УТВЕРЖДАЮ
Начальник
ГУ МО «Мособлпожспас»

«22» августа 2011г.
Методика
проведения инструктажей по охране труда в территориальных управлениях силами и средствами
ГУ МО «Мособлпожспас»
ГУ МО «Мособлпожспас»
ОБЩИЕ ПОЛОЖЕНИЯ
Своевременность обучения безопасности труда работников организации обязан контролировать, инженер охраны труда или работник, на которого возложены эти обязанности приказом руководителя организации. Обучение и проведение инструктажей по безопасности труда должны иметь непрерывный многоуровневый характер.
К первостепенным мерам по обеспечению безопасной производственной деятельности относится проведение инструктажей работников по вопросам охраны труда. Основным документом, регламентирующим трудовые взаимоотношения, в том числе и по охране труда, является Трудовой кодекс РФ в котором на руководителя возлагаются обязанности по обеспечению охраны труда работников (ст. 212 ТК). В свою очередь, работник обязан соблюдать требования соответствующих инструкций, правил и других нормативных правовых актов по охране труда, проходить обучение, инструктажи и т. д. (ст. 214 ТК). Инструктажи по охране труда, за исключением вводного, как правило, проводит непосредственный руководитель работ. Факт проведения инструктажа затем должным образом фиксируется и оформляется.
Во время инструктажа работник получает необходимые знания о способах и методах безопасной работы, связанных с непосредственным выполнением его функциональных обязанностей, т. е. происходит его обучение. Таким образом, работник предупреждается о негативных последствиях, которые могут иметь место при невыполнении или ненадлежащем выполнении требований охраны. Также в этом случае непосредственный руководитель выполняет свои обязательства в части инструктирования и обучения работника, предусмотренные трудовым законодательством.
Работник, ставя свою подпись в журнале регистрации инструктажа, принимает на себя обязательства по соблюдению требований по безопасным методам работы, сведения о которых он получил во время инструктирования. То есть происходит перераспределение ответственности: представитель руководителя выполнил свои обязательства по охране труда (в данном случае в части инструктирования), и теперь осталось дело за работником. Предполагается, что если работник при выполнении работы будет следовать предписаниям инструкций, то вероятность повреждения его здоровья в результате несчастного случая сводится к минимуму. В этом и заключается смысл проведения инструктажей по охране труда.
Однако на производстве может возникнуть ситуация, когда прошедший инструктаж работник, выполняя требования по безопасному производству работ, все равно получает травму. В этом случае можно говорить о некачественно проведенных инструктажах или разработанных инструкциях по охране труда. На основании детального рассмотрения подобных инцидентов должна проводиться работа по уточнению вопросов, освещаемых при инструктаже, или по доработке и пересмотру инструкций по охране труда. К сожалению, ни один руководитель не застрахован от самовольных действий работника, приводящих к травмам или смертельным случаям. Но если с работником проводились соответствующее обучение, проверка знаний, выданы полагающиеся средства защиты и осуществляются прочие мероприятия, все должным образом оформлено.
Следует отметить, что действующим законодательством не предусмотрена дифференциация при проведении вводного инструктажа по охране труда для различных категорий работников. При этом очевидно, что работникам различных профессий требуется различный объем знаний, по охране труда исходя из специфики их профессии или должности. В связи с этим представляется целесообразным применять индивидуальный подход к составлению программ вводного инструктажа для разных категорий работников. Исходя из этого же соображения должна устанавливаться и продолжительность инструктажа. Эффективность восприятия инструктажа значительно усилится, если он проводится в кабинете по охране труда или в специально оборудованном помещении с использованием современных технических средств обучения и наглядных пособий (плакатов, натурных экспонатов, макетов, моделей, видеофильмов и т. д.).
Правила устанавливают порядок обучения безопасным методам и приемам работы, проведения инструктажа и проверки знаний по вопросам охраны труда лиц, подлежащих обязательному страхованию от несчастных случаев на производстве и профессиональных заболеваний, и иных лиц, привлекаемых к работам в организациях.
