатационные расходы зависят от количества эксплуатируемых объектов, времени их работы и удельных расходов на 1 станко-час работы.
Расходы на содержание и эксплуатацию оборудования могут определяться различными способами:
-либо пропорционально заработной плате основных рабочих
-либо пропорционально коэффициенту машино-часы, т. е. исходя из затрат на 1час работы станка принятого за базу.
Эксплуатационные расходы всех отраслей хозяйства и входящих в их состав предприятий планируют и учитывают по единой номенклатуре статей.
Расходы на содержание и эксплуатацию оборудования включают в себя:
- Амортизация оборудования и транспортных средств,
- Текущий уход и ремонт оборудования,
- Энергетические затраты на оборудование,
- Услуги вспомогательных производств по обслуживанию оборудования и рабочих мест,
- Заработная плата и отчисления на социальные нужды рабочих, обслуживающих оборудование,
- Расходы на внутризаводские перевозки материалов, полуфабрикатов, готовой продукции,
- Прочие расходы, связанные с использованием оборудования.
Эксплуатационные расходы классифицируют на основные и общехозяйственные, прямые и косвенные, зависящие и не зависящие от размеров движения.
К основным относят расходы, непосредственно вызываемые процессом перевозок, к общехозяйственным – расходы по обслуживанию производства и руководству хозяйством.
Основные расходы, в свою очередь, подразделяют на расходы, специфические для каждой отрасли хозяйства, и расходы, общие для всех отраслей хозяйства. Например, специфическими основными расходами для вагонного хозяйства являются затраты на текущий и деповской ремонт грузовых вагонов и др.
К основным расходам, общим для всех отраслей хозяйства, относятся: транспортные расходы (в доле, относящейся к материалам, израсходованным на производственные и хозяйственные нужды); оплата труда производственного персонала за непроработанное время (оплата отпусков, время выполнения государственных обязанностей, время вынужденного прогула, выплаты работникам, высвобождаемым с предприятий и организаций в связи с их реорганизацией, сокращение численности работников и др.); скидка со стоимости форменной одежды, выданной производственному персоналу; отчисления на социальные нужды производственного персонала; затраты по охране труда и производственной санитарии; расходы на инвентарь и др.
Общехозяйственные расходы подразделяют на общехозяйственные расходы без затрат на содержание аппарата управления и расходы на содержание аппарата управления. К общехозяйственным расходам без расходов на содержание аппарата управления относят затраты по содержанию персонала, не относящегося к аппарату управления (затраты на оплату труда персонала производственных участков, цехов и других специалистов, освобожденных бригадиров); обслуживанию и текущему ремонту зданий, сооружений и инвентаря общехозяйственного назначения; амортизация основных фондов общехозяйственного назначения, отчисления в резерв на создание ремонтного фонда; отчислениям на выполнение научно-исследовательских и опытно-конструкторских работ общеотраслевого значения, отчислениям в инвестиционный фонд, платежи по кредитам банков и др. К расходам на содержание аппарата управления относят затраты на оплату труда, командировки и прочие расходы (отчисления на социальные нужды, материальные затраты, амортизация и отчисления в резерв на капитальный ремонт легковых автомобилей и гаражей для них и др.).
Прямыми называют расходы, связанные с выработкой определенной продукции или выполнением конкретного вида работы и поэтому непосредственно (прямым способом, без дополнительных расчетов) относимые на тот или иной вид продукции или работы.
Косвенные расходы – это расходы, относимые на несколько видов продукции и распределяемые на тот или иной вид продукции или работы не прямым путем, а в результате дополнительных расчетов.
К зависящим относят расходы, которые изменяются прямо пропорционально объему работы. Расходы, мало зависящие от объема работы, принято условно относить к независящим (условно постоянным).
Выше названная классификация используется в основном для анализа расходов. Для учета и планирования расходы по перевозкам группируют по экономическим элементам. Эксплуатационные расходы состоят из следующих элементов затрат: затраты на оплату труда, отчисления на социальные нужды, расходы на материалы и прочие материальные затраты, топливо, энергию, амортизацию основных фондов, отчисления в ремонтный фонд, прочие затраты.
По элементу “Затраты на оплату труда” отражают расходы на оплату труда основного производственного персонала предприятия, а также затраты на оплату труда на состоящих в штате предприятия работников, занятых в эксплуатационной деятельности.
