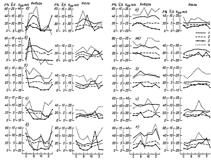
Как видно из рисунка, характеристики среднего ветра для открытой части моря мало меняются по направлениям, особенно летом, что вполне закономерно, так как розы ветров в море близки к круговым. Тем не менее при определенных румбах скорости ветра несколько выше. Так, зимой на севере и востоке моря наибольшую повторяемость имеют ветры северной и северо-восточной четверти, а наибольшие скорости ветра приходятся на юго-восточные и западные румбы. В центральной и южной частях моря наибольшие скорости ветра тяготеют к преобладающим восточным и западным направлениям. Летом на всей акватории моря преобладают ветры юго-западной четверти, а наибольшие скорости ветра соответствуют этим румбам только в южной части моря. В западной части моря наибольшие скорости приходятся на северо-восточные румбы. В северных и центральных районах моря скорости ветра практически одинаковы для всех румбов.
На побережье, где существенную роль играет рельеф окружающей местности, преобладают не группы направлений, а отдельные румбы, и, как правило, наибольшие средние скорости ветра не совпадают с преобладающими направлениями. При этом в зависимости от ориентации долин и берегового рельефа наибольшие скорости имеют восточные (Анадырь, корякское побережье. Алеутские острова), либо северные (Оссора, м. Африка) ветры.
Рис. 11.4. Изменчивость режимных характеристик ветра по направлениям в январе и июле.
а — Анадырь; б — Апука; в — Корф; г — Оссора; д — Мыс Африка; е — север восточного свала глубин; ж — центральная часть восточного свала; з — центральная глубоководная часть; ы — камчатский тихоокеанский район; к — район Алеутских островов. 1 — средняя скорость V;2 — среднее квадратическое отклонение о; 3 — повторяемость направлений Р; 4 — скорость, возможная 1 раз в 100 лет ,V 100
Средние квадратические отклонения меняются по направлениям меньше, нежели средние скорости. Особенно это характерно для открытой части моря. Характер зависимости этой величины от направления ветра аналогичен описанному выше.
Наиболее существенное влияние при работе в море оказывает ветер и связанное с ним волнение, особенно когда ветер достигает опасных и стихийных значений. По показателям „бурности" Берингово море, наряду с Охотским, выделяется среди остальных морей северного полушария [28, 38].
Характерной особенностью Берингова моря является ярко выраженный годовой ход повторяемости штормовых ветров (³15 м/с), что связано с сезонной изменчивостью циркуляционных процессов в этом районе. В период с октября по апрель Берингово море находится под влиянием алеутской депрессии, в которую часто входят циклоны, перемещающиеся главным образом от Японии через северо-запад Тихого океана к Алеутским островам. Повторяемость штормовых ветров в это время года составляет 15—20 % в центральной части моря, а в районе Алеутских островов повторяемость штормов достигает 25 % (рис. 11.5). Изотахи на рис. 11.5 проведены по данным судовых наблюдений за 30-летний период. Наиболее резкое усиление штормовой активности происходит осенью (сентябрь—октябрь) и достигает максимума в ноябре—декабре, а в течение зимы меняется мало. Летом с ослаблением циклогенеза повторяемость штормовых ветров повсеместно не превышает 2—3 %. Минимум повторяемости штормов отмечается в июле—августе.
Заметно большая, чем в море, повторяемость штормового ветра отмечается в береговой зоне на высоких скалистых берегах и мысах, далеко вдающихся в море. Напротив, в заливах, бухтах и на ровных открытых берегах повторяемость таких ветров существенно меньше. Обусловлено это различием в механизме формирования режимов штормового ветра в море и на берегу.
Рис. 11.5. Повторяемость сильного (V ³ 10 м/с) (а, в) и штормового ветра (V > 15 м/с) (б, г) в январе (а, б) и июле (в, г).
