На правах рукописи
АНАЛИЗ УПРАВЛЯЕМОГО ДВИЖЕНИЯ АВТОМОБИЛЯ
В СИСТЕМЕ «ВОДИТЕЛЬ - АВТОМОБИЛЬ-ДОРОГА»
МАТЕМАТИЧЕСКИМИ МЕТОДАМИ
(05.05.03 - Колёсные и гусеничные машины)
Автореферат диссертации на соискание ученой степени
кандидата технических наук
МОСКВА 2013
Научный руководитель: | , кандидат технических наук, доцент, заслуженный работник высшего профессионального образования РФ |
Официальные оппоненты: |
доктор технических наук, профессор, заместитель генерального директора по науке «Центральный научно – исследовательский автомобильный и автомоторный институт». , кандидат технических наук, доцент ФГБОУ ВПО «Московский государственный агроинженерный университет имени ». |
Ведущая организация: | ФГАОУ ВПО «Уральский федеральный университет имени первого Президента Ельцина» |
Работа выполнена в Московском автомобильно-дорожном государственном техническом университете (МАДИ) на кафедре“Автомобили”.
Защита состоится " 20" июня 2013 г. в 15 часов на заседании диссертационного совета Д 212.126.04 при Московском автомобильно-дорожном государственном техническом университете (МАДИ) по адресу:
г. Москва, Ленинградский проспект, ауд. 42.
С диссертацией можно ознакомиться в библиотеке МАДИ.
Автореферат разослан " 20 " мая 2013 г.
Отзывы на автореферат в двух экземплярах с подписью, заверенной печатью организации, просим направлять в адрес диссертационного совета.
Телефон для справок (4
Ученый секретарь
диссертационного совета,
д. т.н., профессор
Общая характеристика работы
Актуальность работы
Ведущей тенденцией современного автомобилестроения является повышение безопасности автомобиля. Одной из важнейших характеристик автомобиля является его активная безопасность, понимаемая как совокупность свойств автомобиля, уменьшающих вероятность возникновения дорожно-транспортных происшествий. В числе этих характеристик одно из первых мест занимают устойчивость и управляемость.
Улучшение устойчивости и управляемости ведется по двум направлениям:
1) Оптимизация параметров автомобиля с учетом возможностей человека-оператора (водителя).
2) Внедрение технических устройств, выполняющих те или иные действия по управлению движением автомобиля.
Оба н аправления связаны с изучением закономерностей управляемого движения. Хотя такое понимание разделяется всеми исследователями, теоретический базис в этой области теории автомобиля далек от завершенности.
Возможности повышения активной безопасности за счет рационального выбора параметров при неизменных классических конструктивных схемах, включая улучшенную схему подвески и привода, в значительной мере уже исчерпываются. Резерв повышения активной безопасности имеется в использовании на автомобиле специализированных автоматизированных систем управления курсовым движением, действующим параллельно с традиционными способами управления.
Цель работы - разработка алгоритмов действия систем управления и расчетных методик моделирования курсового движения автомобиля.
Для достижения поставленных целей решались следующие задачи:
1) Формирование математической структуры, описывающей целостную систему ВОДИТЕЛЬ - АВТОМОБИЛЬ на основе принятия общей гипотезы о закономерностях её функционирования при выполнении автомобилем желаемого или вынужденного маневра по изменению траектории движения.
2) Проведение натурного лабораторного исследования поведения водителя в условиях выполнения маневра с целью получения информации о свойствах замкнутой системы ВОДИТЕЛЬ-АВТОМОБИЛЬ.
3) Проведение расчетных экспериментов с использованием разработанной модели системы ВОДИТЕЛЬ - АВТОМОБИЛЬ для определения потенциальных возможностей этой системы для улучшения показателей устойчивости и управляемости легкового автомобиля.
4) Обоснование формата представления закона управления, который должен генерироваться ИНТЕЛЕКТУАЛЬНОЙ СИСТЕМОЙ УПРАВ1ЛЕНИЯ ДВИЖЕНИЕМ АВТОМОБИЛЯ в концепции самоуправляемого автомобиля.
