Лекции по курсу
ИССЛЕДОВАНИЕ ОПЕРАЦИЙ
1. ОБЩАЯ ХАРАКТЕРИСТИКА ИССЛЕДОВАНИЯ ОПЕРАЦИЙ
1.1 Предмет и цели исследования операций. Общие понятия
Формирование исследования операций как самостоятельной ветви прикладной математики относится к периоду 40-х и 50-х годов.
Исследование операций представляет собой комплекс научных методов для решения задач эффективного управления организационными системами".
Исследование операций – это научная подготовка принимаемого решения – это совокупность методов, предлагаемых для подготовки и нахождения самых эффективных или самых экономичных решений.
Целью исследования операций является предварительное количественное обоснование оптимальных решений в соответствие с некоторым критерием эффективности.
Организационные системы включают человека, принимающего решения либо совершающего целенаправленные действия, в качестве обязательного (составного) элемента.
Природа систем, фигурирующих в приведенном определении под именем "организационных", может быть самой различной. В самых разнообразных областях человеческой деятельности встречаются сходные между собой задачи:
– организация производства,
– эффективная эксплуатация транспорта,
– управление боевыми действиями,
– расстановка кадров,
– организация телефонной связи и т. д.
Примеры задач
1) План снабжения предприятия.
Имеется ряд предприятий, использующих различные виды сырья; имеется ряд сырьевых баз. Базы связаны с предприятиями различными путями сообщения (железные дороги, автотранспорт, водный, воздушный транспорт). Каждый транспорт имеет свои тарифы. Требуется разработать такой план снабжения предприятий сырьем, чтобы потребности в сырье были удовлетворены при минимальных расходах на перевозки.
2) Постройка участка магистрали.
Сооружается участок железнодорожной магистрали. В нашем распоряжении определенное количество средств: людей, техники и т. п. Требуется назначить очередность работ, распределить людей и технику по участкам пути таким образом, чтобы завершить строительство в минимальные сроки.
Под операцией понимается всякая система действий (мероприятие), объединенных единым замыслом и направленных к достижению какой-то цели.
Каждая операция (или, другими словами, задача) характеризуется некоторым набором параметров.
Параметры подразделяются:
- на постоянные – не меняющиеся в процессе решения задачи. Их значения считаются заданными до начала решения задачи. Постоянные параметры обозначаются начальными буквами латинского алфавита;
- переменные – их значения мы можем выбирать по нашему усмотрению в заданных пределах. Переменные параметры обозначаются конечными буквами латинского алфавита и называются переменными задачи. Значения переменных не определены перед началом решения задачи. Цель решения задачи − определить значения переменных. Результат решения задачи − численные значения переменных.
Операция - это управляемое мероприятие, то есть от нас зависит, каким способом выбрать переменные параметры, характеризующие его организацию.
Каждый определенный набор значений переменных параметров называется решением.
Те параметры, совокупность которых образует решение, называются элементами решения. В качестве элементов решения могут быть различные числа, векторы, функции, физически признаки и т. д.
Пример: перевозка однородного груза.
Существуют пункты отправления: А1, А2, А3,…, Аm.
Имеются пункты назначения: В1, В2, В3,…, Вn.
Элементами решения здесь будут числа xij, показывающие, какое количество грузов будет отправлено из i-того пункта отправления в j-ый пункт назначения.
Совокупность этих чисел: x11, x12, x13,…, x1m,…, xn1, xn2,…, xnm образует решение.
Чтобы сравнить между собой различные варианты, необходимо иметь какой-то количественный критерий – показатель эффективности (W). Данный показатель называется целевой функцией.
Этот показатель выбирается так, чтобы он отражал целевую направленность операции. Выбирая решение, стремимся, чтобы данный показатель стремился к максимуму или к минимуму. Если W – доход, то W
max; а если W – расход, то W
min.
Если выбор зависит от случайных факторов (погода, отказ техники, колебания спроса и предложения), то в качестве показателя эффективности выбирается среднее значение – математическое ожидание –
.
В качестве показателя эффективности иногда выбирают вероятность достижения цели. Здесь цель операции сопровождается случайными факторами и работает по схеме ДА-НЕТ.
1.2. Общая характеристика и последовательность решения задач
Задачи, рассматриваемые в теории операций обладают рядом общих признаков и решаются сходными методами.
В каждой задаче:
- определена цель;
- заданы ограничения - некоторые условия, которые должны выполняться (соблюдаться);
- в рамках этих условий нужно принять решение, чтобы цель была достигнута наиболее выгодным способом.
При решении задач организационного управления можно выделить общую последовательность этапов, через которые проходит любое операционное исследование. Как правило, это:
1. Постановка задачи.
2. Построение содержательной (вербальной) модели рассматриваемого объекта (процесса). На данном этапе происходит формализация цели управления объектом, выделение возможных управляющих воздействий, влияющих на достижение сформулированной цели, а также описание системы ограничений на управляющие воздействия.