По элементу “Отчисления на социальные нужды” отражают обязательные отчисления на государственное социальное страхование, в пенсионный фонд, фонд социального страхования, на медицинское страхование работников.
В затратах на материалы учитывают стоимость покупных материалов, используемых в процессе производства продукции (работ, услуг), на содержание и ремонт оборудования, зданий и сооружений, а также стоимость запасных частей для ремонта машин и оборудования, износ спецодежды и инвентаря и др.
В затратах на топливо отражают стоимость приобретенного топлива всех видов, расходуемого на работу оборудования, отопление зданий и другие технологические цели.
В затратах на энергию учитывают стоимость всех видов покупной энергии (электрической, тепловой, сжатого воздуха и др.), расходуемой на технологические, энергетические, осветительные и другие производственные нужды предприятия.
По элементу “Амортизация основных фондов” планируют и учитывают амортизационные отчисления на полное восстановление основных фондов исходя из их балансовой стоимости и установленных норм.
К прочим расходам относят налоги, сборы, отчисления в специальные внебюджетные фонды, платежи по обязательному страхованию имущества предприятия, платежи по кредитам, затраты на командировки, подъемные, плату посторонним предприятиям за пожарную и сторожевую охрану, за подготовку и переподготовку кадров, оплату услуг связи, вычислительных центров, банков, отчисления в резерв на создание ремонтного фонда и др.
2 Виды эксплуатационных затрат на пожарную безопасность
Главным нормативным документом в области пожарной безопасности является Федеральный закон от 21 декабря 1994 г. N 69-ФЗ "О пожарной безопасности". Обязанности предприятий и организаций по обеспечению пожарной безопасности регламентируются ст. 37 этого документа. Достаточно, чтобы администрация предприятия и лица, ответственные за пожарную безопасность, были знакомы с требованиями тех документов, которые действуют в «их» отрасли.
Остановимся на некоторых положениях Правил пожарной безопасности, введенных в действие Приказом МВД РФ от 14 декабря 1993 г. N 536" - наиболее «всеобъемлющего» документа. Они распространяются на все отрасли и предприятия независимо от организационно-правовой формы и формы собственности.
В настоящее время организация внутреннего учета расходов регулируется нормами налогового кодекса, в частности, главой 25 «Налог на прибыль организаций». Согласно п. 6 ст. 264, к просим расходам относятся расходы на обеспечение пожарной безопасности налогоплательщика в соответствии с законодательством Российской Федерации, расходы на содержание службы газоспасателей, расходы на услуги по охране имущества, обслуживанию охранно-пожарной сигнализации, расходы на приобретение услуг пожарной охраны и иных услуг охранной деятельности, а также расходы на содержание собственной службы безопасности по выполнению функций экономической защиты банковских и хозяйственных операций и сохранности материальных ценностей (за исключением расходов на экипировку, приобретение оружия и иных специальных средств защиты).
При этом в себестоимость следует включать только те расходы, которые вписываются в требования законодательства РФ в области пожарной безопасности. Нормы этого законодательства требуют, чтобы на каждом предприятии приказом (инструкцией) должен быть установлен соответствующий противопожарный режим и отработана общеобъектовая инструкция о мерах пожарной безопасности и инструкции для всех взрывопожароопасных и пожароопасных помещений (участков, цехов, складов, мастерских, лабораторий и др.), должен быть установлен «порядок (система) оповещения людей о пожаре». Руководитель предприятия должен определить обязанности должностных лиц по обеспечению пожарной безопасности, назначить ответственных за пожарную безопасность отдельных зданий, сооружений, помещений, участков и т. п., технологического и инженерного оборудования, а также за содержание и эксплуатацию средств противопожарной защиты. Все это надлежит отразить в функциональных обязанностях, инструкциях, положениях и прочих «внутренних» документах. За ответственность персоналу необходимо доплачивать вознаграждение.
Затраты также могут быть связаны с тем, что необходимо:
- Во всех производственных, административных, складских и вспомогательных помещениях на видных местах повесить таблички с указанием номера телефона вызова пожарной охраны.