Методы исследования
Для решения поставленных задач использованы в комплексе различные методы: математическое моделирование механических объектов, аналитические и численные методы анализа, включая методы оптимизации динамических систем по заданным критериям. Для качественного изучения поведения автомобиля и водителя при выполнении маневра использовался натурный эксперимент на специальном полномасштабном лабораторном стенде (автобус-тренажер), имитирующем управление автомобилем с участием реального человека-оператора (водителя). Кроме этого проводились натурные исследования в дорожных условиях на автомобиле-лаборатории, оборудованном датчиками ускорения и датчиком угла поворота рулевого колеса. В этом эксперименте удалось синхронизировать траекторные параметры движения автомобиля с процессом управления при выполнении маневра. Наглядная информация об этих процессах была получена так же с использованием оригинальной методики видеосъёмки с последующей компьютерной обработкой эксперимента.
Теоретические исследования проводились на основе фундаментальных положений теоретической механики и теории автомобиля. Реализация разработанной методики осуществлялась с использованием пакета прикладных программ MATHCAD.
Объекты исследования – математические модели системы «ВОДИТЕЛЬ-АВТОМОБИЛЬ-ДОРОГА» и её эксплуатационные свойства курсовой устойчивости и управляемости.
Предмет исследования – передаточные функции всех звеньев системы Водитель-Автомобиль-Дорога, полученные при помощи аналитических расчетов управления на основании прямого моделирования регулятора и автомобиля в их взаимодействии, подтвержденные экспериментально, при действии внешних силовых импульсных и ступенчатых воздействий.
Научная новизна проведенных исследований состоит в последовательном системном подходе к формированию единого объекта, в котором объединены свойства автомобиля, водителя и автоматизированной системы управления курсовым движением.
В подавляющем большинстве используемых расчетных методик моделирования курсового движения не имелось возможности воспроизведения движения автомобиля в наперед заданной дорожной ситуации при учете физических или технических ограничениях на работу регулятора.
Достоверность и обоснованность
Научные положения и выводы, сформулированные в диссертации, обоснованы теоретическими решениями и экспериментальными данными, полученными в работе, и не противоречат известным положениям наук, базируются на строго доказанных математических выводах и аналитических расчетах с применением ЭВМ.
Точность экспериментальных исследований обусловлена использованием оборудования и приборов с соблюдением отраслевых стандартов. В работе использован комплексный подход к анализу экспериментальных данных в увязке с аналитическими расчетами.
Практическая ценность
Практическую ценность полученные результаты имеют для разработки методик оптимизации параметров проектируемых автомобилей и систем стабилизации курсового движения с целью улучшения показателей устойчивости и управляемости. Также проделанная работа дает математическое обоснование концепции «самоуправляемый автомобиль».
Реализация и внедрение результатов работы
Результаты работы внедрены в МАДИ в НИОКР по государственному контракту № 02.740.11.0036 на тему «Разработка технологий снижения рисков и уменьшения последствий техногенных аварий и катастроф за счет прогнозирования поведения объектов системы: Водитель-Автомобиль-Дорога-Среда (ВАДС)».
Основные положения, выносимые на защиту
1. Описание процесса управления движением автомобиля на основе следящей системы с оптимизацией целевой функции управления.
2.Новый вид целевой функции управления как минимум функционала отклонения от заданной контрольной траектории направляющей точки, находящейся на продольной оси автомобиля.
3.Передаточная функция регулятора следящей системы для предложенной целевой функции управления.
4.Методика исследования управляемого движения методом видеосъемки с возможностью использования этого метода в интеллектуальных системах управления движением автомобиля.
Личный вклад автора заключается:
- в участии в разработке математических методик моделирования управляемого движения в составе коллектива авторов;
- в составлении алгоритмов аналитических расчетов с применением ЭВМ;
- в подготовке и проведении исследовательской части работы;
- в подготовке и проведении натурных экспериментов.
