ЦЕЛЬ И ЗАДАЧИ КУРСОВОЙ РАБОТЫ ПРИ ПОДГОТОВКЕ ИНЖЕНЕРА ПО ПРОФИЛЮ ГОРОДСКОЕ СТРОИТЕЛЬСТВО И ХОЗЯЙСТВО
Проектирование как отрасль производственной деятельности представляется в современных условиях важнейшим звеном в осуществлении общегосударственных планов капитального строительства, в развитии всего культурно-хозяйственного комплекса российских регионов.
Процесс разработки проекта здания включает пакет документов: чертежей, пояснительных записок, расчетов и визуализации. Конечная цель разработки проекта – представить заказчику будущее здание в ортогональных и трехмерных изображениях от фундаментов до покрытий и конструктивно обосновать необходимые сечения несущих и ограждающих конструкций.
В рамках курсовой работы по дисциплине “Архитектура городских сооружений. Планировка и застройка населенных мест”, рассмотрим технологию, алгоритм принятия и обоснования решений по разделам:
- схема организации земельного участка;
- архитектурные решения;
- объемно-планировочные и основные конструктивные
решения;
- интерьеры.
Удовлетворяя самым разнообразным нуждам общества, в гражданских зданиях воплощаются и самые разнообразные объемно-планировочные решения. Не смотря на это разнообразие, можно квалифицировать гражданские здания с конструктивной точки зрения на две основные группы:
1. Здания с набором мелких помещений, так называемого ячейкового типа, в которых можно использовать обычные конструктивные элементы, применяемые в жилом строительстве (плиты перекрытия, балки, колонны, каменные несущие стены и т. д.);
2.Здания с большими помещениями, зального типа, где для их покрытия требуются конструкции большего пролета.
Выполнение курсовой работы на тему "Многофункциональное зданий" это важная часть практической подготовки студентов строительной специальности профиля Городское строительство и хозяйство. Цель ее - обучить будущих специалистов функциональным, физико-техническим, эстетическим и экономическим основам архитектурно-строительного проектирования и объемно-пространственного.
В ходе курсовой работы студенту необходимо приобрести навыки архитектурно-конструктивного проектирования гражданского здания, изучить справочную и нормативную литературу, ознакомиться с прогрессивными, новационными достижениями строительной техники и выбрать наиболее эффективное конструктивное решение.
Темой курсовой работы может быть жилое здание с помещениями соцкультбыта (магазины, парикмахерские, спортивные, семейный детский сад и т. д). Основой для разработки здания являются схемы (архитектурные, объемно-планировочные и конструктивные решения).
1. СОСТАВ ПРОЕКТА
№ | Наименование | Масштаб |
1. | Схема планировочной организации территории земельного участка | 1:500 1:1000 |
2. | Планы первого и типового этажей | 1:100 1:200 |
3. | Разрезы | 1:100 1:50 |
4. | Фасады | 1:100 |
5. | Конструктивные узлы | 1:10 1:20 |
6. | Технико-экономические показатели |
![]()
Объем графической части - 8 листа формата А3. Проект выполняется в три этапа.
I этап изучение задания, справочной и нормативной литературы.
II этап - разработка архитектурно-строительных чертежей, графическое оформление.
1.1МЕТОДОЛОГИЯ РАЗРАБОТКИ АРХИТЕКТУРНЫХ, ОБЪЕМНО-ПЛАНИРОВОЧНЫХ И КОНСТРУКТИВНЫХ РЕШНИЙ
Рис. 1.1 - Физико-технические основы проектирования

Рис.1.2 Функциональные основы проектирования

Рис. 1.3 – Объемно-планировочное решение проектируемого
здания

Рис. 1.4 – Конструктивные элементы. Выбор решения

Рис. 1.5 – Факторы влияющие на планировочную структуру
квартиры

Рис. 1.6 – Инженерное оборудование гражданских зданий

Рис. 1.7 – Архитектурно художественный облик здания

Рис. 1.8 – Интерьеры гражданских зданий
2. СХЕМА ПЛАНИРОВОЧНОЙ ОРГАНИЗАЦИИ ТЕРРИТО - РИИ ЗЕМЕЛЬНОГО УЧАСТКА (СХЕМА ГЕНПЛАНа).
Генеральный план разрабатывается как для всего земельного участка поселения (города, поселка и т. д) так и для локального участка, в соответствии с регламентом использования территории.
На схеме генерального плана необходимо указать:
- разбивочный план. Краткая характеристика земельного участка с горизонтальными привязками к существующим зданиям, сооружениям и экспликацией сложившейся застройки. Разрабатывается функциональное зонирование территории. Планирование земельного участка для размещения общественных, хозяйственных и социальных зон. Прорабатываются транспортные коммуникации.