- На каждом предприятии приказом (инструкцией) следует установить соответствующий их пожарной опасности противопожарный режим (определить и оборудовать места для курения; порядок уборки горючих отходов и пыли, хранения промасленной спецодежды; порядок обесточивания электрооборудования; порядок и сроки прохождения противопожарного инструктажа и т. д.).
- В зданиях и сооружениях, при единовременном нахождении на этаже более 10 человек разработать и развесить на видных местах планы (схемы) эвакуации людей в случае пожара,
- Предусмотреть систему оповещения людей о пожаре.
Кроме того, требования к территории предприятия подразумевают дополнительные затраты на ее уборку.
Территория предприятий, а также здания, помещения и сооружения должны постоянно содержаться в чистоте и очищаться от «лишних» предметов и мусора, горючих отходов. Дороги, проезды и подъезды к зданиям, сооружениям, открытым складам, наружным пожарным лестницам и водоисточникам, используемым для целей пожаротушения, должны быть всегда свободными для проезда пожарной техники, содержаться в исправном состоянии, а зимой быть очищенными от снега и льда.
Противопожарные системы и установки (противодымная защита, средства пожарной автоматики, системы противопожарного водоснабжения, противопожарные двери, клапаны, другие защитные устройства в противопожарных стенах и перекрытиях и т. д.) помещений, зданий и сооружений, а также устройства для самозакрывания дверей должны постоянно содержаться в исправном рабочем состоянии.
Нарушения огнезащитных покрытий (штукатурки, специальных красок, лаков, обмазок и т. п., включая потерю и ухудшение огнезащитных свойств) строительных конструкций, горючих отделочных и теплоизоляционных материалов, металлических опор оборудования должны немедленно устраняться. Обработанные (пропитанные) в соответствии с нормативными требованиями деревянные конструкции и ткани по истечении сроков действия обработки (пропитки) и в случае потери огнезащитных свойств составов должны обрабатываться (пропитываться) повторно.
Это влечет за собой дополнительные затраты на обеспечение пожарной безопасности.
Правила пожарной безопасности определяют необходимое количество первичных средств пожаротушения (огнетушители, щиты, инвентарь), которые предприятие должно иметь[2]. На себестоимость будут отнесены только те расходы, которые связаны с обязательными требованиями законодательства.
3 Экономическая оценка эффективности затрат на обеспечение пожарной безопасности
Эффективность затрат на обеспечение пожарной безопасности народнохозяйственных объектов является обязательным условием при технико-экономическом обосновании мероприятий, направленных на повышение пожарной безопасности. Расчеты экономического эффекта могут использоваться при определении цен на научно-техническую продукцию противопожарного назначения, а также для обоснования выбора мероприятий по обеспечению пожарной безопасности при формировании планов научно-исследовательских и опытно-конструкторских работ, экономического и социального развития объектов.
Эффективность затрат на обеспечение пожарной безопасности определяется как социальными (оценивает соответствие фактического положения установленному социальному нормативу), так и экономическими (оценивает достигаемый экономический результат) показателями.
Экономический эффект отражает собой превышение стоимостных оценок конечных результатов над совокупными затратами ресурсов (трудовых, материальных, капитальных и др.) за расчетный период. Конечным результатом создания и использования мероприятий по обеспечению пожарной безопасности является значение предотвращенных потерь, которые рассчитывают исходя из вероятности возникновения пожара и возможных экономических потерь от него до и после реализации мероприятия по обеспечению пожарной безопасности на объекте. Численное значение затрат на мероприятия по обеспечению пожарной безопасности определяется на основе бухгалтерской отчетности объекта защиты.
Затраты на обеспечение пожарной безопасности следует считать эффективными с социальной точки зрения, если они обеспечивают выполнение норматива по исключению воздействия на людей опасных факторов пожара, установленного Гост 12.1.004-91[3].
Экономический эффект определяется по всему циклу реализации мероприятия по обеспечению пожарной безопасности за расчетный период времени, включающий в себя время проведения научно-исследовательских и опытно-конструкторских работ, освоение и производство элементов систем и мероприятий по обеспечению пожарной безопасности, а также время использования результатов осуществления мероприятия на охраняемом объекте.
