Урок 1. Понятие цилиндра. Площадь поверхности цилиндра.
Цель урока: ввести понятие цилиндрической поверхности, цилиндра и его элементов, ввести формулы для вычисления боковой и полной поверхности цилиндра, научить учащихся решать задачи по данной теме.
Ход урока
I. Анализ контрольной работы.
Подвести итоги контрольной работы, указать типичные ошибки.
II. Мотивация темы и постановка целей урока.
v Сколько литров жидкости вмешается в бидоне?
v Сколько воды находится в водонапорной башне?
v Сколько меди понадобится для изготовления проволоки?
v Сколько м2 листовой жести пойдет на изготовление трубы?
Все эти задачи объединяет то, что и бидон, и водонапорная башня, и проволока, и труба имеют форму цилиндра. Давайте познакомимся подробнее с этой фигурой.
Учитель показывает также дом архитектора (1гг.) в Москве, единственный в мире.
III. Объяснение новой темы. (Слайд 1)
1. Вводится понятие цилиндрической поверхности и ее элементов.
2. Вводится понятие цилиндра, образующих цилиндра, оси цилиндра, высоты цилиндра, радиуса цилиндра. (Слайд 2, 3)
3. Обратить внимание, что цилиндр может быть получен вращением прямоугольника вокруг одной из его сторон. (Слайд 4)
4. Сечения цилиндра: осевое, перпендикулярное оси. (Слайд 5, 6, 7)
5. Обратить внимание, что есть более широкое понятие цилиндра (рис. 139, стр. 121), но в школьной геометрии изучаются лишь прямые и круговые цилиндры. (Слайд 8, 9)
6. Развертка боковой поверхности и площадь боковой поверхности. (Слайд 11 – 14)
Sбок = 2
rh.
7. Sполн =2
r(h + r) (Слайд 15)
IV. Формирование умений и навыков учащихся.
1. № 000 (устно). (Ответ: d = 5 м)
2. № 000.
3. № 000.
4. № 000.
V. Итог урока.
VI. Домашнее задание: пп. 53. 54, № 000, 524, 526, 538.
Урок 2. Цилиндр. Площадь поверхности цилиндра.
Цель урока: повторить вопросы теории и научить учащихся решать задачи по теме.
Ход урока
Двое учащихся на доске записывают решение домашнего задания:
I – № 000, 538, II – № 000.
Двое учащихся работают по индивидуальным карточкам.
Карточка 1: Радиус основания цилиндра 3, высота 8. Найти диагональ осевого сечения. ( Ответ: 10).
Карточка 2: Осевое сечение цилиндра – квадрат, площадь которого 12. Найти площадь основания.
(Решение: а2 = 12,
,
Ответ:
)
Остальные отвечают на вопросы математического диктанта:
1) Формула площади боковой поверхности цилиндра.
2) Чему равна площадь полной поверхности цилиндра?
3) Какая фигура является разверткой боковой поверхности цилиндра?
4) Чему равен радиус основания, если осевым сечением цилиндра является квадрат 25 м2?
5) Чему равен угол между плоскостью основания цилиндра и плоскостью, проходящей через образующую цилиндра?
6) Что представляет собой сечение цилиндра плоскостью, перпендикулярной его образующей?
Проверяется домашнее задание и ответы на вопросы математического диктанта.
Дополнительный вопрос отвечающим у доски:
В окружности радиуса 5 проведена хорда длиной 8. Найти расстояние от центра окружности до хорды.
II. Формирование умений и навыков учащихся.
1. № 000(а).
2. № 000.
3. № 000.
4. № 000.
III. Итог урока.
Чем похожи первые три задачи сегодняшнего урока? (Во всех проведены плоскости сечения, параллельные оси цилиндра; являются обратными).
IV. Домашнее задание: № 000 (б), 530, 532, 545.
Урок 3. Цилиндр. Площадь поверхности цилиндра.
Цель урока: научить решать задачи по этой теме, проверить знания учащихся.
Ход урока
I. Актуализация опорных знаний. Фронтальный опрос.
Назовите:
v Формулу площади круга.
v Формулу длины окружности.
v Что представляет собой развертка боковой поверхности цилиндра?
v Формулу площади боковой поверхности цилиндра.
v Формулу площади полной поверхности цилиндра.