- план благоустройства и озеленения. Производится посадка малых архитектурных форм, элементов озеленения, подбор дорожных и пешеходных одежд.
Чертежи выполняются с применением цвета, допускаются монохромная подача.
3. ОБЪЕМНО-ПЛАНИРОВОЧНОЕ РЕШЕНИЕ ЗДАНИЯ
Проектирование современных гражданских зданий осуществляется на основе единой модульной системы (ЕМС), которая предусматривает согласование размеров здания с размерами выпускаемых строительных конструкций и изделий.
Основными параметрам здания в плане являются шаг и пролет. Их размеры могут быть приняты кратными укрупненным модулям (1.2; 2.4; 3.6; 4.8, 6.0; 7.2; 9.0; 12.0; 15.0; 18,0; 20,0 м).
Высота этажа - расстояние от уровня пола данного этажа до уровня пола вышележащего этажа, берется равной 2,7; 3,0; 3,3; 4,2; 4,8; 6,0 м.
3.1. Планы этажей общественного назначения разрабатываются с учетом требований СНИП "Общественные здания и сооружения".
При входах в здания, предназначенные для непосредственного обслуживания населения, предусматриваются пандус и тамбуры глубиной не менее 1,2 м. Отметка пола : помещения у входа в здание должна быть выше отметки тротуара перед входом не менее, чем на 0,15 м.
Лестничные марши и площадки должны иметь ограждения с поручнями. Число подъемов в одном марше назначается не менее 3-х и не более 16. Уклон лестничных маршей в надземных этажах следует принимать не более 1:2, для подсобных лестниц - не более, чем 1:1,5. Ширина лестничного марша должна быть не менее ширины выхода на лестничную клетку с наиболее населенного этажа, но не менее - 1,2 и 1 - для остальных зданий и для лестниц, ведущих в помещения, не связанные с пребыванием посетителей. 0,9 м - для лестниц, ведущих в помещения с числом людей в них не более 5 чел.
Ширина лестничных площадок должна быть не менее ширины марша. Ширина проступи лестницы обычно назначается 30 см, высота подступенка – h = 15 см. В общественных здания высотой более 6 этажей (высота более 18 м) проектируется не менее 2-х лестниц, причем 2- я лестница может быть открытой наружной с уклоном не более 45° для детских дошкольных учреждений и не более 60° для остальных общественных помещений в структуре здания.
Лестничные клетки должны иметь естественное освещение (кроме лестниц подвалов).
Ширину эвакуационного выхода из коридора на лестничную клетку принимают из расчета 1 м ширины выхода (двери) на 165 человек. Однопольные двери могут иметь ширину 600, 700, 800, 890 и 1020 мм; двупольные - 1290, 1390,1490. Высота дверей 2.000 и 2300 мм. Входные двери должны открываться наружу.
Ширина горизонтальных проходов, пандусов и лестниц на путях следования к общественным помещениям - 1,2 м. Ширина дверных проемов в помещениях с единовременным нахождением людей более 50 чел. - 1,2-2,4 м.
3.2. Санитарные узлы гражданских зданий в разрезе общественных функций следует размещать изолированно от других помещений на расстоянии не более 75 м от наиболее удаленного места постоянного пребывания людей, как правило, вблизи вестибюлей и лестничных клеток. Санузлы должны иметь естественное освещение. Входы в них устраиваются через шлюзы-умывальники. В шлюзах устанавливаются умывальники из расчета 1 умывальник и 4 кабины, а при меньшем количестве кабин - 1 умывальник на каждый санитарный узел. Размеры кабин в чистоте следует принимать 1,2 х 0,85 м. Ширина проходов между двумя рядами кабин.- 1,5 м, между кабиной и стеной - 1,3 м.
3.3. Планировочная структура помещений жилого фонда городских территорий.
Формообразование главных и второстепенных помещений, их сочетание строится на основе гармонизации и психофизиологических закономерностей внутреннего пространства.
В архитектурном проектировании гражданских зданий сложились два основных метода построения их архитектурно-планировочной композиции в зависимости от различного подхода к формированию внутреннего пространства зданий.
Первый метод, наиболее традиционный, основан на четком разделении всех помещений на однородные функциональные группы, выделение ядра композиции и элементов функциональных связей.
Система организации жизни в здании в том случае соответствует внутренним пространствам.
Второй метод, соответствующий требованиям современной архитектуры, основан на универсальности и многообразном использовании внутреннего пространства путем создания единого укрупненного гибкого внутреннего пространства с простым очертанием объема.