3. Построение математической модели, т. е. перевод сконструированной вербальной модели в ту форму, в которой для ее изучения может быть использован математический аппарат.
4. Решение задач, сформулированных на базе построенной математической модели.
5. Проверка полученных результатов на их адекватность природе изучаемой системы, включая исследование влияния так называемых внемодельных факторов, и возможная корректировка первоначальной модели.
6. Реализация полученного решения на практике.
Центральное место в данном курсе отведено вопросам, относящимся к четвертому пункту приведенной выше схемы.
Основные отличия метода исследования операций
При решении любой конкретной задачи применение методов исследования операций заключается в следующем:
- построение математических, экономических и статистических моделей для задач принятия решений и управления в сложных ситуациях в условиях неопределенности (наличие случайных факторов);
- изучение взаимосвязей, определяющих возможные последствия принятых решений, и установление критериев эффективности, позволяющих оценить преимущества того или иного варианта.
Методы исследования операций обладают рядом специфических черт:
1. Ориентация на принятие решений. Основные результаты анализа должны иметь непосредственное и полностью определенное отношение к выбору способа действий (стратегии или тактики);
2. Оценка на основе критерия экономической эффективности. Сравнение различных возможных вариантов действий должно основываться на количественных оценках, позволяющих однозначно определить полезность ожидаемого исхода. Количественные оценки для коммерческих фирм обычно предполагают использование таких измеримых величин, как расходы, доходы, наличие денежных средств, норма прибыли от дополнительных капиталовложений и т. д. В рекомендуемом решении должен быть достигнут оптимальный баланс с учетом всех, нередко противоречивых факторов;
3. Доверие математической модели. Процедуры обращения с упомянутыми выше параметрами должны быть определены настолько точно, чтобы любой специалист в области системного анализа смог их трактовать совершенно однозначно. Другими словами: опираясь на одни и те же данные, различные специалисты должны получить одинаковые результаты.
4. Необходимость использования ЭВМ. Это условие отнюдь не является лишь желательным, оно скорее необходимо. Это обуславливается сложностью используемых математических моделей и большим объемом исходных данных. Вычисления могут быть громоздкими – необходимо использовать ЭВМ; а могут быть несложными, но в больших объемах (статистические модели).
Основные этапы применения метода ИО:
1. определение цели;
2. составление плана разработки проекта;
3. формулировка проблемы;
4. построение модели;
5. разработка вычислительного метода;
6. разработка технического задания на программирование, само программирование и отладка программы;
7. сбор данных;
8. проверка модели;
9. реализация результатов, то есть принятие решения.
1.3. Основные задачи, решаемые методом исследования операций. Классификация задач
Накопленный опыт в решении задач исследования операций и его систематизация позволили выделить следующие типы задач:
- задачи управления запасами,
- задачи распределения ресурсов,
- задачи ремонта и замены оборудования,
- задачи массового обслуживания,
- задачи упорядочивания,
- задачи сетевого планирования и управления (СПУ),
- задачи выбора маршрута,
- комбинированные задачи.
Задачи управления запасами.
С ростом запасов, увеличиваются расходы на их хранение, но снижаются потери, связанные с возможной их нехваткой. Одна из задач управления запасами заключается в определении такого уровня запасов, который минимизирует следующие критерии:
- сумма ожидаемых затрат на хранение запасов,
- сумма потерь из-за дефицита запасов.
Задачи распределения ресурсов.
Эти задачи возникают тогда, когда существует определенный набор операций (работ), которые необходимо выполнить, а наличия ресурсов для выполнения операций наилучшим образом не хватает. В зависимости от условия задачи эти также делятся на 3 группы:
а) заданы работы и ресурсы. Распределить ресурсы между работами таким образом, чтобы максимизировать некоторую меру эффективности (прибыль) или минимизировать ожидаемые затраты (издержки производства).
б) заданы только наличные ресурсы. Определить, какой состав работ можно выполнить с учетом этих ресурсов, чтобы обеспечить максимум некоторой меры эффективности.
Пример: задано предприятие с определенными производственными мощностями. Какую продукцию следует производить, чтобы получить максимальный доход?
в) заданы только работы. Определить, какие ресурсы необходимы для того, чтобы минимизировать суммарные издержки производства.
Пример: известно месячное расписание движения полетов пассажирских самолетов на авиалинии. Какое количество экипажей необходимо подобрать, чтобы выполнить план с минимальными затратами?
Задачи ремонта и замены оборудования.
а) Определить такие сроки ремонта и замены оборудования, при которых минимизируется сумма затрат на ремонт и замену оборудования при его старении.
б)Требуется определить такие сроки контроля, при которых минимизируется сумма затрат на проведение контроля, а также минимизируется сумма потерь от простоя оборудования вследствие выхода из строя отдельных элементов.
Задачи массового обслуживания.