II. Постановка целей урока.
Итак, сегодня мы рассмотрим некоторые из задач, которые ставили перед изучением цилиндра (см. урок 1) и проверим, как вы усвоили изученное.
III. Формирование умений и навыков учащихся.
IV. Самостоятельная работа.
I вариант
1. Развертка боковой поверхности цилиндра является квадратом, диагональ которого равна 10 см. Найдите площадь боковой поверхности цилиндра.
2. Плоскость, параллельная оси цилиндра, отсекает от окружности основания дугу в 120о. Высота цилиндра равна 5 см, радиус цилиндра –2
см. Найдите площадь сечения.
II вариант
1. Развертка боковой поверхности цилиндра является прямоугольником, диагональ которого равна 8 см, а угол между диагоналями – 30о. Найдите площадь боковой поверхности цилиндра.
2. Сечение цилиндра плоскостью, параллельной его оси есть квадрат. Эта плоскость отсекает от окружности основания дугу в 90о. Радиус цилиндра равен 4 см. Найдите площадь сечения.
Ответы:
I вариант: 1. 50 см2; 2. 30 см2;
II вариант: 1. 16 см2; 2. 32 см2.
V. Итог урока.
Учащиеся предварительно оценивают свою работу по ответам, заранее записанным учителем на доске.
VI. Домашнее задание: I уровень - № 000, 542, 5; II уровень (для сильных учащихся) -№ 000, 604, 608.
Урок 4. Понятие конуса. Площадь поверхности конуса.
Цель урока: ввести понятие конической поверхности, конуса и его элементов, вывести формулы для вычисления плошали боковой поверхности конуса, научить решать задачи по данной теме.
Ход урока
I. Организационный момент.
Собрать тетради с домашней работой дня проверки.
II. Объяснение новой темы.
Вспомните окружность, параболу и гиперболу. Все эти линии, а также эллипс, объединяет то, что они являются коническими сечениями. Познакомимся с новым телом – конусом.
II. Объяснение новой темы. (Слайд 1)
1. Дается понятие конической поверхности, конуса и его элементов по рис. 141, 142 (стр. 124). (Слайд 2, 3)
2. Обращается внимание учащихся на то обстоятельство, что конус может быть получен вращением прямоугольного треугольника вокруг одного из его катетов. (Слайд 4)
3. Сечения конуса: (Слайд 5, 6)
1) осевое (проходит через ось конуса) является равнобедренным треугольником.
2) сечение плоскостью, проходящей через вершину, но не через ось - треугольник.
3) сечение плоскостью, перпендикулярной его оси, – круг.
4) сечение плоскостью, пересекающей все образующие конуса и не перпендикулярной оси. – эллипс.
5) сечение плоскостью, параллельной одной образующей конуса, – парабола.
6)
![]() |
сечение плоскостью, параллельной двум образующим конуса – гипербола.
4. Рассматривается развертка конуса, площадь боковой поверхности конуса, площадь полной поверхности конуса. (Слайд 7 – 13)

5. Исторически появление эллипса, параболы и гиперболы связано с изучением конических сечений математиками Древней Греции. Сочинение Аполлония Пергского так и называлось «Конические сечения» (III век до н. э.). Эти кривые интересны еще и тем, что траектория движения небесных тел происходит по одной из этих кривых. Это также траектория движения космических ракет.
IV. Формирование умений и навыков учащихся.
1. № 000.
2. № 000(а).
VI. Итог урока.
А встречается ли понятие конуса в других науках?
v В биологии «конус нарастания». Это верхушка побега и корня растений, состоящей из клеток образовательной ткани.
v В физике громоотвод образует конус безопасности.
v В физике встречается понятие «телесный угол». Это конусообразный угол, вырезанный в шаре. Единица измерения 1 стерадиан.
v В геологии «конус выноса». Это форма рельефа, образованная скоплениями обломочных пород, вынесенных горными реками на предгорную равнину или в более плоскую широкую долину.
VII. Домашнее задание: пп.: № 000, 549 (б). 550.558, 556 (рассм.)
Урок 5. Понятие конуса. Площадь поверхности конуса.
Цель урока: повторить теорию и научить решать задачи на нахождение плошали сечений конуса.
Ход урока
I. Актуализация опорных знаний.
Двое на доске записывают решение домашнего задания: I-№ 000 (а, б), II -№ 000.
Остальные отвечают на вопросы математического диктанта.
