Контент-анализ
Content-analysis
Контент-анализ - количественный анализ книг, эссе, интервью, дискуссий, газетных статей, исторических документов и других текстов и текстовых массивов с целью последующей содержательной интерпретации выявленных числовых закономерностей.
Контент-анализ - по - научно обоснованный метод чтения между строк.
Единица контент-анализа
Единица контент-анализа - устойчиво повторяющаяся смысловая единица текста, относительно которой:
- выявляются статистические и структурные связи с другими единицами;
+ определяются иные количественные или качественные характеристиками.
http://www. psyfactor. org/lib/k-a. htm
© И. Дмитриев
Контент-анализ: сущность, задачи, процедуры
Контент-анализ (англ. content analysis; от content — содержание) — формализованный метод изучения текстовой и графической информации, заключающийся в переводе изучаемой информации в количественные показатели и ее статистической обработке. Характеризуется большой строгостью, систематичностью.
Сущность метода контент-анализа состоит в фиксации определенных единиц содержания, которое изучается, а также в квантификации полученных данных.
Объектом контент-анализа может быть содержание различных печатных изданий, радио - и телепередач, кинофильмов, рекламных сообщений, документов, публичных выступлений, материалов анкет.
Контент-анализ начал использоваться в социальных науках начиная с 30-х гг XX в. в США. Впервые этот метод был применен в журналистике и литературоведении. Основные процедуры контент-анализа были разработаны американскими социологами X. Лассуэллом и Б. Берелсоном.
Г. Лассуэлл его использовал в конце 1930-х годов для исследований в сфере политики и пропаганды. Лассуэл модернизировал контент-анализ, ввел новые категории и процедуры, особое значение придавал квантификации данных.
Развитие средств массовой коммуникации вызвало увеличение контент-аналитических исследований в этой области. Во время второй мировой войны контент-анализ применялся некоторыми государственными учреждениями США и Англии для изучения эффективности пропаганды в разных странах, а также в разведывательных целях.
Накопленный опыт контент-аналитических исследований был подытожен в книге Б. Берелсона «Контент-анализ в коммуникационных исследованиях» (начало 50-х гг). Автором был определен сам метод контент-анализа, а также разные его виды, критерии и единицы для количественного исследования. Берелсона до сих пор является фундаментальным описанием, дающим понимание основных положений контент-анализа.
После обобщений, сделанных Б. Берелсоном, в США появилось много исследований, в которых контент-анализ применяется в различных научных направлениях. Наиболее интересной методической новацией была методика «связанности символов» Ч. Осгуда (1959), которая позволяла выявить неслучайно связанные элементы содержания.
Западноевропейские исследователи в использовании метода контент-анализа опирались в основном на американский опыт. Тем не менее, здесь тоже появилось несколько оригинальных методик качественно-количественного анализа содержания (Ж. Клейзер, А. Моль).
В настоящее время к основным процедурам контент-анализа относятся:
1. Выявление смысловых единиц контент-анализа, которыми могут быть:
а) понятия, выраженные в отдельных терминах;
б) темы, выраженные в целых смысловых абзацах, частях текстов, статьях, радиопередачах и т. п.;
в) имена, фамилии людей;
г) события, факты и т. п.;
д) смысл апелляций к потенциальному адресату.
Единицы контент-анализа выделяются в зависимости от содержания, целей, задач и гипотез конкретного исследования.
2. Выделение единиц счета, которые могут совпадать либо не совпадать с единицами анализа. В 1-м случае процедура сводится к подсчету частоты упоминания выделенной смысловой единицы, во 2-м — исследователь на основе анализируемого материала и здравого смысла сам выдвигает единицы счета, которыми могут быть:
а) физическая протяженность текстов;
б) площадь текста, заполненная смысловыми единицами;
в) число строк (абзацев, знаков, колонок текста);
г) длительность трансляции по радио или ТВ;
д) метраж пленки при аудио - и видеозаписях,
е) количество рисунков с определенным содержанием, сюжетом и пр.