Имеется система, состоящая из некоторого набора каналов обслуживания. На вход системы поступает поток клиентов (заявки), имеющий случайный характер, т. е. заявки поступают в непредсказуемые моменты времени.
Если каналов обслуживания много, очереди не образуется, но возможны простои каналов обслуживания. Если каналов мало – образуется очередь. А следовательно, возможны затраты, связанные с ожиданием в очереди клиента или с отказом клиента от обслуживания.
Необходимо определить оптимальное количество каналов обслуживания и/или их характеристики, чтобы свести к минимуму суммарные затраты, связанные с несвоевременным обслуживанием и простоем каналов. Для решения задач используется теория массового обслуживания.
Задачи упорядочивания.
Эти задачи часто встречаются в производстве. Предположим, что в цехе изготавливается множество деталей по разным технологическим маршрутам. В парке оборудования имеется ограниченное число станков (токарный, фрезерный, строгальный и др.). На одном станке в данный момент времени может обрабатываться только 1 деталь. Появляется очередность выполнения работ, то есть появляются детали, ждущие обработки. Время обработки каждой детали обычно известно. Такая задача называется задачей календарного планирования или составлением расписания работ. Выбор очередности запуска деталей в обработку является задачей упорядочивания. В таких задачах в качестве критерия эффективности часто встречаются следующие:
- минимизация общей продолжительности работ (то есть интервала времени между моментом началом первой операции и моментом окончания последней);
- минимизация общего запаздывания. Запаздывание определяется как разность фактическим и плановым сроком обработки каждой детали. Общее запаздывание = сумме запаздываний по всем деталям.
Задачи сетевого планирования и управления (СПУ).
Данные задачи актуальны при разработке сложных, дорогостоящих проектов:
а) задана продолжительность выполнения всего комплекса операций. Требуется определить сроки каждой операции, при которых:
- минимизируются общие затраты на выполнение всего комплекса операций.
б) заданы общие ресурсы. Определить сроки начала каждой операции, чтобы минимизировать время на выполнение всего комплекса операций.
Задачи маршрутизации.
Типичной задачей является задача выбора оптимального маршрута из нескольких вариантов. Стоимость прохождения и время на прохождение зависит от выбранного маршрута. При рассмотрении ряда маршрутов вводятся ограничения:
- запрещается возвращаться в уже пройденный пункт,
- в пунктах сети возможны задержки (например, из-за ограниченной пропускной способности). Задержки носят случайный характер.
Критерии оптимизации: минимизация общего времени прохождения маршрута или минимизация общих затрат.
Данные задачи наиболее изучены и в литературе носят специфические названия – задача о коммивояжере или задача о максимальном потоке.
Комбинированные задачи.
Включают в себя несколько типовых задач одновременно.
Пример: при планировании и управлении производством необходимо решить комплекс задач:
1) сколько изделий каждого наименования необходимо выпустить и каковы оптимальные размеры партии изделий – задача планирования производства;
2) распределить заказы или детали по видам оборудования, причем оптимальный план производства задан – задача распределения;
3) определить в какой последовательности следует выполнить производственные заказы – календарное планирование.
Эти задачи нельзя решать независимо друг от друга. Причем, критерии эффективности этих задач часто противоречат друг другу.
1.4. Методы отыскания оптимальных решений в задачах Исследования Операций. Классификация методов
К основным методам отыскания оптимальных решений относятся:
- математическое программирование. В свою очередь методы математического программирования делятся на следующие:
§ линейное программирование,
§ нелинейное программирование,
§ динамическое программирование,
§ целочисленное программирование,
§ стохастическое программирование,
§ эвристическое программирование
- теория массового обслуживания,
- сетевые модели планирования и управления,
- имитационное моделирование.
Рассмотренные выше классы задач можно решать указанными методами. Методами математического программирования решаются следующие классы задач:
- задачи управления запасами,
- задачи распределения ресурсов,
- задачи замены и ремонта оборудования,
- задачи выбора маршрута.
С помощью теории массового обслуживания решаются задачи массового обслуживания.
С использованием сетевых моделей планирования и управления можно решать:
- задачи массового обслуживания,
- задачи упорядочивания,
- задачи сетевого планирования.
Методом имитационного моделирования решаются комбинированные задачи. Данным методом можно решить задачу любого класса.
1.5. ЭКОНОМИКО-МАТЕМАТИЧЕСКОЕ МОДЕЛИРОВАНИЕ В ТЕОРИИ ИССЛЕДОВАНИЯ ОПЕРАЦИЙ
1.5.1. Экономико-математическая модель
Под моделью будем понимать условный образ какого-либо объекта, приближенно воссоздающий этот объект с помощью некоторого языка. В экономико-математических моделях таким объектом является экономический процесс (например, использование ресурсов, распределение изделий между различными типами оборудования и т. п.), а языком — классические и специально разработанные математические методы.