I Вариант
1. Какая фигура получается в сечении конуса плоскостью, проходящей через ось конуса?
2. Какая фигура получается в сечении цилиндра плоскостью, проходящей перпендикулярно оси цилиндра?
3. Чему равна площадь осевого сечения цилиндра, если его высота в 2 раза больше радиуса основания и равна 5см?
4. Что представляет собой сечение конуса плоскостью, проходящей через вершину конуса?
5. Осевое сечение конуса представляет собой равносторонний треугольник со стороной а. Чему равна высота конуса?
II Вариант
1. Какая фигура получается в сечении конуса плоскостью, проходящей перпендикулярно оси конуса?
2. Какая фигура получается в сечении цилиндра плоскостью, проходящей через ось цилиндра?
3. Чему равна площадь осевого сечения конуса, если осевым сечением конуса является прямоугольный треугольник, а радиус основания конуса 3 см?
4. Что представляет собой сечение конуса плоскостью, параллельной двум образующим конуса?
5. Осевое сечение цилиндра - квадрат, диагональ которого равна а. Найти высоту цилиндра.
Проверяются ответы математического диктанта и домашнее задание.
II. Формирование умений и навыков учащихся.
1. № 000(а).
2. № 000.
III. Итог урока.
IV. Домашнее задание: № 000 (а). 555 (а). 563, 562.
Урок 6. Усеченный конус.
Цель урока: ввести понятие усеченного конуса, вывести формулы для вычисления плошали боковой и полной поверхности усеченного конуса, научить учащихся решать задачи по данной теме.
Ход урока
I. Актуализация опорных знаний.
Двое у доски записывают решение домашнего задания: I - № 000, II -№ 000. № 000.
Третий ученик решает на доске задачу по планиметрии. Остальные учащиеся решают эту же задачу.
Проверяется домашнее задание.
II. Объяснение новой темы.
1. Вводится понятие усеченного конуса (через секущую плоскость, перпендикулярную оси конуса), оснований и высоты усеченного конуса, боковой поверхности. (Слайд 14, 15)
2. Обратить внимание, что усеченный конус получается также вращением прямоугольной трапеции вокруг ее боковой стороны, перпендикулярной основаниям. (Слайд 16)
3. Вывод формулы боковой поверхности усеченного конуса.
(Слайд 17 – 22)
Пусть Р — вершина конуса, из которого получен усеченный конус, АА1 — одна из образующих усеченного конуса, r > r1 точки О и О 1 — центры оснований. Используя формулу, получаем:
Sбок = π r * PA - π r 1 * PA = π r (PA 1 + AA1 ) - π r 1 * PA 1
Отсюда, учитывая, что AA1 =l, находим: Sбок = π r l + π(r - r1 ) PA 1
Выразим PA 1 через l, r и r1. Прямоугольные треугольники РО1А1 и РОА подобны, так как имеют общий острый угол Р, поэтому:
![]()
Подставив это выражение в формулу Sбок, приходим к формуле:
Sбок = π(r+r1)l
III. Формирование знаний и умений учащихся.
1. № 000.
2. № 000.
IV. Итог урока.
И еще раз мы убедились в практической значимости теоретических знаний геометрии.
V. Домашнее задание: п. 57, № 5, 571.
Урок 7. Конус. Усеченный конус.
Ход урока
I. Опрос:
v Что называется сектором (круговым)?
v Площадь сектора (формула).
v Формула длины дуги в α градусов. 
Задачи (устно).
1) Найти длину дуги в 30о, если R = 10 см.

2) Найти площадь сектора в предыдущей задаче.

II. По учебнику
№ 000 (чертеж на доске; учащиеся решают задачу самостоятельно, учитель задает наводящие вопросы)
III. Домашнее задание: № 000 (а, б), 5
IV. Самостоятельная работа на 30 мин. Выполняется в домашних тетрадях.
Вариант I
1. Дано: конус, АО
(MKN).
MAN = 90о. Найдите: Sбок, Sосн.
2. Высота конуса 4, радиус основания 3, боковая поверхность конуса развернута на плоскость. Найдите угол полученного сектора.
3. Радиусы оснований усеченного конуса 11 и 16, образующая 13. Найти расстояние от центра меньшего основания до окружности большего.
Вариант II
1. Дано: конус. МО
(АКВ),
АМВ = 120 о.