3. Процедура подсчета в общем виде сходна со стандартными приемами классификации по выделенным группировкам. Применяется составление специальных таблиц, применение компьютерных программ, специальных формул (напр., «формула оценки удельного веса смысловых категорий в общем объеме текста»), статистические расчеты понятности и аттрактивности текста.
Метод контент-анализа широко применяется как вспомогательное средство в психологии, социологии и др. науках при анализе ответов на открытые вопросы анкет, материалов наблюдений, результатов психологического тестирования (в частности, в проективных методиках), для анализа результатов в методе фокус-групп. Подобные методы используются также в исследованиях массовых коммуникаций, в маркетинговых и многих др. исследованиях. Контент-анализ может использоваться для исследования большей части документальных источников, однако лучше всего он работает при относительно большом количестве однопорядковых данных.
Контент-анализ в психологии
В социальной психологии контент-анализ может применяться, во-первых, как самостоятельный исследовательский прием исследования содержания сообщения; во-вторых, в комплексе с другими методами, т. е., когда одновременно исследуют не только сообщение, но и другие элементы коммуникационного процесса; в-третьих, как вспомогательный метод обработки массива данных, полученных другими методами
В социальной психологии контент-анализ в первую очередь используется для изучения человеческого общения, коммуникаций и их субъектов как представителей микро - и макрогрупп. Непосредственными материалами исследования являются документы, которые рассматриваются как «сообщение». Понятие «сообщение» является специфичным социально-психологическим, в нем акцентируется динамический характер объекта, его включенность в коммуникационную систему. (Т. е. имеется в виду зависимость сообщения от личностных и групповых особенностей коммуникатора и реципиента).
Можно выделить основные области применения контент-анализа в социально-психологических исследованиях:
- изучение через содержание сообщений социально-психологических особенностей их авторов (коммуникаторов);
- изучение реальных социально-психологических явлений (объекта, субстанции сообщений), которые отображены в содержании сообщений, в том числе тех явлений, которые имели место в прошлом и недоступны для исследования другими методами;
- изучение через содержание сообщений социально-психологической специфики различных средств коммуникации, а также особенностей форм и приемов организации содержания, в частности пропагандистского;
- изучение через содержание сообщений социально-психологических особенностей их реципиентов;
- изучение через содержание сообщений социально-психологических аспектов влияния коммуникации на реципиентов как представителей разных микро - и макрогрупп, а также изучение успешности общения.
Кроме того, можно выделить виды применения контент-анализа во вспомогательных целях:
- для обработки и уточнение данных, полученных другими методами в социально-психологических исследованиях;
- специальное — применение для изучения научной литературы.
Источники:
1. Большой психологический словарь. Под общ. ред. , . Москва, 2004.
2. Методологические и методические проблемы контент-анализа. Вып. 1-2. М., 1973;
3. Методы анализа документов в социологических исследованиях. М, 1985;
В продолжение темы:
Контент-анализ — описание метода
Проведение контент-анализа
Политический контент-анализ
© , 2005 г.
© Публикуется с любезного разрешения автора
Контент-анализ — описание метода
Контент-анализ (от англ. contens содержание) — метод качественно-количественного анализа содержания документов с целью выявления или измерения различных фактов и тенденций, отраженных в этих документах. Особенность контент-анализа состоит в том, что он изучает документы в их социальном контексте. Может использоваться как основной метод исследования (например, контент-анализ текста при исследовании политической направленности газеты), параллельный, т. е. в сочетании с другими методами (напр., в исследовании эффективности функционирования средств массовой информации), вспомогательный или контрольный (напр., при классификации ответов на открытые вопросы анкет).
Не все документы могут стать объектом контент-анализа. Необходимо, чтобы исследуемое содержание позволило задать однозначное правило для надежного фиксирования нужных характеристик (принцип формализации), а также, чтобы интересующие исследователя элементы содержания встречались с достаточной частотой (принцип статистической значимости). Чаще всего в качестве объектов исследования контент-анализа выступают сообщения печати, радио, телевидения, протоколы собраний, письма, приказы, распоряжения и т. д., а также данные свободных интервью и открытые вопросы анкет. Основные направления применения контент-анализа: выявление того, что существовало до текста и что тем или иным образом получило в нем отражение (текст как индикатор определенных сторон изучаемого объекта — окружающей действительности, автора или адресата); определение того, что существует только в тексте как таковом (различные характеристики формы — язык, структура, жанр сообщения, ритм и тон речи); выявление того, что будет существовать после текста, т. е. после его восприятия адресатом (оценка различных эффектов воздействия).