В любом случае функциональные группы формируются на основе расчленения внутреннего пространства специальными конструкциями – передвижными перегородками.
В целом выбор того или иного метода построения архитектурно-планировочной композиции зависит от конкретных функциональных градостроительных и художественно образных задач и условий проектирования общественного здания.
Очевидно, что группировка внутренних пространств также влияет на композиционное решение гражданского здания.
В одних случаях, когда ядро композиции располагается по оси симметрии, а второстепенные помещения группируются вокруг него, формируется симметричная схема.
В других, когда ядро композиции располагается внецентренно, а соподчиненные элементы свободно группируются по отношению к нему, создается асимметричная схема композиции.
В зависимости от характера функциональных процессов группировка помещений должна учитывать:
- во-первых, взаимосвязи помещений, требующие непосредственного сопряжения помещений (например, зал и сцена вестибюль и гардероб и т. п.);
- во-вторых, взаимосвязи помещений при помощи горизонтальных и вертикальных коммуникаций (коридоры, лестницы и пр.).
Один и тот же функциональный процесс может иметь несколько рациональных схем организации внутреннего пространства или объемно-планировочных схем.
Выбор той или иной планировочной схемы определяется характером самих функциональных процессов, но во всех случаях структура среды должна соответствовать структуре функций.
Известные возможные сочетания пространств внутри здания сводятся к шести основным схемам: ячейковой, коридорной, анфиладной, зальной, павильонной и смешанной или комбинированной (рис. 3.3).
Ячейковая схема состоит из частей, в которых функциональные процессы проходят в небольших равновеликих пространственных ячейках (например, детские и школьные здания, лечебные и административные учреждения).
Самостоятельно функционирующие ячейки могут иметь общую коммуникацию, связывающую их с внешней средой.
|
Коридорная схема складывается из сравнительно небольших ячеек, вмещающих части единого процесса и связанных общей линейной коммуникацией, коридором (общежития).
Ячейки могут располагаться с одной или с двух сторон связывающего их коммуникационного коридора.
Анфиладная схема представляет собой ряд помещений, расположенных друг за другом и объединенных между собой сквозным проходом.
Такая схема используется при единстве функционального процесса, требующего лишь незначительной степени подразделения его частей, раскрывающихся одна в другую. Анфиладная схема применяется в зданиях музеев, выставок, некоторых типов магазинов и предприятий службы быта (салонный тип).
Зальная схема основана на создании единого пространства для функции, требующих больших нерасчлененных площадей, вмещающих массы посетителей.
Зальная схема характерна для зрелищных, спортивных зданий, крытых рынков и т. п.
Павильонная схема построена на распределении помещений или их групп в отдельных объемах павильонах, связанных между собой единым композиционным решением (генеральным планом), например, павильонный рынок, торгово-развлекательный комплекс, состоящий из павильонов «овощи фрукты», «мясо», «молоко», досуговых зон; дома отдыха с павильонами спальных корпусом и т. п.
Зальная схема обычно дополняется группами второстепенных помещений, имеющих коридорную пли анфиладную схемы.
В таких случаях создаются комбинированные схемы путем сочетания и совместного использования перечисленных выше схем (бескоридорная, коридорно-кольцевая, анфиладно-кольцевая, ячейково-зальная).
Таковы, например, клубы, библиотеки, Дворцы культуры, в которых смешанная схема вызывается сложностью функциональных процессов.
Перечисленные выше схемы группировки пространств внутри зданий являются основой при формировании различных композиционных схем общественных зданий и комплексов: компактной, протяженной и расчлененной.
Компактная композиционная схема включает зальную и комбинированную схемы группировки помещений.
Протяженная (линейная) схема композиции основана на коридорной и анфиладной группировке помещений.
Расчлененная композиционная схема формируется по принципу павильонной системы.
3.4. Входная группа общественных зданий
Входную группу проектируют при каждом входе. В зависимости от назначения здания и системы его загрузки и эвакуации устраивают:
- объединенные входы и выходы (наиболее распространенный прием);
- раздельные входы и выходы (в магазинах, кинотеатрах, музеях и т. п.);
- раздельные входы и выходы для мужчин и женщин (в банях, спортивных павильонах и др.)
Входная группа помещений является в большинстве видов зданий обязательной составной частью. Она включает в себя входные тамбуры, вестибюль, гардероб и подсобные помещения.