Найдите: 
2. Полукруг свернут в коническую поверхность. Найти угол между образующей и высотой конуса.
3. Радиусы оснований усеченного конуса 3 и 7. образующая 5. Найти площадь осевого сечения.
Ответы: Вариант I: 1.
; 2. 216о; 3.20. Вариант II: 1.
; 2. 30о; 3. 30.
Урок 8. Сфера и шар. Уравнение сферы.
Цель урока: ввести понятие сферы, шара и их элементов, вывести уравнение сферы в заданной прямоугольной системе координат, научить решать задачи по данной теме.
Кратчайший путь – путь по прямой?
Ход урока
I. Анализ самостоятельной работы.
Подводятся итоги самостоятельной работы, указываются типичные ошибки.
II. Мотивация изучения темы.
Учитель:
– Наметив медом две точки на классной доске, учительница предлагает юному школьнику задачу: начертить кратчайший путь между этими точками.
Ученик, подумав, старательно выводит между ними извилистую линию.
– Вот так кратчайший путь! - удивляется учительница. – Кто тебя так научил?
– Мой папа. Он шофер такси.
Чертеж наивного ученика, конечно, анекдотичен, но разве кратчайшим расстоянием от мыса Доброй Надежды до южной оконечности Австралии является отрезок? Нет, это дуга, которая называется ортодромия, и изучается все это в сферической геометрии, которая очень важна для мореплавания и астрономии (это еще одна неевклидова геометрия).
Сегодня мы займемся изучением сферы и шара.
III. Объяснение новой темы. (Слайд 1)
1. Вспомните определение окружности и предложите учащимся дать определение сферы: сферой называется поверхность, состоящая из всех точек пространства, расположенных на данном расстоянии от данной точки.
Аналогично: центр сферы, радиус сферы, диаметр сферы. (Слайд 2)
2. Вспомните определение круга и предложите учащимся дать определение шара: тело, ограниченное сферой. (Слайд 3, 4)
Обратите внимание учащихся на другое определение шара, приведенное в учебнике (стр. 129): шаром радиуса R с центром в точке О называется тело, которое содержит все точки пространства, расположенные от точки О на расстоянии, не превышающем R (включая О), и не содержит других точек.
3. Сфера может быть получена вращением полуокружности вокруг ее диаметра, а шар – вращением полукруга вокруг его диаметра. (Слайд 5, 6)
4. Введем прямоугольную систему координат Oxyz и некоторую поверхность F. (Слайд 7 – 12)
Уравнение с тремя переменными х, у, z называется уравнением поверхности F, если этому уравнению удовлетворяют координаты любой точки поверхности F и не удовлетворяют координаты никакой точки, не лежащей на этой поверхности.
Введем уравнение сферы радиуса R с центром O(x0,y0,z0). Расстояние от произвольной точки M(x,y,z) до O(xo,y0,z0) вычисляется по формуле:
MO2= (х-х0)2+(у-у0)2 +(z-z0)2, так как МО = R.
Так как M - любая точка сферы, то уравнение сферы
(х-х0)2+(у-у0)2 +(z-z0)2 = R2.
(Как задать шар? (х-х0)2+(у-у0)2 +(z-z0)2 ≤ R2.)
IV. Формирование умений и навыков учащихся.
1. № 000 (а)
2. № 000 (а).
3. 578 (а).
4. № 000 (а). (Самостоятельно)
5. № 000 (a).
V. Итог урока.
VI. Домашнее задание: п. 58,59. № 000 (б). 576 (в), 577 (б), 578 (б), 579 (б).
Урок 9. Взаимное расположение сферы и плоскости.
Цель урока: рассмотреть возможных случаи взаимного расположения сферы и плоскости, научить их решать задачи по данной теме.
Ход урока
I. Актуализация опорных знаний.
Математический диктант.
1. Найдите координаты центра и радиус сферы, заданной уравнением
(x-2)2+(y + 3)2+z2 = 25.
2. Напишите уравнение сферы радиуса R = 7 с центром в точке A(2; 0; -1).
3. Лежит ли точка А(-2; 1; 4) на сфере, заданной уравнением
(x+2)2+(y-1)2+(z-3)2=1.
4. Точки А и В принадлежат сфере. Принадлежит ли этой сфере любая точка отрезка АВ?
