Расчет рыночной стоимости акционерного капитала в рамках метода дисконтированных денежных потоков в условиях изменения структуры капитала и отсутствия достаточных данных о затратах на привлечение собственного капитала
Изменение структуры капитала компании происходит практически всегда, можно сказать, при любых движениях фондов и денежных средств, а также при изменениях рыночной стоимости активов и обязательств компании, структура ее капитала, измеренная в рыночных ценах, претерпевает изменения. Неизменность структуры капитала возможна лишь при неизменности рыночных цен и специальной (тщательно рассчитанной) политики заимствований. Также следует понимать, что в отношении структуры капитала ряд казалось бы различных событий могут являться эквивалентными: например, сокращение уровня заимствований может привести к такому же эффекту, как дополнительный выпуск и размещение новых акций без сокращения заимствований. Представленный ниже материал представляет собой попытку автора отразить подобного рода нюансы.
В случаях, когда изменяется структура капитала компании, метод дисконтирования денежных потоков акционеров является более приемлемым по сравнению с методом дисконтирования потоков всего инвестированного капитала, поскольку первый из этих методов, учитывает стоимость налогового щита, связанного с наличием в компании инструментов заемного финансирования, непосредственно в денежном потоке на собственный капитал, а не в ставке дисконтирования.
К сожалению, метод дисконтирования потоков акционеров связан с проблемой циклических вычислений. Затраты на привлечение собственного капитала зависят от рыночной стоимости собственного и заемного капитала[1]. Однако, если данные о рыночной стоимости привлечения (затратах на привлечение) собственного капитала отсутствуют, она (они) рассчитывается на основе стоимости компании, которая, в свою очередь, оценивается посредством дисконтирования потоков на инвестированный капитал по ставке WACC. Следовательно, затраты на привлечение собственного капитала зависят от WACC, а значит, от стоимости привлечения собственного капитала. Решение этой проблемы циклических вычислений приведено ниже. Идеология этого решения заимствована автором в [1].
Первый шаг - расчет стоимости денежных потоков на собственный капитал. Предположим, после проведенного анализа оценщик составил следующий прогноз денежных потоков (для упрощения рассмотрим только двухгодичный прогноз):
Таблица 1.«Итоговый прогноз денежныхпотоков акционеров»
Год 0
Год 1
Год 2
Ожидаемые денежные
17,6
24,12
потоки на
инвестированный
капитал
Сумма процентных обязательств
85
100
120
Изменение суммы
15
20
процентных обязательств
Средняя процентная
10%
10%
ставка по долгу
Процентные платежи
10
12
Ставка налога на
24%
24%
прибыль
Налоговый щит
2,4
2,88
обусловленный
процентными
платежами
Ожидаемые денежные
25
35
потоки на собственный
(= 17,+ 2,4 +
(= 24,1+ 2,88
капитал
15)
+ +20)
Второй шаг - оценка стоимости собственного капитала в конце второго года (Е2), которая равняется разнице между стоимостью компании и стоимостью заемного капитала. Стоимость компании (ее инвестированного капитала) определяется как терминальная стоимость, дисконтированная по ставке WACC. Предположим следующее:
• после второго года и до бесконечности потоки компании будут расти на 5% в год;
• начиная со второго года, структура капитала компании будет неизменной (для этого следует на каждый процент изменения нераспределенной прибыли изменять уровень заимствований таким образом, чтобы он также изменялся на 1%; конкретные значения определяются с учетом текущего соотношения долга к капиталу акционеров, определенного на рыночной основе);
• премия за риск инвестирования в акции была, и будет оставаться на уровне 7,5%;
• ставка доходности по долговым обязательствам в первом прогнозном году (rD) будет составлять 10%;
• для упрощения предположим также, что рыночные процентные ставки будут оставаться неизменными, причем, рыночная величина безрисковой ставки (rf) будет равна 6,5%, а величина ставки по обязательствам (rD) - 10%;
• Очищенное от долговой нагрузки значение отраслевой беты акционерного капитала (fin) всегда будет составлять 0,79.
