ПРИЛОЖЕНИЕ
к Национальному стандарту
оценки имущества (НСОИ) N 8, утвержденному
Постановлением Госкомимущества
от 01.01.2001 г. N 01/19-18/20,
зарегистрированным МЮ
28.10.2009 г. N 2025
МЕТОДИЧЕСКИЕ УКАЗАНИЯ
по применению НСОИ N 8 "Оценка стоимости
имущества в целях приватизации"
Преамбула
Глава I. Термины и определения
Глава II. Определение задания на оценку
и заключение договора об оценке объекта оценки
Глава III. Идентификация объекта оценки
Глава IV. Сбор и анализ информации
Глава V. Анализ наилучшего и наиболее
эффективного использования объекта оценки
Глава VI. Выбор, обоснование и применение
подходов и методов оценки
Глава VII. Составление отчета об оценке
Настоящие Методические указания по применению НСОИ N 8 (далее - методические указания) разработаны с целью практического применения НСОИ N 8.
ГЛАВА I. ТЕРМИНЫ И ОПРЕДЕЛЕНИЯ
1. В методических указаниях используются следующие термины и определения:
внешний (экономический, экологический) износ - потеря стоимости имущества в результате изменения внешней ситуации (в том числе изменений на рынке недвижимости, изменения социальных, финансовых, законодательных, экологических и иных условий);
накопленный (совокупный) износ - уменьшение восстановительной стоимости или стоимости замещения зданий и сооружений, которое может иметь место в результате физического, функционального и внешнего износа;
неустранимый износ - износ, для которого затраты на устранение вызывающих его причин, больше, чем добавляемая в результате их устранения стоимость объекта;
премия за контроль - дополнительная стоимость, которая отражает наличие элементов контроля;
реверсия - возврат капитала в конце прогнозного периода;
скидка за недостаточность контроля - сумма или процент, вычитаемый из пропорционального размера стоимости 100% пакета акций (доли) в бизнесе, отражающая отсутствие некоторых или всех полномочий контроля;
скидка на низкую ликвидность - абсолютная или относительная величина, на которую уменьшается рыночная стоимость объекта, чтобы отразить его недостаточную ликвидность;
собственный капитал - активы предприятия за вычетом всех его обязательств;
стоимость замещения - стоимость новых улучшений с аналогичной полезностью в текущих ценах;
физический износ - потеря стоимости, связанная с частичной или полной потерей объектом (его элементами) свойств эксплуатационной пригодности в результате естественного старения, неправильной эксплуатации, ошибок при проектировании или нарушений правил эксплуатации;
функциональный износ - потеря стоимости объектом вследствие изменения предпочтений, технических инноваций или рыночных стандартов.
ГЛАВА II. ОПРЕДЕЛЕНИЕ ЗАДАНИЯ
НА ОЦЕНКУ И ЗАКЛЮЧЕНИЕ ДОГОВОРА
ОБ ОЦЕНКЕ ОБЪЕКТА ОЦЕНКИ
2. Определение задания на оценку осуществляется заказчиком совместно с оценочной организацией. В задании на оценку определяются и формулируются основные условия оценки объекта оценки, а также ограничительные условия проведения оценки.
3. Задание на оценку составляется в следующей форме:
|
Объект оценки (наименование и краткое описание) | |
|
Балансодержатель (наименование, реквизиты) | |
|
Месторасположение объекта оценки (предприятия, эмитента) | |
|
Заказчик и его реквизиты | |
|
Оценочная организация и ее реквизиты | |
|
Основание для проведения оценки | |
|
Организационно-правовая форма объекта оценки | |
|
Цель и задачи оценки (назначение оценки) | |
|
Вид определяемой стоимости | |
|
Ограничительные условия | |
|
Дата оценки | |
|
График (сроки) проведения оценки | |
|
Дата представления отчета об оценке заказчику |
В зависимости от цели оценки и особенностей объекта оценки задание на оценку может содержать дополнительные условия.
4. Задание на оценку оформляется как приложение к договору об оценке объекта оценки. К договору также может быть приложен перечень документов, необходимых для проведения оценки, предоставляемый заказчиком или уполномоченным им лицом.
ГЛАВА III. ИДЕНТИФИКАЦИЯ
ОБЪЕКТА ОЦЕНКИ
5. Располагая собранной (полученной от заказчика или уполномоченных им лиц) первичной документацией, оценщик с лицом, уполномоченным заказчиком или представителем балансодержателя (эмитента) объекта оценки, проводит осмотр, изучение фактического состояния объекта оценки, его описание, обмер и фотографирование и другие действия, необходимые для идентификации объекта оценки.
6. При идентификации объекта оценки определяется соответствие качественных и количественных характеристик объекта оценки исходя из его фактического состояния данным, указанным в документах, предоставленным заказчиком и (или) уполномоченным им лицом.
Также изучается соответствие фактических имущественных прав на объект оценки документам, подтверждающим право на имущество.
При необходимости по запросу оценщика лицом, предоставившим документы, оформляются уточнения (пояснения) соответствующим документам в виде дополнительных справок.
Вся проделанная работа по идентификации объекта оценки оценщиком отражается в отчете об оценке.
7. При оценке предприятия в отчете об оценке необходимо отразить:
наименование и юридический адрес предприятия;
отраслевую принадлежность и основной вид деятельности;
номер и дату государственной регистрации;
организационно-правовую форму;
идентификационный номер налогоплательщика и банковские реквизиты;
состав и структуру имущества;
филиалы и представительства;
имущественные права, ограничения, обременения и сервитуты, договоры аренды;
финансово-экономическое состояние предприятия.
При установлении количественных и качественных характеристик оцениваемого предприятия также необходимо изучить и описать направления его деятельности, ретроспективные данные об истории предприятия, о производственных мощностях, о рабочем и управленческом персонале, внутреннюю финансовую информацию (данные бухгалтерского баланса, отчетов о финансовых результатах и движении денежных средств за последние 3 года).
8. При оценке недвижимого имущества следует идентифицировать и описать следующие характеристики:
наименование, функциональное назначение и текущее использование;
местоположение, физическое и правовое описание объекта оценки;
экономические свойства и способность объекта оценки приносить доход;
любое имущество или неосязаемые активы, не являющиеся недвижимым имуществом, но включаемые в оценку;
любые известные сервитуты, ограничения и обременения, имеющие отношение к объекту оценки.