Апробация работы
Основные положения и результаты работы докладывались
1. На 73-й Международной научно-технической конференции «Автомобиль в Интеллектуальной транспортной системе (ИТС)», посвященной 80-летию МАДИ 23-24 марта 2011 года. , , Кольцов. В. И., (МАДИ). «Построение математической модели водителя транспортного средства с использованием модели-тренажера автобуса».
2. На 69 научно-методической и научно-исследовательской конференции МАДИ: , «Модель имитации управляемого движения автобуса на стенде»,2011г.
3. На 70 научно-методической и научно-исследовательской конференции МАДИ: , «Идентификация параметров математической модели водителя на основе экспериментальных исследования с помощью автобусного тренажера», 2012г.
4. На 71 научно-методической и научно-исследовательской конференции МАДИ: , «Анализ управляемого движения автомобиля в системе ВАД математическими методами», 2013 г.
Публикации
По теме диссертации опубликовано 4 печатные работы, в т. ч. 1 в издании из перечня ВАК.
Структура работы
Диссертация состоит из введения, четырех глав, основных выводов, списка литературы (104 наименования) и 2 приложений. Диссертация изложена на 154 страницах машинописного текста, содержит 9 таблиц и 66 рисунков.
СОДЕРЖАНИЕ РАБОТЫ
Во введении раскрывается актуальность проблемы, обозначаются пути её решения, формулируется цель исследования.
В первой главе проводится анализ состояния проблемы на разных этапах, включая современный.
Теоретическое и экспериментальное исследование управляемого движения автомобиля более 70 лет находится в сфере внимания многочисленных научных школ и отдельных авторов, как отечественных, так и зарубежных.
В СССР и в РФ работа в указанной области велась в нескольких научных центрах. Широкую известность получили работы , , заложившие фундамент теории движения автомобиля в широком смысле этого слова.
Научные школы активно работали и в МАДИ. Наибольшее влияние на формирование научного направления настоящей диссертации оказали работы ученых, долгое время работавших на кафедре «Автомобили»: д. т.н. , д. т.н. . Научное направление об автомобиле, как объекте программного управления, на протяжении многих лет развивал д. т.н. .
Системное исследование управляемого движения автомобиля проводилось в 60-80 гг. в МАДИ, на кафедре теоретической механики, в научной школе, создателем и руководителем которой был профессор, д. т.н. .
Ретроспективный взгляд на исследования, проведенные за полувековой период в области устойчивости и управляемости автомобиля, показывает что, несмотря на многочисленные разнообразные терминологические трактовки свойств устойчивости и управляемости, предмет исследования достаточно четко определен в последнее время, как комплексное рассмотрение системы ВОДИТЕЛЬ – АВТОМОБИЛЬ – ДОРОГА (СРЕДА).
Достаточно полное представление о предмете исследования можно сделать, рассматривая только один информационный кластер - диссертационные работы по специальности 05.05.03 - колесные и гусеничные машины. Ограничимся только некоторыми «реперными» точками из указанного информационного кластера, чтобы оценить вектор научной проработки и достигнутый уровень, в той области, которая составляет предмет исследования настоящей диссертации.
1) В диссертации «Повышение надежности управления боковым движением автомобиля» , 1982 написано следующее: «Трудности создания теории управления автомобилем связаны со сложностью системы "водитель-автомобиль". При наличии значительного объема информации о динамических свойствах автомобиля до сих пор нет окончательной ясности в вопросе о том, какие характеристики автомобиля необходимы и достаточны для описания его как объекта управления. Достоверной математической модели водителя в настоящее время нет, и не приходится надеяться на решение этой проблемы в ближайшее время. Необходимо отметить, что даже в случае ее решения, вопрос создания теории управления автомобилем будет далек от своего разрешения. В этом случае появилась бы возможность замены натурного эксперимента расчетным, но по-прежнему осталась бы проблема оценки результатов эксперимента. На основании результатов натурного или расчетного эксперимента необходимо оценить надежность деятельности водителя в реальных условиях. Решение этой проблемы возможно только с позиций изучения психических проявлений водителя в его деятельности по управлению автомобилем».