Инструктаж по охране труда в зависимости от характера и времени проведения подразделяют на:
вводный;
первичный на рабочем месте;
повторный;
внеплановый;
целевой
Вводный инструктаж
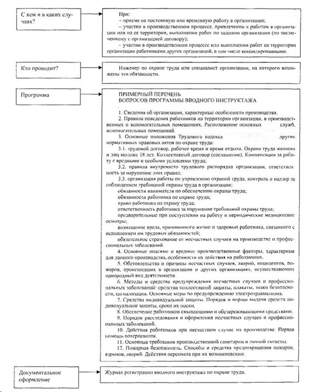
Сразу нужно отметить, что вводный инструктаж проводится со всеми лицами, в том числе руководителями и специалистами, при:
- приеме их на постоянную или временную работу в организацию;
- участии в производственном процессе, привлечении к работам в организации или на ее территории, выполнении работ по заданию организации (по заключенному с организацией договору);
- участии в производственном процессе или выполнении работ на территории организации работниками других организаций, в том числе командированными.
Вводный инструктаж проводит инженер по охране труда или специалист организации, на которого возложены эти обязанности.
При наличии в организации пожарной, газоспасательной и медицинской служб вводный инструктаж по соответствующим разделам программы вводного инструктажа может быть дополнен инструктажем, проводимым работниками указанных служб.
Работники указанных служб при проведении вводного инструктажа используют заранее подготовленную и утвержденную руководителем организации программу (инструкцию), разработанную с учетом специфики деятельности организации на основании примерного перечня вопросов программы вводного инструктажа.
Регистрация вводного инструктажа осуществляется в журнале регистрации вводного инструктажа по охране труда.
При территориальной удаленности структурного подразделения руководителем организации могут возлагаться обязанности по проведению вводного инструктажа на руководителя данного структурного подразделения. Регистрация вводного инструктажа в этом случае осуществляется в журнале регистрации вводного инструктажа по месту его проведения.
Журнал регистрации вводного инструктажа по охране труда должен быть пронумерован, прошнурован и скреплен печатью. Журнал регистрации вводного инструктажа заверяется подписью руководителя организации или уполномоченного им лица.
Срок хранения журнала регистрации вводного инструктажа десять лет с даты внесения последней записи.
Первичный инструктаж на рабочем месте
Первичный инструктаж по охране труда на рабочем месте - это следующий вид обязательного инструктажа. Его проводит непосредственный руководитель на рабочем месте до начала работы со следующими лицами:
принятыми на работу;
переведенными из одного подразделения в другое или с одного объекта на другой;
участвующими в производственном процессе, привлеченными к работам в организации или выполняющими работы по заданию организации (по заключенному с организацией договору);
с работниками других организаций, в том числе командированными, при участии их в производственном процессе или выполнении работ на территории организации. С работниками других организаций, выполняющими работы на территории организации, данный инструктаж проводит руководитель работ.
Первичный инструктаж на рабочем месте проводится индивидуально с практическим показом безопасных приемов и методов труда. Также допускается проводить первичный инструктаж с группой лиц, обслуживающих однотипное оборудование и в пределах общего рабочего места.
Как и в случае с вводным инструктажем, первичный инструктаж на рабочем месте проводится по утвержденной руководителем организации программе, составленной с учетом особенностей производства (выполняемых работ) и требований нормативных правовых актов по охране труда, или по инструкциям по охране труда для профессий и видов работ.
Правила предписывают, чтобы инструктаж завершался проверкой знаний устным опросом или с помощью технических средств обучения, а также проверкой приобретенных навыков безопасных методов и приемов работы лицом, проводившим инструктаж.
В журнале регистрации инструктажа по охране труда или в личной карточке проведения обучения делается отметка, где указываются наименования программ или номера инструкций по охране труда, по которым проведен инструктаж.
Проведение первичного инструктажа и стажировки подтверждается подписями лиц, проводивших и прошедших инструктаж (стажировку), в журнале регистрации инструктажа по охране труда согласно утвержденной Правилами форме или в личной карточке проведения обучения (в случае ее применения).
Журнал регистрации первичного инструктажа на рабочем месте должен быть пронумерован, прошнурован и скреплен печатью. Журнал регистрации инструктажа заверяется подписью руководителя организации или структурного подразделения.
Срок хранения данного журнала десять лет с даты внесения последней записи.