9. При оценке машин и оборудования, в зависимости от целей оценки, следует идентифицировать:
функционально самостоятельные машины, агрегаты и установки;
технологические комплексы, объединяющие в соответствии с технологическим процессом технологические машины и вспомогательные устройства;
машинный или станочный парк производственного структурного подразделения, представляющий собой совокупность инвентарных объектов;
транспортные средства.
Идентификация машин и оборудования проводится в два этапа. На первом этапе анализируется инвентарная опись оцениваемого оборудования, уточняются его технико-экономические характеристики. Источниками данной информации служат инвентарные карточки, технические паспорта, описания, инструкции по эксплуатации, номенклатурные справочники и другая документация. Второй этап проводится на месте установки объекта оценки и предполагает изучение его фактического состояния.
Идентификация машин и оборудования проводится одним из следующих способов:
индивидуальная идентификация проводится путем изучения отдельно каждой единицы оборудования (машины или транспортного средства), внешний осмотр и проверку фактической комплектности инструмента, приспособлений, оснастки и инвентаря, а также их работоспособности и эксплуатационной готовности. Индивидуальная идентификация проводится в случаях, когда машины, оборудование и транспортные средства являются отдельными объектами оценки или объектами для вклада в уставный фонд предприятий или находятся в составе оцениваемого предприятия, количество которых составляет менее 300 единиц;
массовая идентификация проводится по принципу формирования однородных групп (по видам или маркам или функциональному назначению или др.) объектов оценки. Массовая идентификация проводится в случаях, когда машины, оборудование и транспортные средства оцениваются в составе недвижимого имущества как его неотъемлемая часть или находятся в составе оцениваемого предприятия, количество которых составляет более 300 единиц.
Независимо от способов идентификации машин, оборудования и транспортных средств в процедуре идентификации следует отразить следующую информацию:
наименование, модель (марка) с указанием количества оцениваемых объектов данного типа;
наименование изготовителя;
назначение объекта;
основные технические характеристики;
год изготовления и (последняя) дата ввода в эксплуатацию;
сведения об установке на фундамент и подключении к коммуникационным сетям;
сведения о ремонте и техническом обслуживании объекта, замене его отдельных узлов и агрегатов.
10. При идентификации имущества оценщику следует указать в отчете об оценке, было ли соответствующими органами проведено какое-либо обследование для выявления присутствия или иного влияния токсических или опасных материалов, фактических или скрытых дефектов.
ГЛАВА IV. СБОР И АНАЛИЗ
ИНФОРМАЦИИ
11. Порядок сбора информации для оценки объектов оценки включает:
определение состава необходимых сведений;
выбор информационных источников;
сбор необходимой информации;
систематизацию, обработку и анализ данных;
описание информации в отчете об оценке.
12. Используемая в процессе оценки информация должна обеспечить оценщику возможность определить наиболее важные ценообразующие факторы и сделать обоснованный вывод об итоговой стоимости объекта оценки.
13. Оценщик осуществляет сбор информации, необходимой для проведения оценки, изучает количественные и качественные характеристики объекта оценки, осуществляет анализ информации, существенной для определения стоимости объекта оценки теми подходами и методами, которые должны быть применены при проведении оценки, в том числе:
информацию об экономических, экологических и прочих факторах, оказывающих влияние на стоимость объекта оценки;
информацию о спросе и предложении на рынке, к которому относится объект оценки;
информацию об объекте оценки, включая правоустанавливающие документы, сведения о текущем использовании объекта оценки, об обременениях, связанных с объектом оценки, информацию о физических свойствах объекта оценки, его технических и эксплуатационных характеристиках, износе и устареваниях, прошлых и ожидаемых доходах и затратах, данные бухгалтерского учета и отчетности, относящиеся к объекту оценки, а также иную информацию, существенную для определения стоимости объекта оценки.
14. При оценке предприятий (акций, долей, паев) оценщику необходимо осуществить анализ финансово-хозяйственной деятельности предприятия на основе собранной бухгалтерской (финансовой) отчетности.
15. Оценщик должен провести анализ достаточности и достоверности информации, используя доступные ему для этого средства и методы.
Собранную информацию можно считать достаточной для целей оценки, если использование дополнительной информации не ведет к существенному изменению итоговой величины стоимости объекта оценки. В случае если недостаток информации повлияет на итоговый результат оценки стоимости объекта оценки, это должно быть отражено в отчете об оценке.
ГЛАВА V. АНАЛИЗ НАИЛУЧШЕГО И НАИБОЛЕЕ
ЭФФЕКТИВНОГО ИСПОЛЬЗОВАНИЯ
ОБЪЕКТА ОЦЕНКИ
16. Анализ наилучшего и наиболее эффективного использования является неотъемлемой частью расчетов рыночной стоимости недвижимого имущества.
Наилучшее и наиболее эффективное использование (далее - ННЭИ) определяется как наиболее вероятное использование недвижимого имущества, которое законодательно разрешено, физически реализуемо и финансово осуществимо и при котором наиболее полно реализуются функциональные возможности недвижимого имущества и обеспечивается его максимальная стоимость.
17. Использование объекта оценки, не разрешенное законом или физически невозможное, не может рассматриваться как наиболее эффективное. Даже в случае законодательно допустимого и физически возможного использования оценщик должен обосновать свое мнение о том, что по разумным соображениям подобное использование является вероятным.
После того как анализ ННЭИ покажет, что один или несколько вариантов использования являются вероятными, проверяется их обоснованность с финансовой точки зрения. То использование, при котором объект оценки будет иметь максимальную стоимость и которое отвечает другим требованиям, считается наиболее эффективным.
Из всех законодательно разрешенных и физически возможных вариантов использования выбирается такой вариант использования, который обеспечивает необходимую величину прибыли на инвестиции в объект оценки и максимальную стоимость объекта оценки.
18. На выбор возможных вариантов использования объекта оценки могут накладывать определенные ограничения: его физические характеристики, сервитуты и другие обременения, невозможность осуществления улучшений, его месторасположение и другие факторы, которые оценщик обязан выявить.