Тамбур – часть помещения между наружной и внутренней дверями или небольшая пристройка к зданию перед дверями для защиты от ветра, холода и жары и т. п. входные тамбуры – это воздушно-тепловые шлюзы у входа в здание (рис. 10).
|
При решении планировки входных тамбуров необходимо учитывать свободное движение людских потоков, поэтому их глубина должна быть не менее
полуторной ширины створки двери. Минимальная глубина тамбура определяется как ширина дверного полотна плюс 20 см, минимальная ширина равна ширине дверного полотна плюс 15 см с двух сторон.
По конструкции тамбуры могут быть встроенными в стену, пристроенными изнутри или снаружи.
Прямой вход в тамбур устраивают при интенсивном людском потоке, сложную планировку применяют при малой интенсивности и только в зимний период. При размещении дверей необходимо обеспечить удобное и полное закрывание первой двери до начала открывания следующей. В тамбурах не допускается устройство киосков, лотков и других устройств, затрудняющих беспрепятственное движение людских потоков.
По эвакуационным требованиям все двери тамбура должны открываться наружу. В зданиях с интенсивными людскими потоками допускается открывание дверей на 90° в обе стороны от плоскости их проемов.
Вестибюль – большое коммуникационное помещение с распределительными функциями перед входом во внутреннюю часть здания. Обычно является местом соединения горизонтальных и вертикальных коммуникаций зданий. С вестибюля начинается внутренне архитектурное пространство здания. В вестибюле формируются людские потоки и создается первое впечатление о комфортабельности здания.
Планировка и пространственное построение вестибюля определяется назначением, размерами здания и его вместимостью и могут быть трактованы разнообразно: от камерного вестибюля детского сада до парадного и представительного в театре или большом административном здании.
Основные требования к архитектурному решению вестибюля обусловлены необходимостью хорошего раскрытия перспектив лестниц, лифтов и залов для хорошей ориентации людей, а также устройством естественного освещения.
Количество вестибюлей зависит от количества входов в здание. Как правило, в здании устраивают один главный вход, служебные и вспомогательные входы (в зрелищных зданиях вестибюль для зрителей и артистов, в спортивных
сооружениях – для зрителей и спортсменов). Соответственно вестибюли бывают главные, служебные и вспомогательные.
Площадь вестибюля с гардеробом определяют исходя из вместимости здания:
- для зданий с массовыми потоками 0,25 - 0,35 м2 / чел.;
- для зданий с равномерными потоками 0,15 - 0,2 м2 / чел.
В практике проектирования распространены следующие варианты компоновки вестибюлей (рис. 3.4.1):
- фронтальная симметричная – а, б;
- глубинная симметричная – в;
- асимметричная с вынесением лифтов в сторону от оси – г.
Планировка вестибюля может быть в одном уровне, либо в двух уровнях с размещением гардероба в цокольном этаже при удобных вертикальных связях (эскалаторы, лифты и лестницы).
Пространство вестибюля должно быть максимально свободным для размещения людских потоков. Поэтому, не зависимо от
конструктивной системы здания вестибюль проектируют каркасным, используя размещение колонн для разделения людских потоков и организации их движения.
Чтобы сохранить помещения от охлаждения в зимнее время, устраивают аванвестибюль, представляющий промежуточное помещение между тамбурами и вестибюлями, или воздушные тепловые завесы у входа в здание (рис. 11, а ).
Перед входом оборудуется приподнятая над уровнем прилегающей территории входная площадка. Отметка пола помещения у входа в здание выше отметки тротуара перед входом не менее чем на 15 см.
Для защиты от осадков и солнца устраивают навес над входом.
|
Гардероб – помещение для хранения одежды и вещей посетителей здания. Гардеробы должны быть расположены вблизи входов, но несколько в стороне от пути движения, так, чтобы они не нарушали взаимосвязи вестибюля с лестницами, лифтами, залами и другими частями здания.
В композиционном отношении гардеробы – органическая часть вестибюля. Их планировка зависит от приема построения вестибюльной группы в целом (см. рис.11).
Гардероб оборудуют вешалками из расчета 7-8 крючков на 1 пог. м. Расчетной единицей служит одно место на вешалке. Площадь гардеробной за барьером принимают из расчета 0,08 м2/место – при вешалках консольного типа и 0,1 м2/место - при обычных и подвесных.
В зависимости от размещения более распространенны следующие типы гардеробов: односторонний, двухсторониий и островные (рис. 12).
|
Гардеробы могут быть централизованными и рассредоточенными.
При одновременном массовом пользовании гардеробом фронт (длина) барьера составляет 1 пог. м. на 30 чел. и в зданиях с немассовым равномерным движением – на 50 – 60 чел. Барьер для выдачи одежды имеет ширину 0,6 – 0,7 м и удаляется от вешалок на 0,8 – 1 м.