Экономико-математическая модель — математическое описание исследуемого экономического процесса или объекта. Эта модель выражает закономерности экономического процесса в абстрактном виде с помощью математических соотношений. Использование математического моделирования в экономике позволяет углубить количественный экономический анализ, расширить область экономической информации, интенсифицировать экономические расчеты.
Можно выделить три основных этапа проведения экономико-математического моделирования.
На первом этапе ставятся цели и задачи исследования, проводится качественное описание объекта в виде экономической модели.
На втором этапе формируется математическая модель изучаемого объекта, осуществляется выбор (или разработка) методов исследования, проводится программирование модели на ЭВМ, подготавливается исходная информация. Далее проверяются пригодность машинной модели на основании правильности получаемых с ее помощью результатов и оценка их устойчивости.
На третьем, основном, этапе экономико-математического моделирования осуществляются анализ математической модели, реализованной в виде программ для ЭВМ, проведение машинных расчетов, обработка и анализ полученных результатов.
Процедура экономике-математического моделирования заменяет дорогостоящие и трудоемкие натуральные эксперименты расчетами. Действительно, при использовании экономико-математических методов достаточно быстро и дешево производится на ЭВМ сравнение многочисленных вариантов планов и управленческих решений. В результате отбираются наиболее оптимальные варианты.
Процесс построения математической модели для решения поставленной задачи начинается с ответов на следующие вопросы:
1. Для определения каких величин должна быть построена модель, т. е. как идентифицировать переменные данной задачи?
2. Какие ограничения должны быть наложены на переменные, чтобы выполнялись условия, характерные для моделируемой системы?
3. В чем состоит цель задачи, для достижения которой из всех допустимых значений переменных нужно выбрать те, которые будут соответствовать оптимальному (наилучшему) решению задачи?
Для построения математической модели остается только идентифицировать переменные и представить цель и ограничения в виде математических функций этих переменных.
1.5.2. Примеры построения математических моделей
Рассмотрим процесс построения математических моделей на примерах.
Пример 1.1. Определение оптимального ассортимента продукции.
Предприятие изготавливает два вида продукции - П1 и П2, которая поступает в оптовую продажу. Для производства продукции используются два вида сырья - А и В. Максимально возможные запасы сырья в сутки составляют 9 и 13 единиц соответственно. Расход сырья на единицу продукции вида П1 и вида П2 дан в табл. 2.1.
Таблица 2.1.
Расход сырья продукции
Сырье | Расход сырья на 1 ед. продукции | Запас сырья, ед. | |
П1 | П2 | ||
А | 2 | 3 | 9 |
В | 3 | 2 | 13 |
Опыт работы показал, что суточный спрос на продукцию П1 никогда не превышает спроса на продукцию П2 более чем на 1 ед. Кроме того, известно, что спрос на продукцию П2 никогда не превышает 2 ед. в сутки.
Оптовые цены единицы продукции равны: 3 д. е. - для П1 и 4 д. е. для П2.
Какое количество продукции каждого вида должно производить предприятие, чтобы доход от реализация продукции был максимальным?
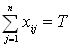
Предположим, что предприятие изготовит х1 единиц продукции П1 и х2 единиц продукции П2. Поскольку производство продукции П1 и П2 ограничено имеющимися в распоряжении предприятия сырьем каждого вида и спросом на данную продукцию, а также учитывая, что количество изготовляемых изделий не может быть отрицательным, должны выполняться следующие неравенства:

Доход от реализациих1 единиц продукции П1 и х2 единиц продукции П2 составит F = 3 х1 + 4х2 .
Таким образом, мы приходим к следующей математической задаче: среди всех неотрицательных решений данной системы линейных неравенств требуется найти такое, при котором функция F принимает максимальное значения Fmax.
Задачу легко обобщить на случай выпуска п видов продукции с использованием т видов ресурсов.
Обозначим
— число единиц продукции
запланированной к производству;
— запас ресурса— число единиц ресурса,
затрачиваемого на изготовление
единицы продукции
(числа
часто называют технологическими коэффициентами);
— прибыль от реализации единицы продукции![]()
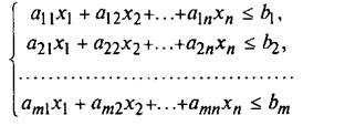
Тогда экономико-математическая модель задачи об использовании ресурсов в общей постановке примет вид: найти такой план
выпуска продукции, удовлетворяющий системе
(1.4)
и условию
(1.5)
при котором функция
(1.6)
принимает максимальное значение.
Рассмотренная задача относится к разряду типовых задач оптимизации производственной программы предприятия. В качестве критериев оптимальности в этих задачах могут быть также использованы: прибыль, себестоимость, номенклатура производимой продукции и затраты станочного времени.
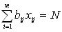
Пример 1.2. Использование мощностей оборудования.