В ситуациях, когда можно выявить несколько типов потенциально наиболее эффективного использования, оценщику следует рассмотреть все альтернативные варианты использования в свете всех внутренних и внешних факторов, влияющих на результаты его эксплуатации.
19. В случае если объект оценки приватизируется с условием сохранения профиля его деятельности и основного назначения, анализ ННЭИ не проводится. В дальнейшем при расчете его стоимости оценщик должен исходить из предположения об эксплуатации объекта оценки согласно его текущему использованию.
Недостаточность рыночной информации является причиной отказа от анализа ННЭИ и признания текущего типа использования объекта оценки наилучшим.
Отказ от проведения анализа ННЭИ должен быть обоснован оценщиком в отчете об оценке.
ГЛАВА VI. ВЫБОР, ОБОСНОВАНИЕ И ПРИМЕНЕНИЕ
ПОДХОДОВ И МЕТОДОВ ОЦЕНКИ
§ 1. Доходный подход
§ 2. Сравнительный подход
§ 3. Затратный подход
§ 4. Согласование результатов оценки, полученных
в рамках примененных подходов, и расчет итоговой
стоимости объекта оценки
§ 1. Доходный подход
20. Оценка стоимости объектов оценки доходным подходом осуществляется с применением метода дисконтирования денежных потоков или метода прямой капитализации.
Оценка предприятий (акций, долей, паев)
21. Метод дисконтирования денежных потоков (далее - метод ДДП) применяется для оценки предприятий, денежные потоки которых нестабильны, и основывается на определении стоимости объекта оценки суммированием текущих стоимостей ожидаемых от него денежных потоков в прогнозный и постпрогнозный периоды (в конце периода).
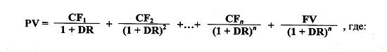
Расчеты проводятся по формуле:

PV - текущая стоимость;
CF - денежный поток N-го периода;
FV - реверсия, остаточная стоимость предприятия в постпрогнозный период;
DR - ставка дисконтирования;
n - последний год прогнозного периода.
22. В случае когда предполагаются денежные потоки в середине прогнозного года (при сезонности производства, при условии поступления дохода частями в течение года), денежный поток дисконтируется с середины прогнозного периода.
Расчеты проводятся по формуле:

23. Основными этапами оценки предприятия (пакетов акций, долей, паев) методом ДДП являются:
а) выбор модели денежного потока;
б) определение длительности прогнозного периода;
в) ретроспективный анализ, прогноз выручки, расходов и инвестиций;
г) расчет величины денежного потока для каждого периода;
д) определение ставки дисконтирования;
е) расчет величины стоимости в постпрогнозный период (реверсии);
ж) суммирование текущих стоимостей будущих денежных потоков и реверсии;
з) внесение заключительных поправок.
24. При оценке приватизируемого предприятия (пакетов акций, долей, паев) применяется модель денежного потока для собственного капитала.
Денежный поток для собственного капитала
|
Знак действия |
Показатель |
|
Плюс |
Чистая прибыль после уплаты налогов |
|
Плюс |
Амортизационные отчисления |
|
Плюс (минус) |
Уменьшение (прирост) собственного оборотного капитала |
|
Плюс (минус) |
Уменьшение (прирост) инвестиций в основные средства |
|
Плюс (минус) |
Прирост (уменьшение) долгосрочной задолженности |
|
Минус |
Дивиденды на привилегированные акции |
|
Итого: |
Денежный поток для собственного капитала |
В отдельных случаях заданием на оценку объекта оценки может быть установлено использование в расчетах методом ДДП модели денежного потока для инвестированного капитала.
25. Определение длительности прогнозного периода осуществляется с учетом планов развития предприятия, динамики стоимостных показателей (выручки, себестоимости, прибыли, цен и др.), тенденций изменения спроса, объемов производства и продаж.
Прогнозный период определяется длительностью в пять лет. Наибольший срок прогнозного периода может быть определен заданием на оценку.
Если нет объективных причин для прекращения существования предприятия, то предполагается, что оно может существовать неопределенно долго. Срок дальнейшего существования предприятия делится на две части: прогнозный период, когда оценщик прогнозирует динамику денежных потоков, и постпрогнозный период, когда учитываются долгосрочные темпы роста денежного потока.
26. Ретроспективный анализ и прогноз должны быть логически совместимы с ретроспективными показателями деятельности предприятия и отрасли в целом.
Анализ и прогноз валовой выручки требуют рассмотрения следующих факторов:
номенклатуры выпускаемой продукции;
объемов производства и цен на продукцию;
темпов роста предприятия;
спроса на продукцию;
имеющихся производственных мощностей (в том числе еще не задействованных);
перспектив и возможных последствий капитальных вложений;
планов развития предприятия.
27. При прогнозировании расходов оценщик должен:
учесть ретроспективные данные и тенденции;
изучить структуру расходов, постоянных и переменных;
изучить единовременные и чрезвычайные статьи расходов;
рассчитать затраты на выплату процентов по кредитам на основе прогнозируемых уровней задолженности;
сравнить прогнозируемые расходы с соответствующими показателями для предприятий-конкурентов или с аналогичными среднеотраслевыми показателями;
спрогнозировать и обосновать необходимость осуществления затрат (вложений) на замену изношенного оборудования;
определить амортизационные отчисления активов с учетом их прироста и выбытия.
28. При анализе и прогнозе инвестиций (потребности в инвестициях, источниках финансирования, инвестиционной политики) оценщик должен:
проанализировать необходимость в заемных средствах (получение кредитов, выпуск акций и другое);
определить излишки или недостатки оборотных средств;
определить необходимый размер капитальных вложений с целью замены основного капитала по мере его износа и расширения производственных мощностей;
расчет изменения (увеличения или уменьшения) долгосрочной задолженности.
29. Для расчета величины денежного потока для каждого года прогнозного периода применяют косвенный и прямой методы.
Косвенный метод допускает анализ движения денежных средств по направлениям деятельности. Он наглядно демонстрирует использование прибыли и инвестирование имеющихся денежных средств.
Прямой метод основан на анализе движения денежных средств по статьям прихода и расхода, т. е. по бухгалтерским счетам.
При расчете величины денежного потока оценщик изучает и при необходимости корректирует планы развития предприятия.
30. Размер ставки дисконтирования определяется в соответствии с пунктом 36 НСОИ N 8.