2) Одной из последних (2009 год) диссертаций, родственных по предмету исследования с настоящей, является работа «Параметрическая идентификация объекта управления человеко-машинной системы «АВТОМОБИЛЬ-СРЕДА-ВОДИТЕЛЬ». Из этой работы сделаем текстовую выборку, которая интерпретирует некоторые важные аспекты настоящей диссертации: «К фундаментальным исследованиям в области формирования теории управляемости и устойчивости следует отнести работы . Процесс управления им рассматривается как "совокупность действий водителя, обеспечивающих желательное изменение параметров движения автомобиля, в частном случае, сохранение их постоянным". Обратим внимание на определение управляемости: "Совокупность свойств системы автомобиль - водитель, определяющих степень возможности сближения желательных и фактических изменений параметров движения, можно назвать управляемостью этой системы"». свойством управляемости наделяет не изолированный автомобиль, а систему, включающую объект управления и водителя. В этом просматривается перспективный и, по сути, правильный системный подход к изучению проблемы управляемого движения. не ставит жесткого требования абсолютно точного совпадения заданных и действительных параметров движения. Это положение свойственно для всех замкнутых, следящих систем. Именно к такому классу систем можно отнести систему автомобиль - водитель. Появляется так называемый, системный подход к изучению свойств объекта управления — автомобилю».
Таким образом, можно констатировать:
а) Практически все исследователи считают ключевым элементом системы АВТОМОБИЛЬ-ВОДИТЕЛЬ звено ВОДИТЕЛЬ;
б) Звено ВОДИТЕЛЬ наименее изучено и устойчивое понимание способов описания его функционирования в системе в настоящее время отсутствует.
Указанные обстоятельства определили предмет исследования диссертации как математическое описание звена ВОДИТЕЛЬ в системе ВОДИТЕЛЬ-АВТОМОБИЛЬ-ДОРОГА (СРЕДА) (рис. 1).

Рис. 1. Основные элементы системы В-А-Д. РУ - рулевое управление
В диссертации рассмотрены различные способы описания управляемого движения: управление по заданному («жесткому») закону поворота рулевого колеса, управление по «жесткой» связи направляющей точки с заданной траекторией, управлении с оптимизацией по целевой функции. А также предложена обобщенная модель объекта УПРАВЛЯЕМЫЙ АВТОМОБИЛЬ (рис.2)

Рис. 2. Обобщенная модель объекта УПРАВЛЯЕМЫЙ АВТОМОБИЛЬ
Для математического описания алгоритма управления введены базисные понятия, показанные на рис. 3.
Во второй главе дан теоретический аппарат построения математической модели управляемого курсового движения автомобиля при выполнении типового маневра. Для построения алгоритма оптимального управления курсовым движением автомобиля по направляющей точке рассматривается плоская модель курсового движения, показанная на рис.4.
Рис. 3. Базисные понятия для описания процесса управления курсовым движенем

Рис. 4. Плоская модель курсового движения:
V =const– скорость автомобиля, у – боковое перемещение центра тяжести С, уК– боковое перемещение направляющей точки К, ψ – курсовой угол, β – угол поворота управляемых колес, l – расстояние до направляющей точки, L – база автомобиля, а и b – расстояние от центра тяжести до передних и задних колес соответственно.
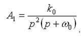
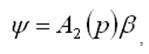
Скорость автомобиля считается постоянной. Углы ψ и β считаются малыми. Рассматривается линейная модель курсового движения автомобиля. Тогда:
(1)
(2)
где:
А1 и А2 – соответствующие передаточные характеристики,
р = d/dt – оператор дифференцирования.
Для целей исследования управляемого движения автомобиля можно
принять
(3)
, (4)
где:
(5)
(6)
где:
М – масса автомобиля,
J – центральный момент инерции для вертикальной оси,
К1 и К2 – коэффициенты бокового увода для передней и задней осей соответственно.