3.5. Группа основных помещений.
В этих помещениях осуществляются процессы, определяющие основное назначение общественных зданий. К основным относятся офисные помещения административных зданий, классы и аудитории учебных заведений, палаты и кабинеты лечебных учреждений, помещения массового пользования и др.
Опыт проектирования и эксплуатации общественных зданий показывает, что рациональная компоновка основных помещений может быть достигнута при полном учете специфических требований функциональных процессов, оптимальной естественной освещенности и целесообразном решении эвакуационных путей.
При планировке помещений для массового пребывания людей (зрительные и лекционные залы, залы собраний и др.) стремятся создать оптимальные условия видимости, удобств обслуживания, а также обеспечить безопасность при вынужденной эвакуации. Согласно этим условиям выбирают приемлемую форму зала, в наилучшей степени удовлетворяющую и архитектурно- художественным требованиям.
Соотношение размеров отдельных помещений устанавливается на основе функционально-типологических требований, в соответствии с требованиями СНиП зданий и сооружений соответствующего профиля.
3.5.1 Разработка объемно-планировочного решения многоквартирного жилого дома
По заданию на проектирование имеется расчетное количество проживающих, в соответствии с СП 54.13330.2011 норма обеспеченности общей площади на человека 18-24 м2 в зависимости от региона строительства.
3.6 Группа подсобных и вспомогательных помещений.
Санитарные узлы – помещения санитарно-гигиенического назначения, сгруппированные в узлы (туалеты, умывальники, ванные, душевые, сушилки для одежды и т. п.). Эти помещения оборудуются водопроводом и канализацией, что определяет группировку и размещение их в здании. Гигиенические помещения необходимо изолировать от других помещений и группировать в особые узлы как в плане одного этажа, так и по вертикали друг над другом.
Помещения санитарно-гигиенических узлов в жилом помещении должно удовлетворять ряду требований:
- для квартир-студий площадью до 45 м2, а также
однокомнатных квартир – совмещенный;
- площадь туалета – 1.2–1.6 м2, ванной комнаты 3.2-4.8 м2.
Помещения туалетов, расположенных в общественных помещениях в соответствии со СНиПом, располагаются на расстоянии, не превышающем 75 м от наиболее удаленного места пребывания людей. Входы в сан. узлы предусматриваются через шлюзы с умывальниками.
Обычно кабины с приборами и оборудованием блокируются около внутренней стены. Двери в кабины открываются наружу.
Количество приборов в санузлах (унитазов, душей, умывальников и т. п.) и их площади определяются в зависимости от количества людей в здании. Расчет количества приборов ведется с учетом соотношения мужчин и женщин, находящихся в здании, и зависит от типа здания.
4. КОНСТРУКТИВНЫЕ РЕШЕНИЯ ГРАЖДАНСКИХ ЗДАНИЙ
4.1 Общие положения
Гражданские здания наиболее многочисленны и разнообразны по своему назначению (жилые, общественные), функциональным особенностям, габаритам, планировке, этажности и облику. В соответствии с этим также разнообразны и конструкции зданий, являющиеся одним из главных тектонических средств архитектуры.
Чтобы свободно творчески компоновать различные общественные здания необходимо в совершенстве знать современные инженерные конструкции и умело применять их в соответствии с их возможностями и экономикой. Конструктивное решение здания в целом определяется на первом этапе проектирования выбором конструктивной системы и конструктивной схемы.
Конструктивная система представляет собой совокупность взаимосвязанных конструктивных элементов здания, обеспечивающих его прочность, устойчивость и необходимый уровень эксплуатационных качеств.
Конструктивные элементы, из которых состоит здание, в зависимости от их назначения разделяют на две основные группы – несущие и ограждающие.
Несущие конструкции в совокупности образуют пространственную систему – сочетание вертикальных и горизонтальных элементов, которую называют несущим остовом здания.
Различают несколько видов основных несущих элементов см. рис.15
|
– стержни, пластины (плиты), пространственные оболочки и массивные или трехмерные тела
Стержень (стойка) – простейший элемент, у которого два измерения(толщина и ширина) малы по сравнению с третьим – длинной.
Пластина (плита) – это элемент, у которого одно измерение – толщина – мало по сравнению с двумя другими. Криволинейные плиты называются оболочками.
Массивными являются элементы, у которых все три генеральных размера примерно одного порядка.
В зависимости от внешнего вида несущей конструкции (ее похожесть на стойку, пластину, оболочку и объемный элемент) различают пять классических (основных) конструктивных систем: стеновую, каркасную, объемно-блочную, ствольную и оболочковую.