Таблица 11.2
Повторяемость (%) штормового ветра (V ³15 м/с) по направлениям в январе
Район | С | СВ | В | ЮВ | Ю | ЮЗ | 3 | СЗ |
Центральная глубоководная часть(N = 470) | 8 | 15 | 30 | 9 | 12 | 8 | 12 | 6 |
Север свала глубин (N = 399) | 10 | 24 | 23 | 10 | 8 | 12 | 9 | 4 |
Центральная часть свала глубин (N = 996) | 18 | 13 | 24 | 21 | 11 | 4 | 7 | 2 |
Юг свала глубин (N = 281) | 19 | 15 | 19 | 10 | 9 | 10 | 12 | 6 |
Юг восточного мелководья (N = 720) | 29 | 9 | 15 | 19 | 11 | 5 | 7 | 5 |
Район Алеутских островов (N = 236) | 4 | 14 | 30 | 6 | 15 | 11 | 18 | 2 |
Примечание. N — количество наблюдений.
В дополнение к общей картине в табл. 11.2 представлены рассчитанные розы штормового ветра для тех районов, в которых число случаев со скоростью ³15 м/с было достаточно большим. Зимой на большей части акватории Берингова моря наиболее часты штормовые ветры северо-восточной четверти, характерные в основном для тыловых частей циклонов. На юге же моря — близ Алеутских островов — преобладают восточные штормы. Среди других направлений выделяются также южные и юго-восточные.
Такая картина в преобладании штормовых ветров двух основных направлений объясняется также тем, что зимой штормовая активность определяется главным образом циклонической деятельностью.

Рис. 11.6. Повторяемость (%) штормового ветра за год. а — V ³ 20 м/с; б — V ³ 30 м/с.
Ослабление циклонической циркуляции летом, хотя и не позволяет построить соответствующие розы, тем не менее достаточно определенно свидетельствует о сезонной изменчивости направлений штормового ветра.
К важнейшим характеристикам режима ветра относятся также вероятности штормов различной силы. Так как по фактическим данным зачастую невозможно определить вероятности больших скоростей ветра, то эти значения определялись по кривым распределений, которые спрямлялись на функциональных сетках закона Вейбулла и соответственно экстраполировались в область больших значений. Карты повторяемости штормовых ветров различной скорости ( ³15, ³ 20 и ³ 30 м/с) для зимнего и летнего сезонов приведены на рис. 11.5 и 11.6.
Остановимся кратко на основных особенностях пространственно-временного распределения штормов в Беринговом море. Для зимы, когда штормовая активность достигает своего максимума, характерны наибольшие пространственные контрасты в поле повторяемости опасных ветров. Так, повторяемость штормов со скоростью ветра ³ 15 м/с превышает 25 % в районе Алеутских островов, тогда как в Карагинском заливе она менее 12 %, на севере же моря колеблется в пределах 15—17 %.К лету штормовая активность затихает, что обусловлено значительным уменьшением глубины циклонических образований, однако повторяемость числа циклонов, выходящих на Берингово море, снижается незначительно [39].
Повторяемость штормов в это время года не превышает 1—3 %, а ураганных ветров скоростью ³ 30 м/с — 0,05 %.Как видно на приводимых схемах, зоны наибольшей повторяемости штормовых ветров, охватывая всю глубоководную часть моря, тяготеют тем не менее к ее южной части. Такое распределение является следствием активного циклогенеза, развивающегося на арктическом и полярном фронтах, дислоцирующихся в области, которая в статистическом смысле составляет алеутскую депрессию.
Максимальные скорости ветра зимой в море колеблются в пределах 38—45 м/с; на берегу и островах, как уже отмечалось, вследствие орографии, мысовых и аэродинамических эффектов картина распределения довольно пестрая. Летом же максимальные скорости значительно меньше — до 37 м/с.

Рис. 11.7. Средняя продолжительность (ч) штормового ветра (V 15 м/с) зимой (в) и летом (б).