Простейшая одноконтурная схема система автоматического регулирования курсового движения показана на рис. 5.

Рис. 5. Простейшая одноконтурная схема:
y0 – заданная или желаемая траектория автомобиля, Δу=у0-у – отклонение от заданной траектории, НВ – передаточная характеристика водителя (или автомата).
Далее решается следующая задача оптимизации: найти минимум функ-
ционала
(7)
при условии, что ограничен функционал безопасности
. (8)
Решение этой задачи дало следующий вид передаточной функции водителя
. (9)
Параметрами этой передаточной функции являются:
- параметр интенсивности управления,
- параметр уровня «шума», то есть помех, при отслеживании заданной траектории движения водителем
. (10)
В алгоритм управляемого движения также входят:
- плечо управления (расстояние от опорной точки автомобиля до направляющей точки);
- опорная длина контрольной траектории маневра;
- опорная ширина контрольной траектории маневра.
В третьей главе описана идентификация параметров модели системы «ВОДИТЕЛЬ - АВТОМОБИЛЬ - ДОРОГА» на основе экспериментальных исследований. Если управляющим звеном является водитель, то для проведения расчетов требуется:
- определить область параметров, задающих маневр как геометрический объект;
- определить область параметров, задающих численный вид передаточной функции водителя;
- определить область параметров, задающих численный вид модели управляемого объекта, для того чтобы имитационное моделирование управляемого движения соответствовало конкретным экспериментальным данным;
- определить возможность переноса детальных исследований психомоторной деятельности водителя в лабораторные условия.
Для решения поставленных задач была проведена скоординированная программа натурных испытаний на нескольких объектах.
Общая концепция этой программы показана на рис. 6.
Метод видеосъёмки применялся для решения следующих задач:
- определение области параметров, задающих численный вид передаточной функции водителя;
- определения области параметров, задающих численный вид модели управляемого объекта, для того чтобы имитационное моделирование управляемого движения соответствовало конкретным экспериментальным данным.
Объектом исследования являлся автомобиль Toyota Land Сruiser 80. Общая схема проведения эксперимента показана на рис. 7.
Эксперимент проводился на закрытой площадке, на которой вешками размечался маневр «переставка». Задавалась только внешняя граница. Водителю ставилась задача максимально близко вписаться в назначенные границы. На автомобиле внутри салона за сидением водителя жестко закреплялась видеокамера с охватом в кадре части дорожного полотна перед автомобилем и рулевого колеса.
Способ основан на представлении изображения как центральной проекции трехмерного реального объекта на картинную плоскость. При тарировке картинной проекции на изображение накладывалась сетка, которая базировалась по характерным деталям автомобиля, положение которых точно известно. Положение автомобиля задавалось наблюдаемыми точками в створах, находящихся на определенном расстоянии от вертикальной базовой плоскости, которая совмещалась с передней осью автомобиля. Выбранные створы и соответствующие коэффициенты расчета истинных перемещений наблюдаемых точек показаны на рис.8.