Наряду с основными конструктивными системами широко применяют и комбинированные, в которых вертикальные несущие конструкции компонуются из разнотипных элементов. Наиболее распространенные из них см. рис. 4.1.2.
Обычно на начальном этапе проектирования принимают конструктивную схему здания, руководствуясь принципом взаимного размещения в пространстве вертикальных несущих конструкций (например, продольного, поперечного).
Применяют различные конструктивные схемы (рис.4.1.3):
- с поперечными несущими стенами;
- с продольными несущими стенами;
- с продольно-поперечными несущими стенами.
При поперечных несущих стенах наружные продольные стены являются только теплоизоляционными и могут быть самонесущими и навесными.
|
При конструктивной системе – неполный каркас (каркасно-стеновая), без наружного ряда колонн, применяют несущие панели, которые передают нагрузки не только от вышележащих панелей, но и от перекрытий.
|
4.2. Каркас, его особенности
По характеру статистической работы все несущие конструкции подразделяются на плоскостные и пространственные. В плоскостных – все элементы работают под нагрузкой автономно, как правило, в одном направлении и не участвуют в работе конструкций, к которым они примыкают. В пространственных – все или большинство элементов работают в двух направлениях и участвуют в работе сопрягаемых с ними конструкций.
Благодаря этому повышается жесткость и несущая способность пространственных конструкций и снижается расход материалов на их изготовление. Выбор типа и материала несущих конструкций при проектировании определяется величинами перекрываемых пролетов. При малых пролетах применяют простые плоскостные и стержневые конструкции, при больших – более сложные пространственные.
Стоечно-балочная конструкция (рис.18) является наиболее простой и распространенной среди плоскостных.
Она состоит из вертикальных и горизонтальных стержневых несущих элементов. Вертикальный элемент – с т о й к а (колонна, столб) – представляет собой прямолинейный стержень, который воспринимает все вертикальные нагрузки от горизонтального элемента (балки), горизонтальные нагрузки, приходящиеся на стойку, и передает усилия от этих воздействий на фундамент. При этом сама стойка работает на сжатие и изгиб. Горизонтальный элемент стоечно - балочной системы – балка (брус) – прямолинейный стержень, работающий на поперечный изгиб под действием вертикальных нагрузок. Сопряжения вертикальных и горизонтальных элементов могут иметь различную жесткость, что отражается на характере их совместной работы.
При шарнирном опирании балок обладают свободой горизонтальных перемещений и поворота на опоре, в связи с этим они передают на стойки только вертикальные усилия. При жестком сопряжении балки со стойкой обеспечивается совместность их деформаций и перемещений в узле сопряжения и возможность передачи изгибающего момента от балки на стойку. Такой вариант стоечно-балочной системы носит название рамы или рамной конструкции, а жесткий узел сопряжения балки со стойкой – рамного узла.
Стоечно-балочные конструкции выполняют с различным числом пролетов и ярусов (этажей). Система несущих конструкций здания в виде многопролетной и многоэтажной стоечно-балочной конструкции называется каркасной системой.
По характеру статической работы различают три системы каркасов рамную, рамно-связевую и связевую. В рамных каркасах все вертикальные и горизонтальные нагрузки воспринимают рамы с жесткими узлами. Каркас состоящий из поперечных и продольных рам (рамный каркас), обладает пространственной жесткостью: его деформации под влиянием силовых воздействий минимальны и не нарушают эксплуатационных качеств здания.
Каркас из стоечно-балочных конструкций с шарнирными сопряжениями пространственной жесткостью не обладает. Для ее обеспечения вводятся специальные конструкции вертикальных связей, и вся система несущих конструкций здания называется каркасно-связевой или связевым каркасом. В качестве связей могут быть использованы отдельные стены (диафрагмы жесткости), рамы, раскосы и др.
В рамных и связевых каркасах горизонтальными диафрагмами жесткости служат конструкции перекрытий. Каркасные конструкции применяют в общественных зданиях при необходимости организации открытых внутренних пространств большой площади или многократной трансформации планировочных решений.
Стоечно-балочные конструкции зародились в глубокой древности.
В современном строительстве стоечно-балочные конструкции выполняют преимущественно из железобетона, реже из стали или дерева либо в сочетании железобетона и стали (например, железобетонные колонны и стальные фермы).
Конструктивные модификации элементов стоечно-балочных конструкций чрезвычайно разнообразны. Каркас проектируют, как правило, сборным железобетонным.
В действующем общероссийском унифицированном каркасе для гражданских зданий принята сетка колонн 6.6,6.4,5 и 6.3, в ряде случаев применяют и другие – (6+3) .6; 9.6; (9+3+9) .6; (9+6+9) .6 м.