Помимо приводимых выше данных, важное значение приобретают временные характеристики. На рис. 11.7 представлены карты средней непрерывной продолжительности штормового ветра (V ³ 15 м/с) для двух сезонов. Непрерывная продолжительность определялась по данным синоптических карт. Подход к определению этой характеристики был такой же, как и для береговых станций, т. е. скорость ветра, отмеченная в срок, являлась характерной для интервала времени между сроками. Анализ данных показывает, что имеется достаточно тесная связь между средней непрерывной продолжительностью штормов и их повторяемостью. Так же, как и повторяемость, продолжительность штормов больше зимой. Средняя непрерывная продолжительность ветров со скоростью ³ 15 м/с на большей части территории составляет 10—11 ч зимой и 6— 7 ч летом. В южной части моря, в районе активного циклогенеза располагается штормовой очаг, сохраняющийся в течение года: как летом, так и зимой здесь отмечается наибольшая повторяемость скоростей ветра ³ 15 м/с и наибольшая непрерывная продолжительность этих ветров. В отдельных случаях штормовые скорости ветра могут отмечаться в течение 3—4 сут. Надо также заметить, что при определенных направлениях ветра продолжительность штормов может довольно сильно отличаться от средней продолжительности. Так, согласно [17], в открытом море штормы при северных и северовосточных ветрах могут продолжаться до 5—6 сут. На Алеутских островах наиболее продолжительные периоды со скоростью ветра более 15 м/с наблюдаются при восточных и юго-восточных ветрах.
В отдельных районах побережья, где есть местные условия, способствующие увеличению скорости ветра (станция расположена на мысах, в речных долинах) наблюдается увеличение непрерывной продолжительности, особенно при определенных направлениях ветра по сравнению с соседними участками побережья. С увеличением защищенности (бухта, глубоко врезанный залив) резко уменьшается вероятность штормовых ветров и их продолжительность (табл. 11.3). Из таблицы также видно, что с увеличением интенсивности штормов их непрерывная продолжительность уменьшается в среднем на 2—3 ч.
Таблица 11.3
Характеристики непрерывной продолжительности т штормов различной силы за год
Район | V м/с | t ч | tмак | s ч |
Анадырь | ³ 16³ 20 | 12,810,2 | 9672 | 12,710,4 |
Шельф корякского побережья | ³ 15³ 20 | 10,18,9 | 4848 | 7,25,9 |
Апука | ³ 15³ 20 | 12,09,6 | 9060 | 12,89,7 |
Корф | ³ 16 | 7,8 | 66 | 8,1 |
Шельф Карагинского— Олюторского района | ³ 15 | 8,5 | 36 | 5,6 |
Оссора | ³ 15 | 10,2 | 60 | 11,7 |
о. Карагинский | ³ 15³ 20 | 11,38,1 | 13836 | 12,98,1 |
Ука | ³ 15 | 9,4 | 84 | 10,4 |
м. Африка | ³ 15³ 20 | 12,310,2 | 10290 | 13,911,5 |
Никольское (о. Беринга) | ³ 15³ 20 | 11,78,7 | 84 54 | 12,18,6 |
Как известно, атмосферные процессы испытывают значительные межгодовые колебания, которые проявляются и в режиме штормовых ветров. Однако в море из-за отсутствия длительных серий наблюдений межгодовую изменчивость можно выявить лишь опосредованно по косвенным признакам. Так, за характеристику штормовой активности (ША) обычно принимают число дней со скоростью ветра S 15 м/с. Как правило, эта характеристика при соответствующем осреднении является достаточно надежной для оценки климатического тренда.