31. Расчет стоимости реверсии в постпрогнозном периоде осуществляется в зависимости от структуры всех активов собственного капитала.
В случаях, когда активы (собственный капитал) предприятия состоят в основном из долгосрочных активов (основные средства, капитальные вложения, инвестиции и др.), стоимость реверсии рассчитывается путем дисконтирования рыночной стоимости чистых активов предприятия на дату постпрогнозного периода.
При этом в качестве рыночной стоимости чистых активов предприятия на постпрогнозный период принимается результат расчетов стоимости предприятия затратным подходом.
Расчеты проводятся по следующим формулам:
|
S1 = V * I * (1-A) S2 = S1 * I * (1-A) S3 = S2 * I * (1-A) … | ||
|
Sn = Sn-1 * I * (1-A) FV = Sn * 1,02 |
, где: |
S1, S2, S3, …, Sn - рыночная стоимость чистых активов в соответствующих прогнозных периодах;
V - рыночная стоимость чистых активов предприятия на дату оценки:
I - годовой индекс удорожания цен в зависимости от отрасли оцениваемого предприятия по данным органов статистики, установленный по итогам года, предшествующего дате оценки;
А - коэффициент 0,05, определяющий среднюю величину амортизационных отчислений основных средств в размере 5%;
FV - ожидаемая стоимость в постпрогнозный период (стоимость реверсии);
n - количество прогнозных периодов.
В случаях, когда активы предприятия состоят в основном из текущих активов (денежные средства, готовая продукция, товары и др.), стоимость реверсии рассчитывается путем капитализации денежного потока первого постпрогнозного года по ставке капитализации, учитывающей долгосрочные темпы роста денежного потока. Расчеты проводятся по формуле:
|
FV = |
CFr |
, где: |
|
DR - t |
FV - ожидаемая стоимость в постпрогнозный период (стоимость реверсии);
CFr - денежный поток за первый год постпрогнозного (остаточного) периода (денежный поток последнего прогнозного периода умножается на 1 + t);
DR - ставка дисконтирования;
t - долгосрочные (условно постоянные) темпы роста денежного потока в остаточном периоде.
32. При применении метода ДДП в оценке объектов оценки в целях приватизации долгосрочные темпы роста денежного потока в постпрогнозный период устанавливаются равными 2% годовых.
33. Расчеты текущей стоимости денежных потоков в прогнозный период и реверсии осуществляются путем дисконтирования их показателей по соответствующему коэффициенту текущей стоимости единицы (фактор дисконтирования).
При применении метода ДДП необходимо суммировать текущие стоимости периодических денежных потоков, которые приносит объект оценки в прогнозный период, и текущую стоимость объекта оценки в постпрогнозный период.
Расчет текущей стоимости денежных потоков и реверсии

34. После определения текущей стоимости будущих денежных потоков и реверсии при необходимости вносятся заключительные поправки.
При расчете стоимости методом ДДП необходимо учесть стоимость активов предприятия (в том числе находящихся на консервации), которые не участвуют в производстве и получении прибыли.
Также необходимо внести поправку на фактическую величину собственного оборотного капитала: избыток собственного оборотного капитала должен быть прибавлен, а дефицит - вычтен из величины предварительной стоимости.
В результате оценки предприятия методом ДДП получаем стоимость ликвидного предприятия или контрольной (более 50%) ликвидной доли в предприятии. Если же оценивается не контрольная доля, то необходимо сделать скидку на недостаток прав контроля. Корректировка вносится путем применения коэффициента 0,01 на каждые 10% доли.
35. Метод прямой капитализации применяется для оценки предприятий, которые имеют прибыльную историю хозяйственной деятельности, успели накопить активы, стабильно функционируют. Метод реализуется посредством капитализации будущего дохода за период первого года, следующего за датой оценки.
36. Этапы метода капитализации дохода:
а) обоснование стабильности получения доходов;
б) выбор вида дохода, который будет капитализирован;
в) определение величины капитализируемого дохода;
г) расчет ставки капитализации;
д) капитализация дохода;
е) внесение итоговых поправок.
37. Обоснование стабильности (относительной стабильности) получения доходов проводится на основе анализа скорректированной финансовой отчетности.
38. В качестве капитализируемого дохода могут выступать выручка или показатели, учитывающие амортизационные отчисления: прибыль после уплаты налогов (для действующих предприятий, пакетов акций, долей), прибыль до уплаты налогов (для недвижимого имущества). Капитализация денежного потока в наибольшей степени подходит для ситуаций, в которых ожидается, что предприятие в течение длительного срока будет получать примерно одинаковые величины прибыли.
39. В качестве дохода, подлежащего капитализации, может быть выбрана:
величина, спрогнозированная на один год после даты оценки;
средневзвешенная величина выбранного вида, рассчитанная на основе ретроспективных и, возможно, прогнозных данных (за три года).
Необходимо проводить корректировку денежного потока, т. е. устранение единовременных отклонений.
40. Размер ставки капитализации определяется в соответствии с пунктом 36 НСОИ N 8.
41. Капитализация денежного потока осуществляется по формуле:
V = CF / CR, где:
V - капитализированная стоимость;
CF - денежный поток;
CR - ставка капитализации.
42. При расчете стоимости предприятия (пакетов акций, долей, паев) методом прямой капитализации необходимо учесть стоимость активов предприятия (в том числе находящихся на консервации), которые не участвуют в производстве и получении прибыли.
Также необходимо внести поправку на фактическую величину собственного оборотного капитала: избыток собственного оборотного капитала должен быть прибавлен, а дефицит - вычтен из величины предварительной стоимости.
В результате оценки предприятия методом прямой капитализации получается стоимость ликвидного предприятия или контрольного (более 50%) ликвидного пакета акций (доли, паев). Если же оценивается не контрольный пакет, то необходимо сделать скидку на недостаток прав контроля. Скидка вносится в аналогичном порядке как и в методе ДДП.
Оценка недвижимого и движимого имущества
43. Оценка недвижимого имущества доходным подходом осуществляется методом прямой капитализации. При этом предполагается, что доход будет сформирован из поступлений от сдачи недвижимого имущества в аренду, так как сдача объекта в аренду обеспечивает наиболее стабильный денежный поток.