Математические модели | ||
Модель с жестким управлением: движение направляющей точки по заданной траектории | ||
Расчетно-аналитическая модель (Ступенчатая контрольная траектория) | ||
Опорная передаточная функция автомобиля
| ||
| ||
Модель с передаточной функцией водителя
Контрольная траектория Yko(p): (LП, HП) . РУ – рулевое управление | ||
| ||
НАТУРНЫЕ ЭКСПЕРИМЕНТЫ | ||
Автомобиль-лаборатория ГАЗ-2705 | Автомобиль Toyota Land Cruiser | Автобусный тренажер ЛиАз-5256 |
Определение типовых параметров «переставки» на дороге в реальных условиях | Фиксация процессов видеосъемки при движении по «переставке» и в стандартных испытаниях | Моделирование управляемого движения с водителем и с визуализацией дорожной среды |
| ||
Идентификация параметров системы | ||
Параметры контрольной траектории: LП – длина «переставки»; HП- ширина «переставки». | Параметры автомобиля. Идентификация параметров модели автомобиля на основе стандартных испытаний: - массовые и инерционные параметры; - коэффициент статической поворачиваемости. | Параметры передаточной функции водителя: tВ - параметр интенсивности управления; LK – плечо управления; KР – коэффициент передачи регулятора. |
Анализ эксплуатационных свойств управляемого движения автомобиля |
Рис. 6. Структура объектов идентификации параметров системы ВОДИТЕЛЬ - АВТОМОБИЛЬ – ДОРОГА - СРЕДА для анализа управляемого движения

Рис. 7. Общая схема проведения эксперимента

Рис. 8. Сетка для съёма данных с видеокадра
По положению маркера на рулевом колесе на картинной плоскости достаточно просто рассчитать угол поворота рулевого колеса. На рис. 9 показаны процессы поворота рулевого колеса в натурном эксперименте, совмещенные для сравнения с моделированием управляемого движения.

Рис. 9. Процесс поворота рулевого колеса
В четвертой главе приведены расчетные исследования по выбору оптимальных характеристик управления с целью обеспечения безопасности движения и легкости управления. Особое внимание уделено выбору критерия качества управляемого движения.
Сделано предположение о единстве принципов функционирования систем, в которых регулятором является как человек, так и роботизированное устройство. В обоих случаях надежность управления в первую очередь определяется обеспечением безопасности движения автомобиля. Но в случае, когда управляющим звеном является человек, появляются дополнительные требования к надежности управления, связанные с эргономикой управления и сочетаемостью свойств управляемого объекта (автомобиля) с психическими закономерностями, обуславливающими комфортную деятельность человека-оператора. Постановка проблемы выбора оценочного критерия надежности управления, базируется на понятии «траектория системы в пространстве состояний».
Пространство состояний (рис. 10) представляет полный набор фазовых координат, зафиксированных в данный момент времени:-обобщенные координаты: положение базовой точки, курсовой угол и другие координаты, соответствующие принятой расчетной схемы движения автомобиля;
- поворот управляемых колес;
- параметры состояния отдельных систем: усилие на рулевом колесе, производные обобщенных координат и другие параметры процессов, которые включаются в схему исследования.

Все возможные траектории оцениваются по критерию надежности управляемого движения (функционал управления) Fу. В диссертации предложено в качестве такого критерия выбрать эффективную дистанцию «переставки» - минимальную дистанцию до препятствия, при которой маневр выполняется для заданной скорости движения без нарушения обозначенного пространства маневра и с учетом всех принятых ограничений для процесса управления - Пу=(Заданная ширина маневра, Заданная ширина динамического коридора, Заданный предельный размах поворота рулевого колеса).
Выделяются следующие области пространства траекторий, в каждой из которых определяется оценочный параметр Fу:
Fут - в области технически достижимых траекторий;
Fуо - в области траекторий, ограниченных физическими возможностями человека-оператора (расчетная область, принятая в диссертации);
Fук - в области траекторий с комфортным управлением.
Поиск оптимального значения принятого критерия ведется в пространстве параметров регулятора Пр = (τр, LK, LП), где, LП - параметр, задающий характеристику заданной траектории направляющей точки, τр - параметр интенсивности регулятора, LK-плечо регулирования. В пространстве этих параметров проводится сканирование по возможным значениям, область которых определена на стадии их идентификации в различных видах экспериментальных проб.
ОСНОВНЫЕ РЕЗУЛЬТАТЫ И ВЫВОДЫ:
1. Предложено описание процесса управления движением автомобиля на основе следящей системы с оптимизацией целевой функции управления.
2. Выбран новый вид целевой функции управления как минимум функционала отклонения от заданной контрольной траектории направляющей точки, находящейся на продольной оси автомобиля.
3. Для выбранной целевой функции управления найден вид передаточной функции регулятора следящей системы.