Для оценки ША в Беринговом море были использованы синоптические бюллетени Гидрометцентра СССР за 1950—1987 гг. К сожалению, в них приводится лишь одна карта погоды за сутки (срок 3 ч мск), и ША месяца в каком-либо районе характеризуется в таком случае числом карт, когда скорость ветра в нем была > 15 м/с. Расчеты скоростей ветра по барическим полям наиболее надежны для холодного полугодия, когда синоптические процессы более акцентированы. Поэтому межгодовая изменчивость исследовалась по данным не за год, а за холодный период (октябрь—март). Графики изменчивости ША, сглаженные по пятилетиям, в четырех районах моря приводятся на рис. 11.8.
Таблица 11.4
Периоды штормовой активности (ША) я Беринговом море, сглаженные по скользящим пятилетиям
Район | Период повышенной ША, годы | Длительность, лет | Период пониженной ША, годы | Длительность, лет |
Центральная глубоководная часть | 1954—1—1985 | 6 7 | 1950—1—1974 | 2 11 |
Север восточного свала глубин | 1954—1961 | 7 | 1950—1—1—1984 | 39 1 |
Западная глубоководная часть | 1952—1960 | 8 1 | 1961—1—1987 | 12 6 |
Юг восточного свала глубин | 1956—1—1—1985 | 1 6 5 | 1950—1—1972 | 4 12 |
На них также показаны границы отклонений от средних, равные ± о, в пределах которых значения ША можно считать близкими к климатической норме. Годы с числом дней выше или ниже нормы относятся к периодам высокой или низкой ША (табл. 11.4). По графикам можно также определить продолжительность цикла ША, под которым следует, видимо, понимать промежуток времени как с повышенной, так и с пониженной активностью относительно средних значений.

Рис. 11.8. Повторяемость Р штормов (V> 15м/с) за холодный период с осреднением по скользящим пятилеткам.1 — центральная глубоководная часть; 2 — север восточного свала глубин; 3 — западная глубоководная часть; 4 — юг восточного свала глубин.
Как видно из графиков рис. 11.8, за 35-летний период было два максимума ША. Первый (и преобладающий) отмечался в конце 50-х годов; второй (меньший и менее выраженный) пришелся в западной и восточной частях Берингова моря на середину 70-х годов, в центре и на севере — на конец 70-х — начало 80-х годов. Цикл колебаний ША составляет 20—25 лет, причем больше он в центральной части и на севере моря, меньше — на западе и востоке.
Амплитуда повторяемости ША, как и другой показатель изменчивости (среднее квадратическое отклонение), наибольшая в центральных районах моря, наименьшая — на юго-востоке.
Такое различие как в продолжительности квазициклов, так и в показателях изменчивости можно объяснить тем, что в центральной части Берингова моря располагается как бы демаркационная зона, разделяющая области с различными синоптическими процессами над северо-западным и северо-восточным регионами Тихого океана [2]. Эти различающиеся циркуляционные механизмы проявляются также в формировании двухцентровой алеутской депрессии и в противофазности изменчивости отдельных гидрологических элементов в западной и восточной частях Берингова моря [8].
Следует заметить, что используемый период обобщения судовых наблюдений за 1961—1975 гг. приходится на цикл пониженной ША.. И хотя это обстоятельство учитывалось при расчетах характеристик ветра редкой повторяемости, тем не менее не исключается возможность их занижения.
В табл. 11.5 для квазиоднородных районов моря даны наибольшие скорости ветра различной вероятности за год и по сезонам. О пространственном распределении скоростей ветра, возможных 1 раз в 100 лет, дает представление рис. 11.9.

Рис. 11.9. Распределение скоростей ветра (м/с), возможных 1 раз в 100 лет (годовые данные).