В разработке и практическом применении контент-анализа выделяют несколько стадий. После того, как сформулированы тема, задачи и гипотезы исследования, определяются категории анализа — наиболее общие, ключевые понятия, соответствующие исследовательским задачам. Система категорий играет роль вопросов в анкете и указывает, какие ответы должны быть найдены в тексте. В практике отечественного контент-анализа сложилась довольно устойчивая система категорий — знак, цели, ценности, тема, герой, автор, жанр и др. Все более широко распространяется контент-анализ сообщений средств массовой информации, основанный на парадигматическом подходе, в соответствии с которым изучаемые признаки текстов (содержание проблемы, причины ее возникновения, проблемообразующий субъект, степень напряженности проблемы, пути ее решения и др.) рассматриваются как определенным образом организованная структура.
Категории контент-анализа должны быть исчерпывающими (охватывать все части содержания, определяемые задачами данного исследования), взаимоисключающими (одни и те же части не должны принадлежать различным категориям), надежными (между кодировщиками не должно быть разногласий по поводу того, какие части содержания следует относить к той или иной категории) и уместными (соответствовать поставленной задаче и исследуемому содержанию). При выборе категорий для контент-анализа следует избегать крайностей: выбора слишком многочисленных и дробных категорий, почти повторяющих текст, и выбора слишком крупных категорий, т. к. это может привести к упрощенному, поверхностному анализу. Иногда необходимо принимать во внимание и отсутствующие элементы текста, которые могут быть значимыми для контент-анализа.
После того, как категории сформулированы, необходимо выбрать соответствующую единицу анализа — лингвистическую единицу речи или элемент содержания, служащие в тексте индикатором интересующих исследователя явления. В практике отечественных контент-аналитических исследований наиболее, употребительными единицами анализа являются слово, простое предложение, суждение, тема, автор, герой, социальная ситуация, сообщение в целом и др. Сложные виды контент-анализа обычно оперируют не одной, а несколькими единицами анализа. Единицы анализа, взятые изолировано, могут быть не всегда правильно истолкованы, поэтому они рассматриваются на фоне более широких лингвистических или содержательных структур, указывающих на характер членения текста, в пределах которого идентифицируется присутствие или отсутствие единиц анализа — контекстуальных единиц. Например, для единицы анализа «слово» контекстуальная единица — «предложение». Наконец, необходимо установить единицу счета — количественную меру взаимосвязи текстовых и внетекстовых явлений. Наиболее употребительны такие единицы счета, как время-пространство (число строк, площадь в квадратных сантиметрах, минуты, время вещания и т. п.), появление признаков в тексте, частота их появления (интенсивность).
Важен выбор необходимых источников, подвергаемых контент-анализу. Проблема выборки содержит в себе выбор источника, количества сообщений, даты сообщения и исследуемого содержания. Все эти параметры выборки определяются задачами и масштабами исследования. Чаше всего контент-анализ проводится на годичной выборке: если это изучение протоколов собраний, то достаточно 12 протоколов (по числу месяцев), если изучение сообщений средств массовой информации — 12—16 номеров газеты или теле-, радиодней. Обычно выборка сообщений средств массовой информации составляет 200—600 текстов.