4. Предположено и обосновано, что работа регулятора следящей системы определяется общим алгоритмом, как для случая, когда регулятором является человек (водитель), так и в случае, когда регулятором является автоматизированная система управления.
5. Для регуляторов любого вида (водитель или автоматизированная система) установлен ограниченный набор параметров, задающих их работу в конкретной дорожной ситуации:
- плечо управления (расстояние от базовой точки автомобиля до направляющей точки);
- параметр интенсивности управления, входящий в передаточную функцию;
- параметры контрольной траектории направляющей точки.
6. Для регулятора, реализующего управление водителем, значения параметров регулятора определяются физическими возможностями человека и изменяются в зависимости от дорожной ситуации. Значения параметров регулятора-водителя могут заменяться в достаточно широких пределах.
7. На основе эксперимента определены ориентировочные границы изменения параметров регулятора-водителя, τв=0,1÷1с, Lk =10÷30м, при которых достаточно точно воспроизводится управляемое движение автомобиля в реальных дорожных ситуациях, в диапазоне скоростей до 30м/с.
8. В связи с неоднозначностью воспроизведения управляемого движения на стадии проектирования рекомендовано качество управляемого движения оценивать на основе оптимизации единого критерия безопасности движения (эффективная дистанция «переставки») при варьировании параметров регулятора в области их допустимых значений. Для расчетных режимов получена оценка введенного критерия в диапазоне Fу =20÷40м, в диапазоне скоростей до 30м/с. Данную процедуру можно интерпретировать как процесс обучения водителей управлению для конкретной дорожной ситуации.
9. Подтверждена возможность проведения экспериментов по моделированию управляемого водителем транспортного средства в лабораторных условиях на созданном в МАДИ автобусе – тренажере.
10. Для развития прикладного направления управлением движения автомобиля рекомендуется обозначить основной объект управления (автомобиль) в единстве с регулятором как УПРАВЛЯЕМЫЙ АВТОМОБИЛЬ. Это снимает ограничения на конкретную реализацию состава системы и каналов взаимодействия внутри неё.
11. В предложениях по развитию прикладного направления управлением движения автомобиля показано место разработанной теории как единого формата представления закона управления, который должен генерироваться ИНТЕЛЕКТУАЛЬНОЙ СИСТЕМОЙ УПРАВЛЕНИЯ ДВИЖЕНИЕМ АВТОМОБИЛЯ в концепции самоуправляемого автомобиля.
Основные положения диссертации опубликованы в следующих работах:
В издании из перечня ВАК:
1. Долгов, курсовым движением автомобиля по направляющей точке / , В. И Кольцов, // Вестник Удмуртского университета, Математика. Механика. Компьютерные науки.: периодический научный журнал. Вып. 4, 2009. – Ижевск: УдГУ. – С. 33 – 45
В статье рассмотрены теоретические вопросы построения математической модели регулятора на основе использования целевой оптимизирующей функции.
В периодических научных изданиях:
2. Долгов, проблемы управляемого движения автомобиля / , // Объединенный научный журнал.: периодический научный журнал. Вып. №12 (271), 2012 – М: Агентство научной печати (АНП). – С. 29 – 34
В статье рассмотрены общие проблемы управляемого движения автомобиля.
3. Долгов, параметров системы «ВОДИТЕЛЬ - АВТОМОБИЛЬ - ДОРОГА» на основе экспериментальных исследований / , // Объединенный научный журнал: периодический научный журнал. Вып. №12 (271), 2012 – М: Агентство научной печати (АНП). – С. 34 – 41
В статье рассмотрены способы получения информации о поведении системы в реальных условиях натурного эксперимента.
4. Долгов, критерия качества управляемого движения автомобиля при выполнении маневра «переставка» / , // Объединенный научный журнал: периодический научный журнал. Вып. №12 (271), 2012 – М: Агентство научной печати (АНП). – С. 41 – 48
В статье рассмотрены вопросы оценки качества управляемого движения автомобиля с точки зрения безопасности движения.