Таблица 11.5
Расчетная скорость ветра (м/с) в Беринговом море
| Сезон | Скорость ветра, возможная 1 раз в п лет | Сезон | Скорость ветра, возможная 1 раз в n лет | |||||||||||
| 1 | 5 | 10 | 20 | 60 | 100 | 1 | 5 | 10 | 20 | 50 | 100 | |||
| Западная глубоководная часть | Корякское побережье | |||||||||||||
Зима | 31 | 36 | 37 | 39 | 41 | 42 | Зима | 30 | 34 | 35 | 37 | 39 | 41 |
| |
Весна | 24 | 28 | 29 | 31 | 32 | 33 | Весна | 21 | 24 | 26 | 27 | 28 | 29 |
| |
Лето | 21 | 24 | 25 | 26 | 28 | 29 | Лето | 21 | 24 | 26 | 27 | 29 | 31 |
| |
Осень | 26 | 30 | 32 | 33 | 35 | 37 | Осень | 25 | 29 | 30 | 32 | 34 | 35 |
| |
Год | 32 | 36 | 37 | 39 | 41 | 42 | Год | 30 | 34 | 35 | 37 | 39 | 41 |
| |
| Центральная глубоководная часть | Анадырский залив | |||||||||||||
| |||||||||||||||
| Зима | 34 | 37 | 39 | 40 | 42 | 44 | Зима | 29 | 33 | 35 | 36 | 38 | 40 | |
| Весна | 28 | 32 | 33 | 35 | 37 | 39 | Весна | 27 | 31 | 33 | 35 | 37 | 39 | |
| Лето | 22 | 26 | 28 | 30 | 32 | 33 | Лето | 19 | 22 | 24 | 25 | 27 | 28 | |
| Осень | 28 | 34 | 36 | 38 | 40 | 42 | Осень | 27 | 31 | 33 | 34 | 36 | 37 | |
| Год | 33 | 37 | 38 | 40 | 42 | 44 | Год | 30 | 34 | 35 | 37 | 39 | 41 | |
| Север восточного свала глубин | Бассейн Чирикова | |||||||||||||
| Зима | 32 | 3S | 37 | 38 | 40 | 42 | Лето | 22 | 27 | 28 | 30 | 32 | 34 | |
| Весна | 24 | 27 | 28 | 29 | 31 | 32 | Осень | 25 | 29 | 31 | 32 | 35 | 37 | |
| Лето | 21 | 24 | 25 | 27 | 28 | 29 | Год | 28 | 32 | 34 | 36 | 38 | 39 | |
| Осень | 27 | 30 | 32 | 33 | 35 | 37 | ||||||||
| Год | 33 | 36 | 38 | 39 | 41 | 42 | Бристольский залив | |||||||
| Центральная часть и юг восточного свала глубин | Зима | 32 | 36 | 38 | 39 | 42 | 43 | |||||||
| Весна | 22 | 26 | 26 | 28 | 29 | 30 | ||||||||
| Зима | 32 | 36 | 37 | 39 | 41 | 42 | Лето | 22 | 25 | 26 | 28 | 29 | 30 | |
| Весна | 28 | 32 | 33 | 35 | 37 | 38 | Осень | 29 | 33 | 34 | 36 | 38 | 39 | |
| Лето | 24 | 28 | 29 | 31 | 32 | 34 | Год | 32 | 36 | 38 | 40 | 42 | 43 | |
| Осень | 31 | 35 | 37 | 39 | 41 | 42 | ||||||||
| Год | 33 | 37 | 39 | 40 | 42 | 44 | Камчатский тихоокеанский район | |||||||
| Север восточного мелководья | Зима | 34 | 38 | 40 | 41 | 43 | 45 | |||||||
| Осень | 31 25 24 26 | 35 29 28 30 | 36 30 29 31 | 37 32 30 32 | 39 33 32 34 | 41 35 33 35 | Весна Лето Осень Год | 27 21 30 35 | 32 25 35 39 | 33 | 35 | 37 | 39 | |
| Год | 33 | 37 | 38 | 39 | 41 | 42 | Авачинский залив | |||||||