Необходимым условием является разработка таблицы контент-анализа — основного рабочего документа, с помощью которого проводится исследование. Тип таблицы определяется этапом исследования. Например разрабатывая категориальный аппарат, аналитик составляет таблицу, представляющую собой систему скоординированных и субординированных категорий анализа. Такая таблица внешне напоминает анкету: каждая категория (вопрос) предполагает ряд признаков (ответов), по которым квантифицируется содержание текста. Для регистрации единиц анализа составляется другая таблица — кодировальная матрица. Если объем выборки достаточно велик (свыше 100 единиц), то кодировщик, как правило, работает с тетрадью таких матричных листов. Если выборка невелика (до 100 единиц), то можно проводить двумерный или многомерный анализ. В этом случае для каждого текста должна быть своя кодировальная матрица. Эта работа трудоемка и кропотлива, поэтому при больших объемах выборки сопоставление интересующих исследователя признаков осуществляется на компьютере.
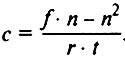
Важным условием контент-анализа является разработка инструкции кодировщику — системы правил и пояснений для того, кто будет собирать эмпирическую информацию, кодируя (регистрируя) заданные единицы анализа. В инструкции точно и однозначно излагается алгоритм действий кодировщика, дается операциональное определение категорий и единиц анализа, правила их кодирования, приводятся конкретные примеры из текстов, являющихся объектом исследования, оговаривается, как следует поступать в спорных случаях, и т. д. Процедура подсчета при количественном контент-анализе в общем виде аналогична стандартным приемам классификации по выделенным группировкам ранжирования и измерения ассоциации. Существуют также специальные процедуры подсчета применительно к контент-анализу, напр., формула коэффициента Яниса, предназначенного для вычисления соотношения положительных и отрицательных (относительно избранной позиции) оценок, суждений, аргументов. В случае, когда число положительных оценок превышает число отрицательных,

где f — число положительных оценок; n — число отрицательных оценок; r — объем содержания текста, имеющего прямое отношение к изучаемой проблеме; t — общий объем анализируемого текста. В случае, когда число положительных оценок меньше, чем отрицательных,

Есть и более простые способы измерения. Удельный вес той или иной категории можно вычислить с помощью формулы К = число единиц анализа, фиксирующих данную категорию/общее число единиц анализа.
Источники:
1. Социологическая энциклопедия. Под общ. ред. . Минск, 2003.
2. Дридзе деятельность в структуре социальной коммуникации. М., 1984;
3. Методологические и методические проблемы контент-анализа. Вып. 1-2. М., 1973;
4. Методы анализа документов в социологических исследованиях. М, 1985;
5. Эффективность средств массовой информации. М., 1986.
В продолжение темы:
©
Проведение контент-анализа
Слово «контент» означает содержимое (или содержание) документа. Контент-анализом называют метод сбора количественных данных об изучаемом явлении или процессе, содержащихся в документах. Под документом при этом понимается не только официальный текст (типа инструкции или правового закона), но все написанное или произнесенное, все, что стало коммуникацией. Контент-анализу подвергаются книги, газетные или журнальные статьи, объявления, телевизионные выступления, кино - и видеозаписи, фотографии, лозунги, этикетки, рисунки, другие произведения искусства, а также, разумеется, и официальные документы.
Метод контент-анализа используется социологами уже более ста лет. С его помощью изучалась религиозная символика и популярные песни, устанавливались отличия эротических кинокартин от порнографических, устанавливалась мера эффективности политических слоганов (лозунгов, используемых в выборных кампаниях), реклам и вражеской пропаганды, определялись особенности суицидального поведения, проявившиеся в предсмертных записках самоубийц, стереотипы сознания различных социальных групп, выявлялась направленность демонстрации людей определенной национальности на телеэкранах, идеологическая подоплека передовиц газет, отличия в трактовках одного и того же события в разных СМИ, исследовались многие другие темы. В последние десятилетия данный социологический метод заимствовали и активно используют те представители социогуманитарных наук (юристы, историки, журналисты, языковеды, литературоведы, политологи, психологи, экономисты, педагоги, социальные работники, культурологи, библиотековеды, искусствоведы и др.), которые заинтересованы в установлении объективных признаков разнообразных человеческих коммуникаций.
