Дифференцирование векторных полей. Дифференциальный векторный оператор «набла»
Нам предстоит получить из этих четырёх уравнений всё электричество, весь магнетизм, а на последней лекции получить уравнения электромагнитных колебаний, то есть начать изучение оптики.
Наш подход совершенно противоположен подходу историческому, когда изложение слепо следует за экспериментами, в которых впервые была получена нужная информация. Но ведь физику развивают множество очень умных людей уже свыше 200 лет, а у нас времени мало и нам нужно овладеть знаниями побыстрее. У нас только один семестр! Поэтому мы не можем охватить всё, что они сделали. Так что в этих лекциях мы будем вынуждены пренебречь историей физики, и не будем рассматривать опыты. Я надеюсь, что вы восполните пропущенное на лабораторных занятиях, и, конечно, очень полезно почитать статьи и книги по истории физики.
Скалярные и векторные поля.
Давайте разберёмся с математикой векторных полей. Она очень важна не только в электромагнетизме, но и во многих физических проблемах, подобно тому, как обычное дифференциальное и интегральное исчисление важно во всех областях физики. Мы переходим к дифференциальному исчислению векторов.
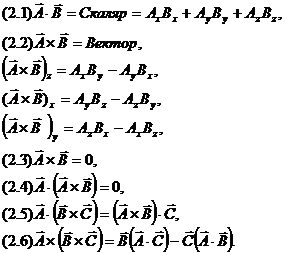
Некоторые сведения из алгебры векторов. Считается, что вы с ними знакомы.

Мы будем также пользоваться следующими двумя равенствами:

Уравнение (2.7) справедливо, конечно, только при 
Простейшее из физических полей – скалярное. Полем, как вы помните, называется величина, зависящая от положения в пространстве. Скалярное поле – это просто такое поле, в каждой точке которого сидит одно число – скаляр. Это число может меняться во времени. В качестве примера скалярного поля представьте себе брусок из какого-нибудь материала. В одних местах брусок горячий, в других холодный, так что его температура меняется от точки к точке каким-то сложным образом. Температура тогда будет функцией x, y, z – положения в пространстве, измеренного в прямоугольной системе координат. Температура – это скалярное поле.
Один способ представить себе скалярное поле – это вообразить «контуры», т. е. мысленные поверхности, проведённые через точки с одинаковыми значениями поля, подобно горизонталям на картах, соединяющим точки на одной высоте над уровнем моря. Для температурного поля контуры носят название «изотермические поверхности», или изотермы.
Поля бывают также векторными. Идея их очень проста. В каждой точке пространства задается вектор. Он меняется от точки к точке. Пример – водный поток. Скорость воды в каждой точке – это вектор. Совокупность векторов - векторное поле.
Производные полей – градиент
Когда поля меняются со временем, то их изменение можно описать, задав производные по t. Мы хотим также описать и их изменения в пространстве, потому что мы интересуемся связью, скажем, температурой в некоторой точке и в точке с ней рядом. Как же задать производную температуры по координате? Дифференцировать температуру по x? Или по y, или по z?
Осмысленные физические законы не зависят от ориентации системы координат. Поэтому их надо писать так, чтобы по обе стороны знака равенства стояли скаляры, или векторы.
Рассмотрим температурное поле. Возьмём две точки, разделённые маленьким расстоянием
с температурами Т1 и Т2, и их разница
.
Выбрав удобную систему координат, мы можем написать

где
- компоненты вектора
. Вспомнив (2.7), напишем
![]()
Слева в (2.9) стоит скаляр, а справа – сумма трёх произведений каких-то чисел на
, которые являются компонентами вектора. Значит, три числа
![]()
- тоже x-, y-, и z-компоненты вектора. Мы напишем этот новый вектор при помощи символа
. Символ
(называется набла) – это
вверх ногами; он напоминает нам о дифференцировании. Читается
по-разному: «набла Т», или «градиент Т» или «gradT»:
.
С этим обозначением (2.9) переписывается в более компактной форме
.
Или, выражаясь словами: разница температур в двух близких точках есть скалярное произведение градиента Т на вектор смещения второй точки относительно первой.
Оператор
А сейчас мы проделаем крайне занятную и остроумную вещь – одну из тех, которые так украшают математику. Мы абстрагируем градиент от Т. Мы запишем наблу как векторный оператор. Можно написать
![]()
Что означает, конечно,

Таким образом, к дифференциальному оператору
мы можем относиться как к вектору. При этом помнить, что
- это оператор. Сам по себе он ничего не означает. Но если мы умножим
на скалярное поле, например
Т, то получим градиент Т.
Что получится, если мы оператор
умножим на векторное поле. Для векторов мы имеем два вида умножения – скалярное и векторное. Попробуем составить скалярное произведение
на известное поле, скажем на
. Распишем покомпонентно

Эта сумма инвариантна относительно преобразований координат и является скаляром. Итак,
·h – это скалярное поле.
Скалярная величина
·(Вектор) очень широко применяется в физике. Ей присвоили имя «дивергенция», или «расходимость». Например,
.
Что даст нам векторное произведение? Можно надеяться, что
![]()
Компоненты этого вектора можно написать, пользуясь обычным правилом для векторного произведения [см. (2.2)]

Комбинация
называют «ротор» (пишут rot h), или (редко) «вихрь h» (пишут curl h).
В итоге мы получили три сорта комбинаций, куда входит
:

Используя эти комбинации, можно пространственные вариации полей записывать в удобном виде, т. е. в виде, не зависящем от ориентации осей координат.
Посмотрим еще раз на уравнения Максвелла. В первом уравнении мы видим, что дивергенция электрического поля Е равен плотности заряда (
появляется в системе СИ). То есть источник электрического поля – это электрические заряды. Из третьего уравнения видно, что дивергенция магнитного поля В равна нулю. Это означает, что магнитных зарядов в природе нет! Из второго уравнения видно, что при изменении во времени магнитного поля В возникает вихревое электрическое поле Е. Но ведь это суть электромагнитной индукции! Таким образом, даже не вникая вглубь уравнений Максвелла, мы видим, что в них содержатся важные физические законы!

Для более серьёзного продвижения в физику электромагнитных полей нам нужно научиться интегрированию векторных полей. Это тема следующей лекции.