| Юг воcточного мелководья | Зима | 32 | 37 | 40 | 41 | 44 | 46 | |||||||
| Зима | 32 | 35 | 37 | 38 | 40 | 42 | Весна | 25 | 29 | 31 | 33 | 35 | 36 | |
| Весна | 29 | 1 33 | 34 | 36 | 37 | 39 | Лето | 21 | 25 | 27 | 29 | 31 | 32 | |
| Лето | 25 | 29 | 31 | 33 | 35 | 37 | Осень | 28 | 33 | 35 | 37 | 40 | 42 | |
| Осень | 30 | 34 | 35 | 37 | 39 | 40 | Год | 33 | 38 | 40 | 42 | 44 | 46 | |
| Год | 33 | 36 | 38 | 39 | 40 | 42 | Кроноцкий залив | |||||||
| Карагинский залив |
| |||||||||||||
| Зима | 32 | 37 | 39 | 41 | 43 | 45 |
| |||||||
| Зима | 30 | 34 | 36 | 38 1 40 | 42 | Весна | 25 | 30 | 32 | 33 | 35 | 37 |
| |
| Весна | 20 | 24 | 25 | 27 | 29 | 30 | Лето | 21 | 25 | 27 | 28 | 30 | 32 |
|
| Лето | 18 | 21 | 22 | 24 | 25 | 27 | Осень | 25 | 29 | 31 | 33 | 35 | 37 |
|
| Осень | 24 | 28 | 30 | 32 | 34 | 36 | Год | 33 | 37 | 39 | 41 | 44 | 45 |
|
| Год | 28 | 33 | 35 | 37 | 40 | 42 |
| |||||||
| Камчатский залив |
| |||||||||||||
| Корфа, залив |
| |||||||||||||
| Зима | 28 | 33 | 35 | 36 | 39 | 41 | Зима | 29 | 33 | 35 | 36 | 39 | 40 |
|
| Весна | 21 | 24 | 25 | 27 | 29 | 30 | Весна | 22 | 26 | 27 | 29 | 30 | 32 |
|
| Лето | 16 | 19 | 21 | 22 | 23 | 24 | Лето | 20 | 26 | 24 | 25 | 27 | 28 |
|
| Осень | 23 | 28 | 29 | 31 | 33 | 358 | Осень | 26 | 30 | 32 | 34 | 36 | 37 |
|
| Год | 28 | 30 | 35 | 38 | 40 | 42 | Год | 30 | 34 | 35 | 37 | 39 | 40 |
|
| Олюторский залив | Восточно-алеутский район Тихого океана |
| ||||||||||||
| Зима | 28 | 32 | 34 | 35 | 38 | 39 | Зима | 33 | 38 | 39 | 41 | 43 | 45 |
|
| Весна | 20 | 23 | 24 | 26 | 28 | 29 | Весна | 29 | 32 | 34 | 35 | 37 | 38 |
|
| Лето | 18 | 21 | 23 | 24 | 26 | 28 | Лето | 25 | 29 | 31 | 33 | 35 | 36 |
|
| Осень | 23 | 28 | 30 | 31 | 34 | 35 | Осень | 32 | 36 | 38 | 39 | 41 | 43 |
|
| Год | 28 | 82 | 34 | 36 | 38 | 39 | Год | 35 | 39 | 40 | 42 | 44 | 45 |
|
Как показывают приводимые данные, наибольшие значения расчетных скоростей ветра наиболее вероятны на юге Берингова моря, где ежегодно могут отмечаться ураганные (более 30 м/с) ветры. Раз в 100 лет скорости могут достигать 44—45 м/с. Однако и это не предел. В прилегающих к Камчатке районах Тихого океана, где зимние циклоны чаще всего достигают своего максимального развития, получены расчетные скорости, равные 47—50 м/с. Для сравнения можно указать, что на севере моря скорости такой обеспеченности (1 раз в 100 лет) не превышают 39—42 м/с.
|
Из за большого объема этот материал размещен на нескольких страницах:
1 2 3 4 5 6 7 8 9 10 |