Какие документы подлежат контент-анализу? Ответ на этот вопрос зависит от исследовательской программы, объекта, предмета, цели, задач и гипотез исследования. Если, скажем, нам предстоит выяснить перспективы забастовки рабочих предприятия (продолжим этот пример), то станет очевидной потребность контент-анализа, как минимум, протоколов собраний рабочих, решений соответствующих профсоюзных комитетов, распоряжений руководителей, законов, регулирующих забастовочную борьбу и т. п.
Контент-анализ не отменяет необходимости обычного (т. е. содержательного) анализа документов. Первый дополняет второй, их сочетание углубляет понимание смысла любого текста. Контент-анализ позволяет обнаружить в документе то, что ускользает от поверхностного взгляда при его традиционном изучении, но что имеет важный социальный смысл. Принципиальное отличие этих методов анализа заключено в явно выраженной строгости, формализованности, систематизированности контент-анализа. Он нацелен на выработку количественного описания смыслового и символического содержания документа, на фиксацию его объективных признаков и подсчет последних. По мнению ряда социологов (Маркоффа, Шапиро, Вейтмана и др.), контент-анализ можно было бы назвать «текстуальным кодированием», так как он предполагает получение количественной информации о содержимом документа на основе ее кодирования.
Кроме того, контент-анализ отличается от всех прочих способов изучения документов, тем, что он позволяет «вписать» содержание документа в социальный контекст, осмыслить его одновременно и как проявление, и как оценку социальной жизни. «Вписывание» документа в изучаемую проблему предполагает выявление того, что: а) существовало до него и получило в нем отражение, б) наличествует только в нем, в) будет после него, т. е. явится итогом его восприятия адресатом.
Формализованность, систематизированность и строгость контент-анализа проявляется в следующем. Прежде, чем непосредственно анализировать текст документа, исследователь определяет категории анализа, т. е. ключевые понятия (смысловые единицы), имеющиеся в тексте и соответствующие тем дефинициям и их эмпирическим индикаторам, которые зафиксированы в программе исследования. При этом желательно избежать крайностей. Если за категории анализа будут приняты слишком общие (абстрактные) понятия, то это предопределит поверхностность анализа текста, не позволит углубиться в его содержание. Если же категории анализа будут предельно конкретными, то их окажется слишком много, что приведет не к анализу текста, а к его сокращенному повторению (конспекту). Нужно найти золотую середину и постараться достичь того, чтобы категории анализа были:
а) уместными, т. е. соответствовали решению исследовательских задач;
б) исчерпывающими, т. е. достаточно полно отражали смысл основных понятий исследования;
в) взаимоисключающими (одно и то же содержание не должно входить в различные категории в одинаковом объеме);
г) надежными, т. е. такими, которые не вызывали бы разногласий между исследователями по поводу того, что следует относить к той или иной категории в процессе анализа документа.
После определения системы категорий анализа выбирается соответствующая им единица анализа текста. За единицу анализа может быть принято: а) слово, б) предложение, в) тема, г) идея, д) автор, е) персонаж, ж) социальная ситуация, з) часть текста, объединенная чем-то, что соответствует смыслу категории анализа. Иногда, точнее, когда контент-анализ выступает единственным методом информации, оперируют не одной, а сразу несколькими единицами анализа.
Затем устанавливается единица счета, т. е. количественная мера единицы анализа, позволяющая регистрировать частоту (регулярность) появления признака категории анализа в тексте. Единицами счета могут быть число определенных слов или их сочетаний, количество строк, печатных знаков, страниц, абзацев, авторских листов, площадь текста, выраженная в физических пространственных величинах и многое другое.
Проведение контент-анализа требует предварительной разработки ряда исследовательских инструментов. Из них обязательными являются:
1. классификатор контент-анализа,
2. протокол итогов анализа, который имеет второе обозначение – бланк контент-анализа,
3. регистрационная карточка или кодировальная матрица,
4. инструкция исследователю, непосредственно занимающемуся регистрацией и кодировкой единиц счета,
5. каталог (список) проанализированных документов.