Отметим, что имеющийся набор исходных данных и предположений о будущем недостаточен для адекватной оценки затрат на капитал в каждом из годов прогнозного периода, поскольку структура капитала компании, как видно из таблицы 1, будет претерпевать изменения.
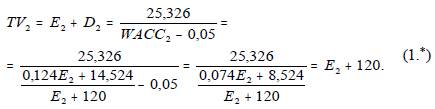
При указанных выше предположениях WACC, начиная со второго года, всегда будет иметь постоянное значение. В рассматриваемом случае терминальная стоимость компании (ee остаточная стоимость в конце 2-го года) может быть рассчитана с применением формулы Гордона:
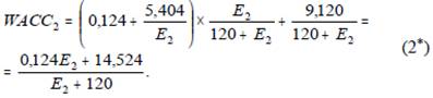
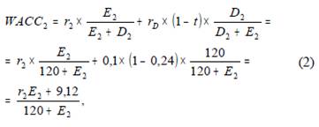
где Е2 - стоимость собственного капитала в конце второго года, D2 - сумма процентных обязательств во втором году, FCFF2 - денежный поток на инвестированный капитал во втором году, g - ожидаемый темп роста денежных потоков (FCFF) в постпрогнозном периоде, WACC2 - WACC во втором году, которая вычисляется следующим образом:
где r2 - стоимость привлечения собственного капитала в конце второго года, определяемая на базе модели САРМ:
где β2 - коэффициент систематического риска собственного капитала в конце второго года, который вычисляется по формуле Хамады:
где βи - очищенная от долговой нагрузки бета собственного капитала оцениваемой компании, равная 0,79.
Подставляя последовательно значение β2 из (4) в (3), значение r2 из (3) в (2) и значение WACC2 из (2) в (1), оценим стоимость собственного капитала в конце второго года. Осуществим эти расчеты, подставляя сразу (4) в (3):
Подставим теперь значение этого выражения в уравнение (2):
Подставим теперь (2*) в (1):
Решением этого уравнения является значение Е2 = 227,054. Соответственно, величина терминальной стоимости на конец второго периода составит: TV2 = 227,054 + 120 = 347,054.
Третий шаг - расчет текущей стоимости оцениваемой компании на конец первого года прогнозного периода. Для этого следует дисконтировать к концу первого периода расчетно-ожидаемую сумму стоимости компании на конец второго года и денежных потоков за этот период.
Осуществим такие расчеты для окончания первого года прогнозного периода. Сначала сделаем это на основе модели дисконтирования потоков на инвестированный капитал, затем - на базе дисконтирования потоков на собственный капитал.
1. Оценка стоимости акционерного капитала на базе потоков от всего инвестированного капитала.
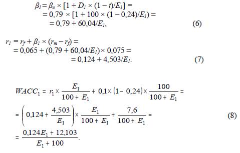
где WACCi - средневзвешенная стоимость капитала в конце первого года, для расчета которой следует определить затраты на привлечение акционерного капитала для этого же года (r1), которые, в свою очередь могут быть определены по модели САРМ лишь после определения значения беты с учетом уровня задолженности компании на конец первого периода (fii). Поэтому для определения WACCi осуществим процедуру, полностью аналогичную представленной выше:
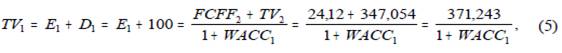
Подставляя полученное в (8) значение для WACCi в (5), получим уравнение:
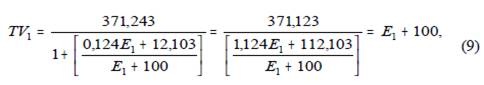
решение которого относительно Ei приводит к значению Ei = 230,445 . Отсюда значение TV1 = 230,445 + 100 = 330,445.
Проверим полученное значение TV1, для чего определим из (8) WACC i, после чего подставим полученное значение WACC1 в (5):
Значение последнего выражения с точностью до округления совпадает с полученным выше значением для TV1.