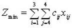
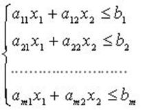
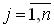
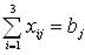
Предприятие имеет m моделей машин различных мощностей. Задан план по времени и номенклатуре: Тi - время работы каждой машины; продукции j-го вида должно быть выпущено не менее Nj единиц.
Необходимо составить такой план работы оборудования, чтобы обеспечить минимальные затраты на производство, если известны производительность каждой i-й машины по выпуску j-го вида продукции bij и стоимость единицы времени, затрачиваемого i-й машиной на выпуска j-го вида продукции cij.
Другими словами, задача для предприятия состоит в следующем: требуется определить время работы i-й машины по выпуску j-го вида продукции xij, обеспечивающее минимальные затраты на производство при соблюдении ограничений по общему времени работы машин Тi и заданному количеству продукции Nj.
По условию задачи машины работают заданное время Т, поэтому данное ограничение можно представить в следующем виде:
,
. (2.9)
Ограничение по заданному количеству продукции выглядит следующим образом:
j,
. (2.10)
Задача решается на минимум затрат на производство:
. (2.11)
Необходимо также учесть неотрицательность переменных
.
Задача поставлена так, чтобы израсходовать все отведенное время работы машины, т. е. обеспечить полную загрузку машины. При этом количество выпускаемой продукции каждого вида должно быть по крайней мере не менее Nj. Однако в некоторых случаях не допускается превышение плана по номенклатуре, тогда ограничения математической модели изменяются следующим образом:
,
(2.12)
j,
(2.10)
(2.11)
, (2.12)
Пример 1.3 Задача составления рациона (задача о диете, задача о смесях). Имеется два вида корма I и II, содержащие питательные вещества (витамины)
Содержание числа единиц питательных веществ в 1 кг каждого вида корма и необходимый минимум питательных веществ приведены в табл. 1.2 (цифры условные).
i
Стоимость 1 кг корма I и II соответственно равна 4 и 6 руб.
Необходимо составить дневной рацион, имеющий минимальную стоимость, в котором содержание каждого вида питательных веществ было бы не менее установленного предела.
Решение. Составим экономико-математическую модель задачи.
Обозначим
— количество кормов I и II, входящих в дневной рацион. Тогда этот рацион (см. табл. 1.2 ) будет включать
единиц питательного вещества
единиц вещества
единиц питательного вещества
. Так как содержание питательных веществ
в рационе должно быть не менее соответственно 9, 8 и 12 единиц, то получим систему неравенств:
(1.7)
Кроме того, переменные
(1.8)
Общая стоимость рациона составит (в руб.)
(1.9)
Итак, экономико-математическая модель задачи: составить дневной рацион
удовлетворяющий системе (1.7) и условию (1.8), при котором функция (1.9) принимает минимальное значение.
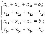
Пример 1.4. Для изготовления брусьев длиной 1,2 м, 3 м и 5 м в соотношении 2:1:3 на распил поступают 195 бревен длиной 6 м. Определить план распила, обеспечивающий максимальное число комплектов. Составить экономико-математическую модель задачи.
Решение. Прежде всего определим всевозможные способы распила бревен, указав соответствующее число получаемых при этом брусьев (табл. 1.3).

Обозначим:
— число бревен, распиленных i-м способом
— число комплектов брусьев.
Учитывая, что все бревна должны быть распилены, а число брусьев каждого размера должно удовлетворять условию комплектности, экономико-математическаямодель задачи примет вид:

при ограничениях:

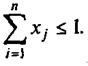
Пример 1.5 Транспортная задача.
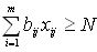
Имеется три поставщика и четыре потребителя однородной продукции. Известны затраты на перевозку груза от каждого поставщика каждому потребителю. Обозначим их cij,
,
. Запасы грузов у поставщиков равны ai,
. Известны потребности каждого потребителя bi,
. Будем считать, что суммарные потребности равны суммарным запасам:
.
Требуется составить такой план перевозок, чтобы обеспечить минимальные суммарные затраты при полном удовлетворении потребностей.
Введем переменные хij - количество груза, перевозимого от i-го поставщика j-му потребителю. Ограничения задачи выглядят следующим образом:
- потребности всех потребителей должны быть удовлетворены полностью:
(2.15)
или в общем виде:
, ![]()
- груз от поставщика должен быть вывезен полностью:
(2.16)
или в общем виде:
, ![]()
- условие неотрицательности переменных:
,
, ![]()
Целевая функция - минимизировать суммарные затраты на перевозку:
(2.17)
Количество поставщиков и потребителей в общем случае может быть произвольным.
2. ЛИНЕЙНОЕ ПРОГРАММИРОВАНИЕ
Временем рождения линейного программирования принято считать 1939г., когда была напечатана брошюра Леонида Витальевича Канторовича "Математические методы организации и планирования производства".
Американский математик А. Данциг в 1947 году разработал весьма эффективный конкретный метод численного решения задач линейного программирования (он получил название симплекс метода).