Классификатором контент-анализа называется общая таблица, в которую сведены все категории (и подкатегории) анализа и единицы анализа. Ее основное предназначение – предельно четко зафиксировать то, в каких единицах выражается каждая категория, используемая в исследовании. Классификатор можно уподобить социологической анкете, где категории анализа играют роль вопросов, а единицы анализа – ответов. Он является основным методическим документом контент-анализа, предопределяющим содержание всех прочих инструментов этого метода.
Протокол (бланк) контент-анализа содержит: во-первых, сведения о документе (его авторе, времени издания, объеме и т. п.); во-вторых, итоги его анализа (количество случаев употребления в нем определенных единиц анализа и следующие отсюда выводы относительно категорий анализа). Протоколы заполняются, как правило, в закодированном виде, но не ради сохранения тайны итогов контент-анализа, а исходя из желательности на одном листе бумаги уместить всю информацию о документе, чтобы удобнее было сопоставлять друг с другом итоги анализа разных документов. Если в исследовании осуществляется контент-анализ малого числа документов, то можно обойтись без кодирования и заполнять эти протоколы в открыто-содержательном виде.
Регистрационная карточка представляет собой кодировальную матрицу, в которой отмечается количество единиц счета, характеризующее единицы анализа. Протокол контент-анализа каждого конкретного документа заполняется на основе подсчета данных всех регистрационных карточек, относящихся к этому документу.
Формализованность контент-анализа и сложность его инструментария зачастую отталкивают начинающих социологов от использования данного метода. Тем самым они обедняют свое исследование, снижают его эвристичность. Если этот метод применяется впервые, то допускаются многочисленные ошибки. Отметим наиболее часто встречающиеся просчеты.
1. Анализ документов опережает разработку исследовательской программы.
2. Анализируются документы, не связанные с гипотезами исследования (имеющие сходство с темой исследования лишь по названию).
3. Не проверена подлинность документа.
4. Не уточнено его авторство.
5. Неполно учтено его предназначение.
6. Категории анализа не определены до такой степени, которая позволяет четко различать смысловые единицы текста документа.
7. Категории анализа не субординарны и не приведены в соответствие с теми дефинициями и операционализирующими их терминами, которые зафиксированы в программе исследования.
8. Категории анализа несопоставимы со смыслом и языком текста анализируемого документа.
9. Единицы анализа характеризуют категории анализа лишь внешне, а не по существу, а поэтому единицы анализа не позволяют идентифицировать содержание документа в полном соответствии с категориями анализа.
10. Анализ документа ведется без предварительной подготовки всего комплекса методических инструментов.
11. Классификатор имеет недочеты, составлен с нарушением правил логики.
12. Регистраторы (кодировщики) не получили должной методической подготовки.
13. Инструкция по регистрации и кодировке недостаточно полная, составлена исследователем, который сам предварительно не апробировал инструментарий.
14. Кодировка не соответствует программе математической обработки данных исследования.
15. Результаты контент-анализа не перепроверены информацией, собранной иными методами
Источник:
. Основы современной социологии. Изд. Алтайского гос. ун-та. 2001.
http://www. marketologu. *****/method14_1.htm
Чтол представляет собой методика контент-анализа?
Суть методики контент-анализа заключается в поиске информации по конкретным словам, словосочетаниям и/или темы (т. н. «смысловым единицам»). Контент-анализ является разновидностью работы с документами (рекламные материалы, публикации, стенограммы групповых дискуссий), основанной на их формализованном качественно-количественном изучении. Метод контент-анализа предполагает формальную фиксацию, числовую обработку, оценку и анализ содержания информационного источника в контексте конкретной исследовательской проблемы.
Контент-анализ позволяет, прежде всего, узнать наполненность среды объектом поиска. Кроме этого, выявляется отношение носителя к проблеме (позитивное, негативное, нейтральное). Контент-анализ часто применяется для определения насыщенности рекламоносителя рекламными обращениями, при оценке эффективности рекламы или анализе конкурентной среды.
Назначение и возможности методики «контент-анализ»
В каких случаях используют контент-анализ?