Сечение всех колонн принято 400.400 мм (рис. 4.2).
|
Одноэтажные колонны приняты для этажей высотой 2,4; 3,0; 3,3; 3,6; 4,2;4,8; 6,0; 7,2 м.
Двухэтажные колонны для этажей высотой 3,0; 3,3; 3,6 м. Трех - и четырехэтажные колонны длиной до 14,4 м. Стыки колонн промежуточных этажей выполняют в уровне 730 мм над верхом ригелей перекрытия (для удобства монтажа) (рис. 20).
|
Фундаменты под колонны, в основном, отдельно стоящие
(рисунок 4.2.2)
|
Ригели в каркасной системе приняты таврового сечения с полками в нижней зоне для опирания элементов перекрытий (рис. 4.2.3).
|
Высота ригелей на опоре:
- 300 мм для пролетов до 9 м включительно;
- 600 мм для пролета 12 м;
- 450 мм для легкого каркаса (рядовые);
- 900 мм для тяжелого каркаса (рядовые);
- 480 мм для легкого каркаса (фасадные).
Все ригели устанавливают на консоли колонн.
Панели перекрытий в каркасных системах применяют многопустотные
высотой 220 мм (для пролетов 6 и 9 м) и 300 мм (для пролета 12 м), ребристые и панели типа «ТТ» и «Т» высотой 600 мм (для пролетов 9 и 12 м) (рис.4.2.4).
4.РАЗРАБОТКА АРХИТЕКТУРНЫХ, ОБЪЕМНО-ПЛАНИРОВОЧНЫХ И КОНСТРУКТИВНЫХ РЕШЕНИЙ ЗДАНИЯ НА ПРИМЕРЕ ЖИЛОГО ДОМА С ВСТРОЕННО-ПРИСТРОЕННЫМИ ПОМЕЩЕНИЯМИ ОБЩЕСТВЕННОГО НАЗНАЧЕНИЯ
Разработка проектных решений осуществляется при помощи автоматизированных графических программных комплексах
4.1 Планы здания
На планах изображается все конструктивные элементы, попадающие в горизонтальное сечение на уровне оконных проемов. На планах требуется указать следующие данные:
- координационные оси и расстояния между ними и между крайними осями;
- отметки участков, расположенных на разных уровнях;
- направление и величину уклона полов;
- толщину стен и перегородок и их привязки в виде цепочек размеров;
- условные линии разрезов и направление взгляда;
- все проeмы в стенах и перегородках;
- открывание дверей;
- размеры и размерные линии.
Наименование можно указать на планах или проставить их номера в кружочках диаметр, а названия вынести в экспликацию помещений.
Площадь помещения проставляется в правом нижнем углу и подчеркивается толстой линией.
4.2 Разрезы
Линия разреза должна проходить по проемам окон, дверей пли ворог, по лестнице.
На разрезах изображают элементы здания, попадающие сечение и расположенные в непосредственной близости сечения. В зданиях без подвалов фундаментов не показывают, изображается в виде одной толстой линии, полы на перекрытии и кровля - в виде одной тонкой линии.
Состав и толщина слоев чердачного перекрытия и покрытия указываются в выносной надписи.
На разрезах следует обязательно указать:
- координационные оси, размеры между ними и между
крайними осями;
- отметки: уровня земли, полов этажей и площадок, верха
стен, карнизов, уступов стен, верха крыши, верха и низа
проемов.
4.3. Фасады
На фасадах следует указать:
- координационные оси: крайние, у деформационных швов, у перепада высот, в местах уступов в плане. Размеры между осями не указывают;
- отметки: уровня земли входных площадок, верха стен, и верха проемов, элементов фасадов, расположенных на разных уровнях.
5. План ФУНДАМЕНТОВ
Выполняется тонкой сплошной линией. Указываются:
- координационные оси и размеры между ними;
- толщина фундаментов и их размеры (в виде продольных и поперечных линий с цепочками размеров);
- сборные фундаменты вычерчиваются с указанием раскладки блоков. Блоки должны маркироваться (например, БФ-1, БФ-2).
6. План ПЕРЕКРЫТИЙ
На планах перекрытий указывается раскладка элементов заводского изготовления с их маркировкой.
Обязательно изображаются:
- координационные оси и размеры между ними;
- наружные грани стен - тонкой сплошной линией;
- внутренние грани стен под элементами перекрытий - тонкой штриховой линией;
- цепочкой размеров указывается ширина элементов
перекрытий;
- крепление плит перекрытий в кладке и между собой
анкерами.