В процессе применения метода прямой капитализации используется рыночная информация по величинам арендных ставок, условиям аренды, величинам операционных расходов. При этом размер используемой ставки аренды не должен быть ниже ставки аренды, установленной местными органами власти для объектов государственной собственности.
Расчеты проводятся в следующей последовательности:
прогнозируется потенциальный валовой доход в виде арендной платы за общую площадь приватизируемого здания (его части);
рассчитываются потери, связанные с неполной загрузкой и потерей поступлений;
определяется действительный валовой доход как разница между потенциальным валовым доходом и потерями;
вычитаются операционные расходы, и как разницу получают чистый операционный доход;
рассчитывают коэффициент капитализации в соответствии с пунктом 36 НСОИ N 8;
оценивают стоимость недвижимости как отношение чистого операционного дохода к коэффициенту капитализации.
44. При оценке недвижимого имущества методом прямой капитализации необходимо учесть стоимость активов, подлежащих приватизации в составе данного имущества.
45. Машины, оборудование, автотранспортные средства, нематериальные активы, а также другое движимое имущество (за исключением акций, долей, паев, объектов интеллектуальной собственности) доходным подходом не оцениваются.
§ 2. Сравнительный подход
46. При применении сравнительного подхода в оценке объектов оценки в целях приватизации используются один из следующих методов:
метод предыдущих сделок с объектом оценки;
метод рынка капитала (компании-аналога);
метод сделок;
метод рыночных сравнений;
метод прямого сравнения с аналогом.
При этом оценщику в отчете об оценке необходимо обосновать выбор метода оценки.
47. При оценке сравнительным подходом независимо от применяемого метода (за исключением метода предыдущих сделок с объектом оценки) оценки список аналогов должен включать не менее трех объектов.
Оценка предприятия (акций, долей, паев)
48. Оценка стоимости предприятия (акций, долей, паев) осуществляется применением одного из методов: метода рынка капитала, метода сделок, метода предыдущих сделок с объектом оценки.
49. Метод рынка капитала и метод сделок практически совпадают, различие состоит в характере объекта оценки и типе исходной ценовой информации.
Метод рынка капитала основан на использовании информации о ценах, сформированных открытым рынком и используется для оценки неконтрольных пакетов акций (долей, паев).
Метод сделок ориентирован на использование информации о ценах приобретения предприятия в целом или контрольного пакета акций (доли, паев). Это определяет наиболее оптимальную сферу применения данного метода в оценке предприятия или контрольного пакета акций (долей, паев).
50. Методы рынка капитала и сделок включает следующие основные этапы:
а) сбор и анализ информации;
б) выбор сопоставимых аналогов;
в) анализ надлежащих финансовых показателей;
г) выбор и расчет величины мультипликаторов;
д) определение предварительной величины стоимости объекта оценки;
е) внесение итоговых корректировок.
51. Для определения аналогов объекта оценки оценщик должен собрать данные о фактических ценах купли-продажи объектов (пакетов акций, долей, предприятий целиком), сходных с объектом оценки, бухгалтерской и финансовой отчетности, позволяющие определить сходство с объектом оценки и провести необходимые корректировки.
52. При применении методов рынка капитала и сделок оценщик может использовать информацию по зарубежным аналогам. В этом случае вносятся соответствующие корректировки: трансформируется отчетность и корректируется расчетная величина мультипликатора на уровень странового риска.
53. В случае наличия расхождений по каждому показателю объекта оценки и аналогов по основной производственной деятельности (объем производства, производственная мощность, изношенность основных средств) более чем на 50%, то данные объекты не могут быть использованы в качестве аналогов независимо от сходства других показателей.
54. Процесс отбора сопоставимых объектов осуществляется по следующим критериям:
отраслевое сходство - список потенциально сопоставимых аналогов должен принадлежать одному сегменту отрасли;
размер - сравниваются такие параметры, как объем реализованной продукции, размер прибыли и др.;
перспективы роста - изучение конкурентных преимуществ и недостатков оцениваемого предприятия по сравнению с аналогами;
уровень финансового риска - сравнение структуры капитала или соотношения собственных и заемных средств, изучение ликвидности или возможности оплачивать текущие обязательства текущими активами, анализ кредитоспособности;
сопоставимость предполагаемой сделки - форма сделки, условия финансирования, условия оплаты и другое.
Перечень критериев сопоставимости, приведенный выше, является основным, но не исчерпывающим, и оценщик может самостоятельно пополнять список дополнительными факторами.
55. Оценщик на основе анализа критериев должен принять и обосновать один из следующих выводов:
аналог сопоставим с объектом оценки по ряду характеристик и может быть использован для расчета мультипликаторов;
аналог недостаточно сопоставим с объектом оценки и не может быть использован в процессе оценки.
56. При применении метода рынка капитала и метода сделок оценщик анализирует балансы, отчеты о прибылях и убытках, дополнительную информацию, рассчитывает финансовые коэффициенты. Финансовый анализ является важнейшим компонентом определения сопоставимости аналогов с объектом оценки.
По результатам финансового анализа составляется "Сводная таблица финансовых коэффициентов", которая должна отражать следующую информацию:
|
Наименование |
Финансовые коэффициенты | |||||
|
Аналог 1 | ||||||
|
Аналог 2 | ||||||
|
Аналог 3 | ||||||
|
… | ||||||
|
Аналог N | ||||||
|
Среднеарифметическое значение | ||||||
|
Медиана | ||||||
|
Объект оценки | ||||||
|
Место объекта оценки |
Таблица составляется в произвольной форме, однако она должна содержать расчетные величины наиболее значимых финансовых коэффициентов:
доля чистой прибыли в выручке от реализации;
доля собственного капитала в общей сумме всех активов;
ликвидности;
оборачиваемости активов.
В связи с тем, что значения показателей по аналогам и объекту оценки могут существенно различаться, для принятия последующих решений кроме расчетных фактических значений финансовых коэффициентов по аналогам и объекту оценки оценщику необходимо в таблицу включить вспомогательные показатели, такие как среднее арифметическое значение и медиана. На завершающем этапе финансового анализа оценщик должен определить место, занимаемое объектом оценки среди отобранных аналогов по каждому из представленных показателей. Совокупность занимаемых мест служит основой для определения итогового рейтинга объекта оценки.