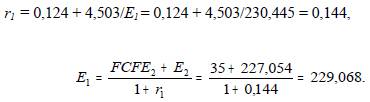
Теперь проверим полученное выше значение Е1, для чего определим из (7) r1 и подставим ее значение в соответствующую формулу дисконтирования:
Видно, что полученное значение Е1, практически совпадает с ранее полученным для него значением.
2. Оценка стоимости акционерного капитала на базе потоков от акционерного капитала.
В случае, если нам неизвестно значение r1, но известно значение Е2, получить значение Е1 можно, подставив выражение для r1 из (7) в последнее из вышеприведенных выражений и решив полученное уравнение:
решением которого является E1 = 229,138, что также совпадает с ранее полученным результатом.
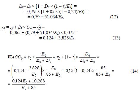
Четвертый шаг - расчет текущей стоимости оцениваемой компании на дату оценки. Для этого следует дисконтировать к дате оценки расчетно-ожидаемую сумму стоимости компании на конец первого года и денежных потоков за этот период:
где WACC0 - средневзвешенная стоимость капитала на момент оценки, для расчета которой следует определить затраты на привлечение акционерного капитала для этого же
года (r0), которые, в свою очередь могут быть определены по модели САРМ лишь после определения значения беты с учетом уровня задолженности компании на момент оценки (fio). Поэтому для определения WACCo осуществим процедуры, полностью аналогичные
представленным выше:
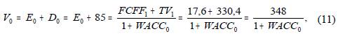
Подставляя полученное в (14) значение для WACCo в (11), получим уравнение:
решение которого относительно Eo приводит к значению Eo = 224,833. Отсюда значение Vo = 224,833 + 85 = 309,833.
Проверим полученные значения Vo и Eo аналогично предыдущему случаю. Проверка Vo:
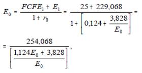
Значение последнего выражения с точностью до округления совпадает с полученным выше значением для Vo. Проверка Eo:
Откуда Eo = 222,633, что с точностью до 1% совпадает с ранее полученным для Eo результатом (224,833).
Отметим, что если бы мы изначально захотели определить значение для E2 на основе потоков на собственный капитал, результат расчета был бы следующим:
где значение r2 было определено ранее: r2 = 0,124 + 5,404/E2. Подставляя это значение в (16), получим:
откуда E2 = 423, 594, что намного выше ранее полученного результата (227,054).
Такое несовпадение обусловлено, прежде всего, тем, что применяя формулу (16), мы нарушили одно из сделанных ранее допущений, а именно: «начиная с второго года, структура капитала компании будет неизменной». Если мы в начальных допущениях предполагали рост денежных потоков, начиная со второго года, на 5% ежегодно, то следует оговориться, рост каких именно денежных потоков подразумевался. В нашем случае мы неявно подразумевали в качестве основного прогноз потоков на инвестированный капитал (первая строка таблицы 1), а прогнозные потоки на собственный капитал были вычислены на основе имеющихся данных о существующих и планируемых процентных обязательствах, и начисляемых по ним ставках. Соответственно, поскольку денежные потоки на собственный капитал имеют функциональную зависимость от потоков на инвестированный капитал, изменения уровня процентной задолженности и процентных платежей, рост потоков на инвестированный капитал на 5% обусловит изменение потоков на собственный капитал в общем случае на иную величину (т. е. не равную 5%). В нашем случае (примере) рост потоков акционеров во втором году с 25 до 35 было обусловлен, прежде всего, ростом привлеченных средств. Можно показать, что при 5% росте потоков на инвестированный капитал с 24,12 во втором году до 25, 326 в третьем году, для обеспечения роста потоков акционеров на эти же 5% потребуется в дополнение к имеющейся процентной задолженности в размере 120 (во втором году) привлечь дополнительно 22, то есть довести общий уровень задолженности до 142. Такое изменение заемных средств нарушит структуру капитала компании (измеренную в рыночных ценах). Для сохранения структуры капитала неизменной требуется, согласно, первоначальным допущениям, чтобы отношение стоимости долга к акционерному капиталу во все годы, начиная с второго, оставалось неизменным, и равным: D2/E2 = 120/227,054 = 0,529 (обозначим для краткости это отношение «а»). С учетом этого условия оценим стоимость инвестированного и акционерного капитала на конец третьего периода:

Подставляя, значение WACCs из (20) в (17), получим:
Решением (21) будет: E3 = 238,367, D3 = 0,529 x 238,367 = 126,096, TV3 = 364,463. Поскольку теперь мы знаем «правильный» уровень задолженности в третьем прогнозном году, прогнозируемый в третьем году денежный поток акционеров составит:
Подставляя теперь значение прогнозируемого потока акционеров в третьем году в формулу Гордона, получим значение стоимости акционерного капитала на конец третьего года:
Видно, что полученный для Es результат (234,456) практически совпадает с результатом, полученным ранее на основе дисконтирования потоков на инвестированный капитал (238,367).