Контент-анализ позволяет решать следующие задачи:
§ изучение социально-демографического и социально-психологического портрета целевой аудитории;
§ выявление глубинных установок респондентов;
§ выявление политической, экономической ориентации СМИ;
§ изучение логических противоречий в тексте, например, в заявлениях интересующих фигур или анонсах компаний;
§ выявление рекламной стратегии фирмы.
Контент-анализ может использоваться как основной метод, направленный на получение наиболее важной информации об изучаемом явлении; как метод, применяемый в комплексе с другими; как вспомогательный метод или процедура обработки данных, полученных при других исследованиях.
Объекты контент-анализа
Какие объекты изучает контент-анализ?
Объектами контент-анализа выступает содержание газет, публичных выступлений, теле - и радиопередач, общественных и личных документов, социальных интервью, ответов на открытые вопросы анкет и др. Контент-анализ базируется на том, что в документах выделяются и затем анализируются легко подсчитываемые смысловые единицы:
§ понятия, выраженные в словах или терминах. Например, рынок мебели, инвестиционный климат, губернатор, соевые продукты и т. п.;
§ тема, выраженная в целых смысловых абзацах, частях текста, статьях и т. п. (например, проблема снижения покупательной способности населения или критика действий президента страны);
§ названия крупных фирм или торговых марок, конкретных товаров и т. п. Единицей счета могут быть не только частота упоминаний, но и газетная площадь, эфирное время, и т. д.
Процедуры контент-анализа
Какие процедуры используются в расках контент-анализа?
Контент-анализ позволяет выполнить следующие процедуры анализа:
§ частотный анализ текста, построение смысловых групп;
§ смысловой анализ текста, нахождение синонимичных выражений;
§ поиск связей в тексте для заданных слов;
§ построение карт текстов и сравнение их между собой;
§ вычисление стандартных коэффициентов (число слов, предложений, средняя длина предложения);
§ вычисление интегральных характеристик текста (лексическое разнообразие, структурная и грамматическая сложность);
§ сравнение текстов между собой различными методами и вычисление интегральных индексов сходства текстов по результатам сравнения;
§ нахождение функциональных зависимостей между характеристиками текста и проверка этих зависимостей на других текстах.
http://www. *****/
Количественные методы в маркетинговых исследованиях
1. Личное интервью
2. Телефонный опрос
3. Контент-анализ
Контент-анализ
Контент-анализ — строгое исследование содержания текстовых массивов в целях выявления или измерения социальных тенденций, репрезентативных этим массивам.
Как показывает практика, в большинстве случаев данная методика используется при анализе содержания материалов СМИ, довольно часто применяется в качестве метода обработки первичной исследовательской информации, особенно открытых вопросов анкет.
Преимущественно развитие этого метода обязано социологическим исследованиям, но приемы контент-аналитических исследований применяются всюду, где возможна постановка тех или иных исследовательских задач, связанных с углубленным пониманием содержания текста, способов его производства и обращения в обществе, восприятия со стороны читателя или адресата.
Основная цель данного метода
Изучение информации в имеющихся документах с целью выявления социального контекста сообщения.
Возможности метода
1. определение и анализ преобладающих направлений СМИ;
2. определение эмоциональных окраски, тона публикаций;
3. определение рейтинга лидеров, фирм, организаций, товарных марок по частоте упоминания в СМИ;
4. определение отношения СМИ к лидерам, фирмам, организациям, определенным событиям, способ подачи материала, эмоциональный тон;
5. концентрация внимания исследователя на тех признаках текста, которые прямо или косвенно свидетельствуют о позиции, состоянии или намерениях автора.
Стадии исследования
1. подготовка программы анализа документов (задачи, понятия, гипотезы и т. д.);
2. формирование выборки;
3. разработка методики данного конкретного анализа;
4. проба (пилотаж) методики, проверка ее надежности;
5. сбор первичной информации;
6. количественная обработка собранных данных;
7. интерпретация полученных результатов, выводы.
Достоинства метода
Возможность избежать влияния исследователя на изучаемый объект, достижимость высокой степени надежности получаемых данных (документы наиболее удобны для перепроверки), возможность исследования социально-психологических явлений в историческом плане посредством анализа документов прошлого