Материалы данной таблицы используются оценщиком на этапе выбора величины мультипликатора для объекта оценки.
57. Для расчета мультипликатора при использовании метода рынка капитала и метода сделок необходимо:
определить цену по всем выбранным аналогам (предприятия, пакета акции, долей, паев);
определить финансовую базу или за определенный период времени, или по состоянию на дату оценки;
рассчитать соответствующие мультипликаторы.
Информация о финансовой базе за определенный период принимается по итогам полного отчетного года, предшествующего дате оценки.
Цена аналогов принимается на основе информации о сделках, произошедших в течение полного отчетного года и кварталов, предшествующих дате оценки. При этом информация о ценах по одним и тем же аналогам может быть принята как средняя между максимальной и минимальной величинами.
58. При применении методов рынка капитала и сделок могут быть использованы следующие мультипликаторы:
интервальные мультипликаторы - цена/прибыль, цена/денежный поток, цена/дивиденды, цена/выручка от реализации;
моментные мультипликаторы - цена/балансовая стоимость, цена/чистая стоимость активов (материальных и нематериальных).
Мультипликаторы цена/прибыль, цена/денежный поток являются наиболее распространенным способом определения цены, т. к. информация о прибыли объекта оценки и предприятий аналогов является наиболее доступной. В качестве финансовой базы для мультипликатора может использоваться любой показатель прибыли (чистая прибыль, прибыль до налогообложения, прибыль до уплаты процентов и налогов и другие показатели).
В зависимости от того, какая информация об аналогах доступна, могут быть использованы разные мультипликаторы. При расчете стоимости объекта оценки сравнительным подходом рекомендуется пользоваться несколькими мультипликаторами для учета наиболее значимых ценообразующих факторов.
59. Выбор величины мультипликатора производится на основе анализа средних и медианных значений по каждому финансовому коэффициенту, а также позиции объекта оценки по элементу сравнения.
Затем к оценке привлекаются результаты финансового анализа, отраженные в "Сводной таблице финансовых коэффициентов". Для выбора величины конкретного вида мультипликатора оценщик использует финансовые коэффициенты, наиболее близкие по значению с коэффициентами объекта оценки.
60. Оценщик в зависимости от конкретных условий, целей и вида объекта оценки, степени доверия к той или иной информации придает каждому мультипликатору и, соответственно, варианту стоимости свой вес.
На основе такого взвешивания получается предварительная величина стоимости, которая может быть взята за основу для проведения последующих корректировок.
Взвешивание предварительной величины стоимости
|
Мультипликаторы, отобранные для применения |
Величина мультипли- каторов |
Показатели объекта оценки в зависимости от применяемых типов мультипликаторов |
Стоимость объекта оценки после применения мультипликатора |
Удельный вес |
Промежуточные результаты |
|
1. | |||||
|
2. | |||||
|
3. | |||||
|
Предварительная величина стоимости |
61. При определении итоговой величины стоимости, полученный результат после применения мультипликаторов, корректируется (при необходимости) на уровень ликвидности и степень контроля.
Корректировка (увеличение или уменьшение) на степень контроля осуществляется в следующем порядке:
в случае если оцениваемый объект (предприятие, пакет акций, доля, пай) отличается по размеру с аналогом в размере до 10% (включительно), то применяется коэффициент 1,02;
в случае если оцениваемый объект (предприятие, пакет акций, доля, пай) отличается по размеру с аналогом в размере более 10%, то на каждые 10% разницы к примеяемому коэффициенту 1,02 прибавляется коэффициент 0,02.
62. Метод предыдущих сделок с объектом оценки применяется при оценке пакетов акций, долей, паев. При применении данного метода источником информации являются данные о ценах ранее совершенных сделок с акциями, долями, паями эмитента, к которому относится объект оценки, срок которых не превышает один год.
63. Не допускается использование информации о ценах ранее совершенных сделок с акциями, долями, паями эмитента в случаях, когда эмитент с момента совершения предыдущей сделки подвергся значительным изменениям (отрасль, профиль деятельности, производственные мощности и др.).
64. При применении данного метода оценщик осуществляет корректировку цены (цен) ранее совершенной сделки с объектом оценки с учетом фактора времени, а также изменения обстоятельств в экономическом и отраслевом окружении в отношении объекта оценки.
Также вносятся корректировки на уровень ликвидности и степень контроля (скидки/премии) в порядке, указанном в пункте 62 настоящих Методических указаний.
65. Корректировки вносятся в цену объекта оценки по ранее совершенной сделке с учетом изменения соответствующих статей расходов и доходов по бухгалтерскому учету. Также корректировке подлежат фактические достижения объекта оценки по натуральным показателям (производственная мощность, объем производства, изношенность материальных активов и т. д.).
Оценка недвижимого имущества (зданий, сооружений)
66. При оценке стоимости недвижимого имущества или имущественных комплексов, состоящих из объектов недвижимости, используется метод рыночных сравнений.
Определение стоимости объекта оценки методом рыночных сравнений осуществляется в следующей последовательности:
а) исследование рынка и сбор информации о сделках или предложениях по продаже объектов, аналогичных оцениваемому объекту;
б) выбор и обоснование элементов сравнения;
в) выбор единиц сравнения, типичных для рынка объекта оценки;
г) сравнение сопоставимых аналогов с объектом оценки по единицам сравнения и внесение поправок в цену каждого сравниваемого объекта относительно объекта оценки;
д) согласование скорректированных значений цен аналогов.