За начальный год расчетного периода принимается год начала финансирования работ по осуществлению мероприятия. Началом расчетного периода, как правило, считается первый год выполнения научно-исследовательских и опытно-конструкторских работ. Конечный год расчетного периода определяется моментом завершения использования результатов осуществления мероприятия. Конечный год использования результатов мероприятия по обеспечению пожарной безопасности определяется разработчиком и согласовывается с основным заказчиком (потребителем). При его установлении целесообразно руководствоваться: плановыми сроками замены элементов систем и мероприятий по обеспечению пожарной безопасности; сроками службы элементов и систем по обеспечению пожарной безопасности (с учетом морального старения), указанными и документации на них (ГОСТ, ОСТ, ТУ, паспорт и др.); экспертной оценкой при отсутствии нормативов.
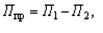
При проведении расчетов экономического эффекта разновременные затраты и результаты приводятся к единому моменту времени - расчетному году. В качестве расчетного года принимается год, предшествующий началу использования мероприятия по обеспечению пожарной безопасности. Приведение выполняется умножением значений затрат и результатов предотвращенных потерь соответствующего года на коэффициент дисконтирования (
_t), вычисляемый по формуле
|
где Е - норматив приведения разновременных затрат и результатов, численно равный нормативу эффективности капитальных вложений (Е=Е_н=0,1);
t_p - расчетный год;
t - год, затраты и результаты которого приводятся к расчетному году.
В число возможных вариантов реализации мероприятия по обеспечению пожарной безопасности объекта на этапе технико-экономического обоснования отбираются те, которые отвечают ограничениям технического и социального характера. В число рассматриваемых вариантов включаются наилучшие, технико-экономические показатели которых превосходят или соответствуют лучшим мировым и отечественным достижениям. При этом должны учитываться возможности закупки техники за рубежом, организации собственного производства на основе приобретения лицензий, организации совместного производства с зарубежными партнерами. Лучшим признается вариант мероприятия по обеспечению пожарной безопасности, который имеет наибольшее значение экономического эффекта либо при условии тождества предотвращаемых потерь - затраты на его достижение минимальны.
Если целью осуществления мероприятия по обеспечению пожарной безопасности является не непосредственное предотвращение пожара, а обеспечение, достоверной информации об основных характеристиках и параметрах уровня обеспечения пожарной безопасности, контроля за соблюдением правил пожарной безопасности, в случае невозможности определения влияния данного мероприятия на стоимостную оценку предотвращенных потерь, то при сравнении альтернативных вариантов по обеспечению пожарной безопасности лучшим принимается тот, затраты на достижение которого минимальны.
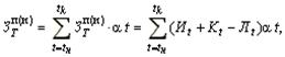
Экономический эффект затрат на обеспечение пожарной безопасности определяется по результатам эксплуатации за расчетный период. Экономический эффект за расчетный период независимо от направленности мероприятия по обеспечению пожарной безопасности (разработка, производство и использование новых, совершенствование существующих элементов систем и мероприятий по обеспечению пожарной безопасности) (Э_T), руб., рассчитывают по формуле
|
или
|
где Э_T - экономический эффект реализации мероприятия по обеспечению пожарной безопасности за расчетный период (T);
П_пр t, П_пр T - стоимостная оценка предотвращенных потерь соответственно за расчетный период (T) и в году (t) расчетного периода;
З_Т, З_t - стоимостная оценка затрат на реализацию мероприятия по обеспечению пожарной безопасности соответственно за расчетный период (T) и в году (t) расчетного периода;
_t,
- коэффициенты приведения разновременных соответственно затрат и предотвращенных потерь к расчетному году;
t_н - начальный год расчетного периода;
t_к - конечный год расчетного периода;
t - текущий год расчетного периода.
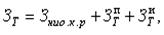
Затраты на реализацию мероприятия по обеспечению пожарной безопасности за расчетный период (З_Т), руб., рассчитывают по формуле
|
где З_нио. к.р - затраты на проведение научно-исследовательских и опытно-конструкторских работ, руб.;
- затраты при производстве мероприятий по обеспечению пожарной безопасности, руб.;
- затраты при использовании мероприятий по обеспечению пожарной безопасности (без учета затрат на приобретение созданных элементов мероприятий), руб.