2.1. Понятие оптимизационной задачи
Оптимизационная задача – это экономико-математическая задача, которая состоит в нахождении оптимального (максимального или минимального) значения целевой функции, причем значения переменных должны принадлежать некоторой области допустимых значений.
В самом общем виде задача математически записывается следующим образом:
;
, (2.1)
где X = (x1, x2 , ... , xn);
W – область допустимых значений переменных x1, x2 , ... , xn ;
f(Х) – целевая функция.
Для того, чтобы решить задачу оптимизации, достаточно найти ее оптимальное решение, т. е. указать
такое, что
при любом
.
Оптимизационная задача является неразрешимой, если она не имеет оптимального решения. В частности, задача максимизации будет неразрешимой, если целевая функция f(Х) не ограничена сверху на допустимом множестве W.
Методы решения оптимизационных задач зависят как от вида целевой функции f(Х), так и от строения допустимого множества W. Если целевая функция в задаче является функцией n переменных, то методы решения называют методами математического программирования.
2.2. Понятие задачи линейного программирования
Линейное программирование является наиболее простым и лучше всего изученным разделом математического программирования. Характерные черты задач линейного программирования следующие:
1) показатель оптимальности f(X) представляет собой линейную функцию от элементов решения X = (x1, x2 , ... , xn);
2) ограничительные условия, налагаемые на возможные решения, имеют вид линейных равенств или неравенств.
Определение. Задачей линейного программирования называется задача исследования операций, математическая модель которой имеет вид:
(2.2)
(2.3)
(2.4)
. (2.5)
При этом система линейных уравнений (2.3) и неравенств (2.4), (2.5), определяющая допустимое множество решений задачи W, называется системой ограничений задачи линейного программирования, а линейная функция f(Х) называется целевой функцией или критерием оптимальности.
В частном случае, если I = Ø, то система (2.3) – (2.4) состоит только из линейных неравенств, а если I = M, то – из линейных уравнений.
При описании реальной ситуации с помощью линейной модели следует проверять наличие у модели таких свойств, как пропорциональность и аддитивность. Пропорциональность означает, что вклад каждой переменной в целевой функции и общий объем потребления соответствующих ресурсов должен быть прямо пропорционален величине этой переменной. Например, если, продавая j-й товар в общем случае по цене 100 рублей, фирма будет делать скидку при определенном уровне закупки до уровня цены 95 рублей, то будет отсутствовать прямая пропорциональность между доходом фирмы и величиной переменной xj. Т. е. в разных ситуациях одна единица j-го товара будет приносить разный доход. Аддитивность означает, что целевая функция и ограничения должны представлять собой сумму вкладов от различных переменных.
Примером нарушения аддитивности служит ситуация, когда увеличение сбыта одного из конкурирующих видов продукции, производимых одной фирмой, влияет на объем реализации другого.
Допустимое решение – это совокупность чисел (план) X = (x1, x2 , ... , xn), удовлетворяющих ограничениям задачи.
Оптимальное решение – это план, при котором целевая функция принимает свое максимальное (минимальное) значение.
2.3. Каноническая форма задачи линейного программирования
Если математическая модель задачи линейного программирования имеет вид:
; (2.6)
,
, (2.7)
,
, (2.8)
то говорят, что задача представлена в канонической форме.
Любую задачу линейного программирования можно свести к задаче линейного программирования в канонической форме. Для этого в общем случае нужно уметь сводить задачу максимизации к задаче минимизации; переходить от ограничений неравенств к ограничениям равенств и заменять переменные, которые не подчиняются условию неотрицательности. Максимизация некоторой функции эквивалента минимизации той же функции, взятой с противоположным знаком, и наоборот.
Правило приведения задачи линейного программирования к каноническому виду состоит в следующем:
1) если в исходной задаче требуется определить максимум линейной функции, то следует изменить знак и искать минимум этой функции;
2) если в ограничениях правая часть отрицательна, то следует умножить это ограничение на -1;
3) если среди ограничений имеются неравенства, то путем введения дополнительных неотрицательных переменных они преобразуются в равенства;
4) если некоторая переменная xk не имеет ограничений по знаку, то она заменяется (в целевой функции и во всех ограничениях) разностью между двумя новыми неотрицательными переменными: , где
- свободный индекс,
.
Пример 2.1. Приведение к канонической форме задачи линейного программирования:

Введем в каждое уравнение системы ограничений выравнивающие переменные x4, x5, x6. Система запишется в виде равенств, причем в первое и третье уравнения системы ограничений переменные x4, x6 вводятся в левую часть со знаком "+", а во второе уравнение вводится x5 со знаком "-".
.
Свободные члены в канонической форме должны быть положительными, для этого два последних уравнения умножим на -1:
.
В канонической форме записи задач линейного программирования все переменные, входящие в систему ограничений, должны быть отрицательными. Допустим, что
, где
,
.