67. В качестве элементов сравнения принимаются только те, которые являются ценообразующими и способны оказать значительное влияние на цену аналогов из нижеследующих:
|
Группа факторов |
Элементы сравнения для сделок купли-продажи |
|
1. Имущественные права |
1.1. Обременение объекта договорами аренды 1.2. Сервитуты и общественные обременения 1.3. Права на земельный участок в составе объекта |
|
2. Условия финансирования |
2.1. Льготное кредитование продавцом покупателя 2.2. Платеж эквивалентом денежных средств |
|
3. Особые условия |
3.1. Нерыночная связь цены продажи с арендной ставкой 3.2. Субсидия или льготы на развитие |
|
4. Условия рынка |
4.1. Изменение цен во времени 4.2. Отличие цены предложения от цены сделки |
|
5. Местоположение |
5.1. Престижность района 5.2. Близость к центрам деловой активности и жизнеобеспечения 5.3. Доступность объекта (транспортная и пешеходная) 5.4. Качество окружения (рекреация и экология) 5.5. Состояние окружающей застройки |
|
6. Физические характеристики |
6.1. Характеристики земельного участка 6.2. Объемно-планировочные и конструктивные характеристики 6.3. Износ и потребность в ремонте строений |
|
7. Экономические характеристики |
7.2. Соответствие объекта ННЭИ 7.1. Возможности экономии ресурсов и диверсификации производства |
|
8. Сервис и дополнительные элементы |
8.1. Обеспеченность связью и коммунальными услугами 8.2. Возможность подключения земельного участка к инженерным и энергетическим коммуникациям 8.3. Наличие парковки и (или) гаража 8.4. Состояние системы безопасности 8.5. Наличие дополнительного оборудования в составе недвижимости |
68. При проведении оценки данным методом оценщик может рассматривать и другие элементы сравнения, влияющие на итоговую стоимость объекта. Оценщик должен отразить это в отчете об оценке и учесть при определении итоговой стоимости объекта оценки.
69. При реализации данного метода используют процентные и стоимостные поправки.
Процентные поправки вносятся путем умножения цены продажи аналога на поправочный коэффициент, отражающий степень различий характеристик аналога и объекта оценки.
Стоимостные поправки вносятся путем изменения цены аналога на определенную сумму, в которую оценивается различие в характеристиках аналога и объекта оценки. Стоимостные поправки вносятся к цене единицы сравнения или к цене аналога в целом.
Итоговые значения скорректированных цен продаж сравнимых объектов могут не совпадать. В связи с этим, выбор скорректированной цены продажи основывается на использовании скорректированной цены аналога (аналогов), по которому значение или количество корректировок минимально.
70. Поправки вносятся отдельно по каждому элементу сравнения к предыдущей, уже скорректированной величине цены аналога. Последовательность внесения корректировок осуществляется в следующем порядке:
корректировки с первой по четвертую группы элементов сравнения осуществляются всегда в указанной очередности, после каждой корректировки цена продажи сравнимого объекта пересчитывается заново (до перехода к последующим корректировкам);
последующие (после четвертой группы элементов сравнения) корректировки могут быть выполнены в любом порядке. При этом, процентные поправки вносятся первыми, а затем стоимостные.
71. В качестве единиц сравнения для аналога и объекта оценки используются те единицы, о которых имеется рыночная информация.
Для земельного участка без улучшений используются удельные характеристики (удельные цены):
цена за единицу площади участка: квадратный метр; "сотка" (100 кв. м); гектар (десять тысяч кв. м.);
цена за единицу длины: погонный метр;
цена за участок площадью, стандартной для данного типа функционального использования.
Для земельного участка с улучшениями в качестве удельной характеристики принимается удельная цена единицы измерения количества ценообразующего фактора для компонента собственности, вносящего наибольший вклад в стоимость всего объекта. Если стоимость строения заведомо больше стоимости земельного участка, то в качестве основной единицы сравнения для всего объекта используется удельная цена для строения:
цена за единицу полезной (арендной, общей) площади строения (кв. м);
цена за единицу объема строения;
цена за квартиру или комнату (оформленные как нежилые);
цена за один элемент объекта, приносящий доход (посадочное место в ресторане или театре, место или номер в гостинице).
72. При расчете корректировок в цены аналогов могут быть использованы две группы техник, различающихся инструментами анализа и способами приведения цен сделок аналогов к стоимости объекта оценки:
группа техники количественного анализа: техника компенсационных корректировок цен и техника факторного анализа;
группа техники качественного анализа: техника качественного сравнения цен и техника квалиметрического моделирования.
73. По итогам внесения корректировок в цены аналогов определяется скорректированная цена единицы сравнения по каждому аналогу и все полученные (скорректированные) результаты сводятся в единое значение стоимости по соответствующей единице сравнения.
Итоговая стоимость объекта оценки определяется по формуле:
С = Пед. * Сед. , где:
С - итоговая стоимость объекта оценки;
Пед. - общий показатель единицы сравнения объекта оценки (площадь всего, объем всего, длина всего и т. д.);
Сед. - сведенная всех полученных (скорректированных) результатов стоимость единицы сравнения аналогов.
Оценка машин, оборудования и транспортных средств
74. Оценка стоимости машин, оборудования и транспортных средств сравнительным подходом осуществляется методом прямого сравнения с аналогом на основе рыночных цен. Сопоставление проводится:
с точным аналогом, продающимся на вторичном рынке;
с приблизительным аналогом, продающимся на вторичном рынке, с внесением корректирующих поправок при отсутствии точного аналога;
с новым аналогичным оборудованием с внесением поправок на износ при отсутствии вторичного рынка.
75. Оценка стоимости машин, оборудования и транспортных средств методом прямого сравнения с аналогом производится в следующей последовательности:
а) анализ рынка аналогов;
б) выбор подходящих единиц сравнения;
в) выявление адекватных элементов сравнения;
г) внесение корректировок на различия между объектом оценки и аналогом;
д) расчет итоговой стоимости объекта оценки.
76. Аналоги отбираются по основным показателям: функциональное назначение, конструктивные и параметрические сходства.
Функциональные аналоги обладают сходством назначения, т. е. они способны выполнять одинаковые функции (операции, действия, процессы). При единстве назначения и определенной взаимозаменяемости функциональные аналоги могут различаться по конструкции, принципу действия, потребляемым при эксплуатации ресурсам. Функциональное сходство - необходимое условие, но недостаточное для оценки сравнительным подходом.
Конструктивные аналоги обладают сходством по виду (классу) машин, оборудования и транспортных средств и разделяются на близкие (или практически идентичные) и конструктивно подобные.
Параметрические аналоги обладают сходством по основным производственным и эксплуатационным показателям (производственная мощность, масса, габариты и др.)
Для оценки машин, оборудования и транспортных средств методом прямого сравнения с аналогом в качестве базы следует выбирать близкие (практически идентичные) аналоги, параметры которых по значению максимально близки к оцениваемому объекту.
При подборе аналогов предпочтение отдается тем единицам машин, оборудования и транспортных средств, которые выпущены тем же изготовителем и в той же стране, что и объект оценки.