Исключение. Первичный инструктаж на рабочем месте может не проводиться с лицами, которые не заняты на работах по монтажу, эксплуатации, наладке, обслуживанию и ремонту оборудования, использованию инструмента, хранению и применению сырья и материалов (за исключением работ с повышенной опасностью) согласно перечню. Перечень профессий и должностей работников, освобождаемых от первичного инструктажа на рабочем месте, составляется службой охраны труда с участием профсоюза и утверждается руководителем организации.
Повторный инструктаж
Повторный инструктаж проводится с теми же лицами, с которыми проводились и два предыдущих инструктажа, не реже одного раза в шесть месяцев по программе первичного инструктажа на рабочем месте или по инструкциям по охране труда для профессий и видов работ. Однако следует отметить, что периодичность проведения повторных инструктажей может изменяться в зависимости от требований, изложенных в локальных или отраслевых нормативных актах. Речь идет о более частом (например, раз в квартал) проведении повторных инструктажей, что может быть связано со спецификой производства.
Проведение повторных инструктажей (например, по подразделению) может быть приурочено к началу какого-либо периода (месяца, квартала, полугодия). Таким образом проще соблюдать временную регламентацию планирования и проведения данного мероприятия.
Повторный инструктаж проводится непосредственными руководителями работ.
Что касается проверки знаний и навыков, оформления и хранения журнала регистрации, то порядок такой же, как и в случае с первичным инструктажем.
Внеплановый инструктаж
Внеплановый инструктаж проводится при:
- принятии новых нормативных правовых актов, технических нормативных правовых актов, локальных нормативных правовых актов по охране труда или внесении изменений и дополнений к ним;
- изменении технологического процесса, замене или модернизации оборудования, приборов и инструмента, сырья, материалов и других факторов, влияющих на безопасность труда;
- нарушении нормативных правовых актов, технических нормативных правовых актов, локальных нормативных правовых актов по охране труда, которое привело или могло привести к аварии, несчастному случаю на производстве и другим тяжелым последствиям;
- перерывах в работе по профессии (в должности) более шести месяцев;
- поступлении информации об авариях и несчастных случаях, происшедших в однопрофильных организациях.
Внеплановый инструктаж проводится также по требованию органа надзора и контроля, вышестоящих государственных органов или государственных организаций, должностного лица организации, на которого возложены обязанности по обеспечению охраны труда, при нарушении нормативных правовых актов, технических нормативных правовых актов, локальных нормативных правовых актов по охране труда.
Внеплановый инструктаж проводится индивидуально или с группой лиц, работающих по одной профессии (должности), их непосредственными руководителями. Объем и содержание инструктажа определяются в зависимости от причин и обстоятельств, вызвавших необходимость его проведения.
Порядок проверки знаний и навыков, оформления и хранения журнала регистрации такой же, как и в случае с первичным и повторным инструктажами. Единственное отличие: при регистрации внепланового инструктажа в журнале регистрации инструктажа указывается причина его проведения.
Целевой инструктаж
Целевой инструктаж проводят при:
- выполнении разовых работ, не связанных с прямыми обязанностями по специальности (погрузка, разгрузка, уборка территории и другие);
- ликвидации последствий аварий, стихийных бедствий и катастроф;
- производстве работ, на которые оформляется наряд-допуск.
Целевой инструктаж проводит непосредственный руководитель работ. Инструктаж завершается проверкой знаний устным опросом или с помощью технических средств обучения, а также проверкой приобретенных навыков безопасных методов и приемов работы лицом, проводившим инструктаж.
Как и в предыдущих случаях, целевой инструктаж подтверждается подписями лиц, его проводивших и прошедших, в журнале регистрации. Допускается регистрация целевого инструктажа в отдельном журнале.
В случае проведения целевого инструктажа с лицами, выполняющими работы по наряду-допуску, отметка о его проведении производится в наряде-допуске.
Срок хранения названных журналов десять лет с даты внесения последней записи.
ВВОДНЫЙ ИНСТРУКТАЖ

ПЕРВИЧНЫЙ ИНСТРУКТАЖ НА РАБОЧЕМ МЕСТЕ
|
ПОВТОРНЫЙ ИНСТРУКТАЖ
|
ВНЕПЛАНОВЫ ИНСТРУКТАЖ
|
ЦЕЛЕВОЙ ИНСТРУКТАЖ
|
![]() |
Начальник отдела охраны труда и
«22» августа 2011г.