Подставляя данное выражение в систему ограничений и целевую функцию и записывая переменные в порядке возрастания индекса, получим задачу линейного программирования, представленную в канонической форме:
.
2.4. Построение экономико-математических моделей задач линейного программирования
Процесс построения математической модели для решения поставленной задачи начинается с ответов на следующие вопросы:
1. Для определения каких величин должна быть построена модель, т. е. как идентифицировать переменные данной задачи?
2. Какие ограничения должны быть наложены на переменные, чтобы выполнялись условия, характерные для моделируемой системы?
3. В чем состоит цель задачи, для достижения которой из всех допустимых значений переменных нужно выбрать те, которые будут соответствовать оптимальному (наилучшему) решению задачи?
Далее остается только идентифицировать переменные и представить цель и ограничения в виде математических функций этих переменных.
Мы рассмотрели выше в п. 1.5.2 примеры типовых задач линейного программирования. Обобщая их, можно сделать следующие выводы.
1. Ограничения в задачах линейного программирования могут быть выражены как равенствами, так и неравенствами.
2. Линейная функция может стремиться как к максимуму, так и к минимуму.
3. Переменные в задачах всегда неотрицательны.
Напомним, что от любой из вышеперечисленных задач можно перейти к канонической (основной) задаче линейного программирования.
2.5. Графическое решение задачи линейного программирования
Графически способ решения задач линейного программирования целесообразно использовать для:
- решения задач с двумя переменными, когда ограничения выражены неравенствами;
- решения задач со многими переменными при условии, что в их канонической записи содержится не более двух свободных переменных.
Запишем задачу линейного программирования с двумя переменными:
- целевая функция:
(2.34)
- ограничения:
; (2.35)
. (2.36)
Каждое из неравенств (2.35) – (2.36) системы ограничений задачи геометрически определяет полуплоскость соответственно с граничными прямыми
; (
; х1 = 0; х2 = 0. В том случае, если система неравенств (2.35) – (2.36) совместна, область ее решений есть множество точек, принадлежащих всем указанным полуплоскостям. Так как множество точек пересечения данных полуплоскостей – выпуклое, то областью допустимых значений является выпуклое множество, которое называется многоугольником решений. Стороны этого многоугольника лежат на прямых, уравнения которых получаются из исходной системы ограничений заменой знаков неравенств на знаки равенств.
Областью допустимых решений системы неравенств (2.35) – (2.36) может быть:
- выпуклый многоугольник;
- выпуклая многоугольная неограниченная область;
- пустая область;
- луч;
- отрезок;
- единственная точка.
Целевая функция (2.34) определяет на плоскости семейство параллельных прямых, каждой из которых соответствует определенное значений Z.
Вектор
с координатами с2 и с1, перпендикулярный к этим прямым, указывает направление наискорейшего возрастания Z, а противоположный вектор – направление убывания Z.
Если в одной и той же системе координат изобразить область допустимых решений системы неравенств (2.35) – (2.36) и семейство параллельных прямых (2.34), то задача определения максимума функции Z сведется к нахождению в допустимой области точки, через которую проходит прямая из семейства Z = const, и которая соответствует наибольшему значению параметра Z.
Эта точка существует тогда, когда многоугольник решений не пуст и на нем целевая функция ограничена сверху. При указанных условиях в одной из вершин многоугольника решений целевая функция принимает максимальное значение.
Для определения данной вершины построим линию уровня
, проходящую через начало координат и перпендикулярную вектору
, и будем передвигать ее в направлении вектора
до тех пор, пока она не коснется последней крайней (угловой) точки многоугольника решений. Координаты указанной точки и определяет оптимальный план данной задачи.
Заканчивая рассмотрение геометрической интерпретации задачи (2.35) – (2.36), отметим, что при нахождении ее решения могут встретиться случаи, изображенные на рис. 2.1 – 2.4. Рис. 2.1 характеризует такой случай, когда целевая функция принимает максимальное значение в единственной точке А. Из рис. 2.2 видно, что максимальное значение целевая функция принимает в любой точке отрезка АВ. На рис. 2.3 изображен случай, когда максимум недостижим, а на рис. 2.4. – случай, когда система ограничений задачи несовместна. Отметим, что нахождение минимального значения Z при данной системе ограничений отличается от нахождения ее максимального значения при тех же ограничениях лишь тем, что линия уровня Z передвигается не в направлении вектора
, а в противоположном направлении. Таким образом, отмеченные выше случаи, встречающиеся при нахождении максимального значения целевой функции, имеют место и при определении ее минимального значения.

Рис. 2.1. Оптимум функции Z достижим в точке А

Рис. 2.2. Оптимум функции Z достигается в любой точке |АB|
Рис. 2.3. Оптимум функции Z недостижим

Рис. 2.4. Область допустимых решений – пустая область
Для практического решения задачи линейного программирования (2.34) – (2.36) на основе ее геометрической интерпретации необходимо следующее:
1. Построить прямые, уравнения которых получаются в результате замены в ограничениях (2.35) – (2.36) знаков неравенств на знаки равенств.