Для «успокоения души» сделаем напоследок еще пару проверочных действий:
1. Убедимся, что приведение потоков инвестированного капитала третьего прогнозного периода и остаточной стоимости на конец третьего периода ко второму периоду даст ранее полученный результат:
откуда Е2 = 227,016, что практически совпадает с ранее полученным для Е2 значением (227,054).
2. Убедимся, что приведение акционерных потоков третьего прогнозного периода и остаточной стоимости на конец третьего периода ко второму периоду даст ранее полученный результат:
Продолжая вышеописанную процедуру, можно убедиться, что такое совпадение происходит и с потоками первого прогнозного периода (а также со стоимостью на конец первого прогнозного периода). Незначительное расхождение между результатами дисконтирования потоков на собственный и акционерный капитал объясняется небольшим различием темпа роста потоков в постпрогнозном периоде. Так например, с третьего на четвертый год в соответствии с нашими ожиданиями о 5% росте потоков на инвестированный капитал и неизменности структуры капитала потоки акционеров увеличатся на 8,45%. В более отдаленные периоды темпы роста потоков акционеров будут все время снижаться: несмотря на рост в абсолютном выражении суммы привлеченных средств (увеличивающих потоки акционеров), начнет сказываться бремя выплат по обязательствам. Расчеты показывают (выкладки опущены), что для условий данного примера темп роста потоков акционеров сравняется с темпом роста потоков на инвестированный капитал лишь в десятом году.
Завершая данную тематику, отметим следующее. Как известно, практика применения метода дисконтированных денежных потоков заключается в разбиении будущих периодов на прогнозный и постпрогнозный период, и вычислений приведенной стоимости потоков в каждом из этих периодов. Практически во всех случаях в прогнозном периоде изменяется структура капитала компании. Соответственно, зная это, по - хорошему, потоки каждого года прогнозного периода следует дисконтировать по своей ставке - так, как показано выше. Отметим, что применение иных моделей оценки ставки дисконтирования потоков собственного капитала, в которых отражена зависимость ставки от структуры капитала (например, модифицированной версии САРМ (МСАРМ), учитывающей помимо прочего, премию за размер и специфические риски компании) не изменяет представленных выше принципов расчета (при использовании МСАРМ сами расчеты станут чуть более громоздкими).
Литература
1. Пети стоимости компании. Издательский дом «Вильямс» Москва - Санкт-Петербург-Киев, 2003.
[1] Это следует из второго постулата Модильяни-Миллера: ожидаемая норма доходности обыкновенных акций левериджированной фирмы (rE) возрастает пропорционально соотношению заемного и акционерного капитала (D/E), выраженного в рыночных ценах; темп роста зависит от разрыва между r - ожидаемой доходностью портфеля всех ценных бумаг фирмы и rD - ожидаемой доходностью долговых обязательств:
![]()