5. Могут ли все вершины прямоугольного треугольника с катетами 4 см и 2
см лежать на сфере радиуса
см?
6. Записать формулу плошали круга.
7. Найти координаты центра и радиус окружности х2 -6x + y2+z2 =0.
1. Найдите координаты центра и радиус сферы, заданной уравнением (x+3)2+y2+(z - 1)2 =16.
2. Напишите уравнение сферы радиуса R = 4 с центром п точке А (-2:1:0).
3. Лежит ли точка А(5:-1;4) на сфере, заданной уравнением
(х-3)2 +(у+1)2+(z-4)2 =4.
4. Точки А и В принадлежат шару. Принадлежит ли этому шару любая точка отрезка АВ?
5. Могут ли все вершины прямоугольного треугольника с катетами 4 см и 2
см лежать на сфере радиуса
см?
6. Записать формулу длины окружности.
7. Найти координаты центра и радиус окружности х2+у2+6у + z2 = 0.
Ответы проверяются.
II. Объяснение новой темы. (Слайд 13 – 25)
Обратите внимание учащихся, как важен удобный выбор системы координат
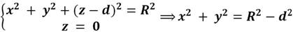
Выберем прямоугольную систему координат Oxyz так, чтобы центр сферы лежал на оси z. Тогда центр сферы С имеет координаты (0:0;d) и уравнение сферы принимает вид: x2 + y2+(z-d)2=R2.
Плоскость Оху имеет уравнение z = 0. (Почему? Воспользуйтесь определением уравнения поверхности.)
Надо рассмотреть решение системы уравнений:

Урок 10. Касательная плоскость к сфере.
Цель урока: рассмотреть теоремы о касательной плоскости к сфере, научить решать задачи по данной теме.
Ход урока
I. Актуализация опорных знаний.
Повторение сведений из планиметрии.
1. Определение касательной.
2. Свойство радиуса, проведенного к точке касательной.
3. Если из одной точки, лежащей вне окружности, провести к ней две касательные, то:
а) длины отрезков от данной точки до точек касания равны:
б) углы между каждой касательной и секущей, проходящей через центр круга, равны.
4. Если из одной точки, лежащей вне окружности, провести к ней касательную и секущую, то квадрат касательной равен произведению секущей на ее внешнюю часть.
5. Если две хорды пересекаются в одной точке, то произведение отрезков одной хорды равно произведению отрезков другой.
6. Взаимное расположение сферы и плоскости.
II. Объяснение новой темы. (Слайд 26 – 32)
Итак, сфера с плоскостью могут пересекаться по окружности, не пересекаться и иметь одну общую точку.
Рассмотрим последний случай подробнее.
Плоскость, имеющая со сферой только одну общую точку, называется касательной плоскостью к сфере, а их общая точка называется точкой касания.
Касательная плоскость обладает свойством, аналогичным свойству касательной к окружности.
Дано: сфера с центром О и радиусом R, α - касательная к сфере в точке А плоскость.
Доказать: OA
а.
Доказательство: Пусть OA не перпендикулярна плоскости а, тогда OA является наклонной к плоскости, значит, расстояние от центра до плоскости d < R. Т. е. сфера должна пересекаться с плоскостью по окружности, но это не удовлетворяет условию теоремы. Значит, OA
а.
Докажем обратную теорему.
Дано: сфера с центром О и радиусом OA, а, OA
а.
Доказать: а – касательная плоскость.
Доказательство: Т. к. OA
а, то расстояние от центра сферы до плоскости равно радиусу. Значит, сфера и плоскость имеют одну общую точку. По определению, плоскость является касательной к сфере.
III. Формирование умений и навыков учащихся.
1. Как далеко может обозревать землю человек, стоящий на равнине? (Не учитывая рефракции света).
Решение: CN2=h(h + 2R) (см. выше п. I урока)
Пусть рост человека (до глаз) 1,6 м, Rземли
6400 км.
![]()
Позднее вернемся к этой задаче, чтобы узнать, какова площадь обозрения.
2. Работа по таблице 33.
1)
Отрезок, соединяющий центр шара с точкой А касательной плоскости, равен 17 см. Радиус шара 8 см. Найдите расстояние от точки А до точки касания шара с плоскостью и от точки А до ближайшей к ней точки шара.
Решение.
АК
ОК (почему?). По теореме Пифагора АК =
= 15 . AM - ближайшее расстояние от точки А до сферы (при наличии времени можно дать учащимся порассуждать над очевидным вопросом - почему?)