2. Найти полуплоскости, определяемые каждым из ограничений.
3. Определить многоугольник решений.
4. Построить вектор
.
5. Построить прямую
, проходящую через начало координат и перпендикулярную вектору
.
6. Передвигать прямую Z в направлении вектора
, в результате чего либо находят точку (точки), в которой функция принимает максимальное значение, либо устанавливают неограниченность функции сверху на множестве планов.
7. Определить точки координаты максимума функции и вычислить значение целевой функции в этой точке.
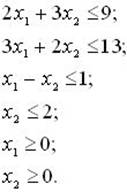
Пример 2.9. Рассмотрим решение задачи об ассортименте продукции (пример 2.2) геометрическим способом.
Решение
Построим многоугольник решений (рис.2.5). Для этого в системе координат X10X2 на плоскости изобразим граничные прямые:
2х1 + 3х2 = 9 (L1);
3х1 + 2х2 = 13 (L2);
х1 - х2 = 1 (L3);
х2 = 2 (L4).
Взяв какую-либо точку, например, начало координат, установим, какую полуплоскость определяет соответствующее неравенство. Полуплоскости, определяемые неравенствами, на рис. Показаны стрелками. Областью решений является многоугольник OABCD.
Для построения прямой Z = 3х1 + 4х2 = 0 строим вектор-градиент
и через точку 0 проводим прямую, перпендикулярную ему. Построенную прямую Z = 0 перемещаем параллельно самой себе в направлении вектора
. Из рис. следует, что по отношению к многоугольнику решений опорной эта прямая остановится в точке C, где функция принимает максимальное значение. Точка С лежит на пересечении прямых L1 и L3. Для определения ее координат решим систему уравнений:

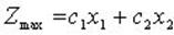
Оптимальный план задачи х1=2,4; х2=1,4. Подставляя значения х1 и х2 в линейную функцию, получим:
.
Полученное решение означает, что объем производства продукции П1 должен быть равен 2,4 ед., а продукции П2 – 1,4 ед. Доход, получаемый в этом случае, составит: Z = 12,8 д. е.

Рис. 2.5. Решение задачи линейного программирования геометрическим способом
2.6. Симплекс-метод
2.6.1. Геометрическая интерпретация симплексного метода
Если задача линейного программирования имеет оптимальное решение, то оно соответствует хотя бы одной угловой точке многогранника решений.
Следовательно, путь решения любой задачи линейного программирования: перебрать конечное число допустимых базисных решений системы ограничений и выбрать среди них то, на котором функция цели принимает оптимальное решение.
Геометрически это соответствует перебору всех угловых точек многогранника решений.
Число перебираемых угловых точек можно сократить, если производить перебор с учетом изменений линейной функции, т. е. добиваясь того, чтобы каждое следующее решение было "лучше" (или, по крайней мере, "не хуже"), чем предыдущее, по значениям линейной функции (увеличение ее при отыскании максимума F -> max, уменьшение — при отыскании минимума F-* min).
Пусть область допустимых решений изображается многоугольником ABCDEGH (рис. 5.1). Предположим, что его угловая точка А соответствует исходному допустимому базисному решению. При беспорядочном переборе пришлось бы испытать семь допустимых базисных решений, соответствующих семи угловым точкам многоугольника. Однако из чертежа видно, что после вершины А выгодно перейти к соседней вершине В, а затем — к оптимальной точке С.

Вместо семи перебрали только три вершины, последовательно улучшая линейную функцию.
Идея последовательного улучшения решения легла в основу универсального метода решения задач линейного программирования — симплексного метода.
Геометрический смысл симплексного метода состоит в последовательном переходе от одной вершины многогранника ограничений (называемой первоначальной) к соседней, в которой линейная функция принимает лучшее (по крайней мере, не худшее) значение (по отношению к цели задачи) до тех пор, пока не будет найдено; оптимальное решение — вершина, где достигается оптимальное значение функции цели (если задача имеет конечный оптимум).
1 Симплекс (лат. simplex — простой) — простейший выпуклый многогранник в n-мерном пространстве с п+1 вершиной (например, тетраэдр в 3-мерном пространстве); симплексом является также область допустимых
Решений неравенства вида
Симплексный метод является универсальным методом и позволяет решить любую задачу линейного программирования. В настоящее время он используется для компьютерных расчетов, однако несложные примеры с применением симплексного метода можно решать и вручную.
Для реализации симплексного метода — последовательного улучшения решения — необходимо освоить три основных элемента:
• способ определения какого-либо первоначального допустимого базисного решения задачи;
• правило перехода к лучшему (точнее, не худшему) решению;
• критерий проверки оптимальности найденного решения.
Для использования симплексного метода задача линейного программирования должна быть приведена к каноническому виду, т. е. система ограничений должна быть представлена в виде равенств.