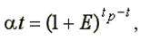
Затраты при производстве (использовании) мероприятий по обеспечению пожарной безопасности рассчитывают по формуле
|
где 3_t - значение затрат всех ресурсов в году t;
И_t -текущие издержки при производстве (использовании) мероприятий по обеспечению пожарной безопасности в году t;
K_t - единовременные затраты при производстве (использовании) мероприятий в году t;
Л_t- остаточная стоимость (ликвидационное сальдо) основных фондов, выбывших в году t.
При оценке остаточной стоимости фондов могут быть рассмотрены три различных случая:
а) созданные ранее фонды, которые высвобождаются в году за ненадобностью, могут до конца своего срока службы эффективно использоваться где-то в другом месте. В этом случае в качестве Л_t следует учитывать остаточную стоимость фондов;
б) фонды в конце расчетного периода, отслужившие лишь часть своего срока службы и эффективно функционирующие. В этом случае в качестве Л_t следует учитывать остаточную стоимость фондов;
в) фонды, высвобожденные за ненадобностью в году t, которые нигде более по своему назначению использованы быть не могут. В этом случае в качестве Л_t следует учитывать ликвидационное сальдо.
Заключение
В процессе эксплуатации производственного объекта нередко возникает опасность его возгорания. С целью избежания повреждения имущества предприятия пожаром производится разработка комплекса мероприятий, направленных на повышение уровня противопожарной защиты эксплуатируемых зданий и сооружений, в части защиты жизни и здоровья людей, предотвращения ущерба собственному и чужому имуществу в случае возникновения пожара. К таким мероприятиям, в частности, относятся:
- Проектирование и реализация, а также обслуживание систем пожарной автоматики (пожарной сигнализации и пожаротушения, исполнительных устройств противоаварийных устройств), контроль за противопожарным состоянием объекта, обучение персонала и др.
- Выполнение дополнительных работ по совершенствованию противопожарной защиты объекта (разработка мер по снижению пожарного риска, огнезащита строительных конструкций и др.).
- Огнезащитная обработка строительных конструкций и материалов, воздуховодов, электрических кабелей, изделий из полимерных материалов, изделий из текстильных материалов (тканей, ковровых покрытий, нетканых материалов и др.), древесины и материалов на ее основе.
Все эти мероприятия требуют определенных затрат. Данные затраты относятся к эксплуатационным, связанным с содержанием оборудования, зданий и сооружений, так как они обусловлены необходимостью обеспечения сохранности имущества предприятия. Согласно действующему законодательству, в структуре эксплуатационных расходов расходы на противопожарную защиту относятся к прочим.
Список используемой литературы
1. Налоговый кодекс Российской Федерации часть вторая от 5 августа 2000 г. N 117-ФЗ
2. Федеральный закон от 01.01.01 г. N 69-ФЗ "О пожарной безопасности"
3. Приказ МВД РФ от 01.01.01 г. N 536 "О введении в действие Правил пожарной безопасности в Российской Федерации"
4. Основные положения по планированию, учету и калькулированию себестоимости продукции на промышленных предприятиях (утв. ЦСУ СССР, Госпланом СССР, Госкомцен СССР и Минфином СССР 20 июля 1970 г. N АБ-21-Д)
5. Гост 12.1.004-91 Межгосударственный стандарт «Система стандартов безопасности труда. Пожарная безопасность общие требования»
6. А. Бухгалтерский управленческий учет: Учебник для вузов. – М.: , 2000. – 533с.;
7. П. Бухгалтерский учет: Учебное пособие. – 4-е изд., перераб. и доп. – М.: ИНФРА-М, 2001.- 640с.;
8. П. Управленческий учет: Учебник для вузов. – М.: Аудит, ЮНИТИ, 1998. – 350с.;
9. Управленческий учет: Учебное пособие/Под ред. А. Д.Шеремета. – 2-е изд., испр. – М.: ИДФБК-ПРЕСС, 2002. – 512с..
[1] Основные положения по планированию, учету и калькулированию себестоимости продукции на промышленных предприятиях (утв. ЦСУ СССР, Госпланом СССР, Госкомцен СССР и Минфином СССР 20 июля 1970 г. N АБ-21-Д)
[2] Приказ МВД РФ от 01.01.01 г. N 536 "О введении в действие Правил пожарной безопасности в Российской Федерации"
[3] Гост 12.1.004-91 Межгосударственный стандарт «Система стандартов безопасности труда. Пожарная безопасность общие требования»
Основные порталы (построено редакторами)