AM = АО-ОМ=9.
3. № 000.
IV. Итог урока.
V. Домашнее задание: п. 61, № 000, 592.
Урок 11. Площадь сферы.
Цель урока: познакомить учащихся с формулой площади сферы, научить их решать задачи по данной теме.
Ход урока
I. Актуализация опорных знаний.
Двое у доски записывают решение домашнего задания: I - № 000, II - № 000. Двое доказывают теоремы пункта 61.
Двое работают по карточкам индивидуального опроса.
Карточка I
Радиус шара равен 12. Точка находится на касательной плоскости и на расстоянии 16 от точки касания. Найти ее кратчайшее расстояние от поверхности шара.
Ответ: 2 см2.
Карточка II
Все стороны ромба стороной 6 см касаются сферы радиусом 5 см. Расстояние от плоскости ромба до центра сферы 4 см. Найти площадь ромба.
Ответ: 36 см2.
Остальные отвечают на вопросы:
v Что называется сферой? Центром сферы? Радиусом сферы? Как может быть получена сфера?
v Что называется шаром? Как может быть получен шар?
v Что называется уравнением поверхности?
v Какой вид имеет уравнение сферы?
v Каково взаимное расположение сферы и плоскости?
v Какая плоскость называется касательной к сфере?
v Свойство касательной плоскости к сфере.
Проверяется домашнее задание и слушается доказательство теорем.
II. Объяснение новой темы. (Слайд 33 – 35)
Вводится определение многогранника, описанного около его сферы (если сфера касается всех его граней).
За площадь сферы принимается предел последовательности площадей поверхностей описанных около сферы многогранников при стремлении к нулю наибольшего размера каждой грани.
Наибольшим размером грани называется наибольшее расстояние между двумя точками грани.
S = 4
R2 (без доказательства, докажем позже.)
III. Формирование умений н навыков учащихся.
1. № 000(г).
2. № 000.
3. № 000.
4. № 000.
IV. Итог урока.
V. Домашнее задание: п. 62, № 000 (а, б, в), № 000, 5
Урок 12. Сфера и шар. Решение задач.
Цель урока: повторить теоретический материал, провести контроль знаний по теме.
Ход урока
I. Актуализация опорных знаний.
Двое работают по карточкам индивидуального опроса.
Карточка I
Стороны треугольника 13, 14, 15. Найти расстояние от плоскости треугольника до центра шара, касающегося всех сторон треугольника. Радиус шара 5.
(Ответ: 3)
Карточка II
Диагонали ромба 15 и 20. Его стороны касаются шара, радиус которого 10. Найти расстояние от центра до плоскости ромба.
(Ответ: 8)
Остальные отвечают на вопросы:
v Что называется сферой? Центром сферы? Радиусом сферы? Диаметром сферы? Как может быть получена сфера?
v Что называется шаром? Как может быть получен шар?
v Что называется уравнением поверхности?
v Какой вид имеет уравнение сферы?
v Каково взаимное расположение сферы и плоскости?
v Что является сечением сферы? шара?
v Площадь круга. Длина окружности.
v Свойство касательной плоскости к сфере.
v Площадь сферы.
v Какой угол называется вписанным в окружность? Величина вписанного угла. Чему равен вписанный угол, опирающийся на диаметр?
II. Формирование умений и знаний учащихся.
1. № 000.
2. № 000(а).
III. Самостоятельная работа. «Да и нет не говорите, лучше сразу напишите».
Задания записаны на доске.
1. В шаре радиуса 2:
1) площадь большого круга больше, чем 12;
2) площадь сечения, удаленного от центра на 1, меньше, чем 10;
3) площадь сечения, составляющего с плоскостью большого круга угол 60о, больше, чем 1;
4) существует сечение, площадь которого равна 1:
5) существуют два взаимно перпендикулярных сечения, суммарная площадь которых равна 20.
2. Найдите точные ответы.
IV. Итог урока. Проверяются ответы на задания самостоятельной работы.
V. Домашнее задание: № 000 (б), 588, 590.
Ответы:да; 2) да: 3) да; 4) да; 5) нет.
2. 1) Sкр =
R2 =
*4
12,56
2) r2сеч = 4 – 1 = 3Sсеч =
*3
9,42.