7. План КРОВЛИ (КРЫШИ)
Вычерчивается тонкой основной линией. Наносят:
- координационные оси крайние, у деформационных швов, в мечах уступов в плане, у перепадов высоты, у водоприемных воронок) и расстояние между ними;
- схематический профиль кровли (крыши) с указанием управления и величины уклонов (накладывается на план кровли, изображается толстой линией;
- если конструкция стропильная - вычерчивается план стропил.
8. ТЕХНИКО-ЭКОНОМИЧЕСКИЕ ПОКАЗАТЕЛИ
8.1. Общая площадь гражданского здания - это сумма площадей всех этажей (включающаяся технические, мансардные; цокольные и подвальные) площадь этажей измеряется в пределах внутренних поверхностей наружных стен. Площадь антресолей, переходов в другие здания, остекленных веранд, галерей и балконов залов включают в общую площадь.
8.2. Полезная площадь определяется как сумма площадей всех помещений, а также балконов, антресолей, за исключением лестничных клеток, лифтовых шахт, внутренних открытых лестниц и пандусов. Площадь помещений измеряете, между поверхностями стен и перегородок на уровня пола.
8.3. Строительный объем определяется как сумма строительных объемов надземной, и подземной частей здания.
Строительный объем определяется в пределах ограничивающих поверхностей с включение ограждающих конструкций, световых фонарей, куполов др., начиная с отметки чистого пола каждой части здания, без учета выступающих архитектурных элементов (террас, балконов, объема проездов под зданием и т. п.).
8.4. Площадь застройки определяется как площадь горизонтального сечения по внешнему обводу на уровне цоколя, включая выступающие части.
Технико-экономические показатели указываются на листе.
По общественным зданиям в процессе проектирования выявляются следующие объемно - планировочные показатели:
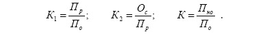
Пр – рабочая площадь (сумма площадей всех помещений, за исключением коридоров, тамбуров, переходов, и помещений для размещения инженерных
сетей и оборудования – бойлерные, вент. камеры, машинные отделения лифтов и т. п.);
По – общая площадь здания;
Ос – строительный объем здания, включая объем выступающих над плоскостью крыши световых фонарей и куполов;
К1 – отношение рабочей площади к общей площади здания;
К2 – отношение строительного объема к рабочей площади здания;
К3 – отношение площади наружных ограждений (Пно) к общей площади здания;

Пример графического оформления и авторские решения представлены в интерактивном электронном приложении.
СПИСОК РЕКОМЕНДУЕМОЙ ЛИТЕРАТУРЫ
1. Архитектурное проектирование общественных зданий и сооружений: учебник для вузов. – М.: Архитектура - С, 2007. – 543 с.
2. Архитектура гражданских и промышленных зданий. Гражданские здания: учебник для вузов по спец. ПГС/ под общей редакцией , . – М.: Стройиздат, 2006. – 509 с.
3. Архитектурные конструкции , . – М.: Высшая школа, 1986.
5. Архитектурная типология зданий и сооружений: Учебник для вузов , . – М.: Стройиздат, 1999. – 240 с.
6. Функция, форма и образ в архитектуре . – М.: Стройиздат,1986. – 288 с.
7. Конструкции гражданских зданий: учебник для втузов: под общей редакцией 2 изд., перераб и доп. – М.: АСВ, 2000. – 280 с.
8. Лестницы: Все о конструировании и оформлении лестниц /сост. – М.: , 1999. – 189 с.
9. Конструкции гражданских зданий , . – М.: АСВ, 2005.
10. Проектирование жилых и общественных зданий , , . – М.: АСВ, 1998.
11. Архитектура двадцатого века: учебное пособие . – М.:Изд-во АСВ, 2001. – 196 с.
12. Строительное проектирование: пер. с нем Э. Нойферт. – М.: Архитектура-С,2009. – 392 с.
14. Федеральный закон № 000 “Технический регламент о требованиях пожарной безопасности” введен в действие 1.05.2009
15. СП 42.13330.2011* . Градостроительство. Планировка и застройка городских и сельских поселений /. – М.: ЦИИП,2010. – 56 с.
16. СП 54.13330.2011. Здания жилые многоквартирные. М. 2011 (), ОАО "ЦНИИЭПжилища"с.
17. СП 118.13330.2012 "Общественные здания и сооружения".
/Минрегионразвития. – М.: ГП ЦПП, 2012.– 48 с.
18. Конструирование гражданских зданий . – М.: Стройиздат, 2003.
19. Технология проектирования гражданских зданий. ., издательство “Феникс”, 2007г. с. 282