77. В цены реализации аналогов вносятся соответствующие корректировки: поправка к ценам на различия в условиях продажи (коммерческая корректировка); поправка на техническую сопоставимость (техническая корректировка).
Коммерческая корректировка:
Цкор = Ц + y * (Мб - Мн), y = (P1 - P2) / (N1 - N2), где:
Цкор - цена, скорректированная внесением поправки;
Ц - исходная цена;
y - "цена" единицы параметра, т. е. величина, показывающая на сколько денежных единиц изменится цена при изменении параметра на единицу его измерения;
Мб - значение конструктивно-функционального параметра (мощность, производительность и т. д.) объекта оценки;
Мн - значение конструктивно-функционального параметра (мощность, производительность и т. д.) подобранного аналога;
Р1, Р2 - цены аналогов;
N1, N2 - ценообразующие параметры аналогов.
Техническая корректировка:
Рб = Рн * (Мб / Мн) х, х = log (P1 / P2) / log (N1 / N2), где:
Рб - стоимость объекта оценки;
Рн - цена продажи объекта аналога;
х - степенной коэффициент (коэффициент торможения цены), характеризующий зависимость стоимости объекта оценки от значений его параметров.
При определении степенного коэффициента рекомендуется пользоваться несколькими аналогами (как минимум три разных аналога). Итоговую величину коэффициента можно определить в виде среднего показателя.
В случае если дата продажи аналога не совпадает с датой оценки, стоимость аналога должна быть приведена к дате оценки. Приведение стоимости аналога осуществляется путем применения коэффициентов удорожания стоимости основных фондов по данным Государственного комитета Республики Узбекистан по статистике, по соответствующей принадлежности машин, оборудования и транспортных средств.
78. При оценке стоимости машин, оборудования и транспортных средств методом прямого сравнения с аналогом стоимости подобранных аналогов также подлежат корректировке при нахождении данных аналогов не на территории (в стране) проведения оценки объекта оценки. В этом случае в стоимость аналога необходимо включить затраты на транспортировку и таможенное оформление.
Показатели стоимости подобранных аналогов могут быть подвергнуты корректировкам и по другим характеристикам в случае значительного влияния данных характеристик на стоимость аналогов.
79. Остальные виды движимого имущества (за исключением объектов интеллектуальной собственности, акций, долей, паев, машин и оборудования, а также транспортных средств) методами сравнительного подхода не оцениваются.
§ 3. Затратный подход
80. Затратный (имущественный) подход рассматривает стоимость объекта оценки с точки зрения понесенных издержек и в оценке имущества в целях приватизации реализуется посредством метода чистых активов.
81. В исключительных случаях при оценке объекта оценки затратным подходом может быть использован метод ликвидационной стоимости. Ликвидационная стоимость определяется путем вычитания прямых затрат на ликвидацию (в том числе фактора времени по ускоренной и вынужденной продаже) из рыночной стоимости объекта оценки.
Оценка предприятия (акций, долей, паев)
82. При оценке предприятия (акций, долей, паев) метод чистых активов реализуется путем корректировки отдельных статей бухгалтерского баланса до рыночной стоимости в связи с тем, что балансовая стоимость активов и обязательств предприятия может не соответствовать их рыночной стоимости.
83. Базовой формулой расчета стоимости предприятия является:
Собственный капитал = активы - обязательства
84. При оценке предприятия (пакета акций, долей, паев) методом чистых активов часть активов принимается по рыночной стоимости, остальная часть активов и обязательства принимается по балансовой стоимости.
Стоимость каждого из активов и обязательств определяется отдельно для каждого класса активов - пассивов:
Расчет стоимости чистых активов
|
N п/п |
Показатель |
Величина показателя по балансу |
Величина показателя по скорректиро- ванному балансу |
|
I. Активы |
Величины показателей переписываются из баланса предприятия на последнюю отчетную дату (на дату оценки) |
Величины стоимостей показателей определяются оценщиком. Получаемые значения могут как совпадать, так и существенно отличаться от значений, указанных в балансе | |
|
1. |
Основные средства | ||
|
в т. ч., основные средства не учтенные на балансе (показываются отдельной строкой) | |||
|
2. |
Нематериальные активы** | ||
|
3. |
Долгосрочные инвестиции | ||
|
4. |
Оборудование к установке (неустановленное оборудование) | ||
|
5. |
Капитальные вложения (незавершенное строительство) | ||
|
6. |
Права пользования земельным участком | ||
|
7. |
Долгосрочная дебиторская задолженность* | ||
|
8. |
Долгосрочные отсроченные расходы* | ||
|
9. |
Инвентарь и хозяйственные принадлежности, относящиеся к товарно-материальным запасам | ||
|
10. |
Товарно-материальные запасы (без учета инвентаря и хозяйственных принадлежностей) * | ||
|
11. |
Другие текущие активы* | ||
|
12. |
Итого активы | ||
|
II. Пассивы | |||
|
13. |
Долгосрочные обязательства* | ||
|
14. |
Текущие обязательства* | ||
|
15. |
Итого пассивы | ||
|
16. |
Стоимость чистых активов (стр. 12 - стр. 15) |
*) Активы, участвующие в расчете по балансовой стоимости. Обязательства, участвующие в расчете по балансовой стоимости
**) Нематериальные активы, за исключением объектов интеллектуальной собственности, участвуют в оценке по балансовой стоимости. Объекты интеллектуальной собственности оцениваются в установленном порядке.
85. При использовании в оценке объекта оценки в целях приватизации метода чистых активов расчетная стоимость активов предприятия не должна быть ниже показателя, отраженного по балансу. В случае, когда расчетная (рыночная) стоимость активов дает показатель ниже, чем балансовая (остаточная) стоимость активов, за основу при оценке принимается стоимость последнего.
86. Оценка стоимости основных средств осуществляется исходя из их фактического состояния по отдельности для каждой единицы основных средств с последующим раскрытием их стоимости в отчете об оценке.
В ходе оценки стоимости основных средств оценщик отдельно раскрывает в отчете об оценке информацию по основным средствам, не числящимся на балансе.
При наличии у предприятия основных средств, приобретенных за иностранную валюту, оценщику необходимо изучить данные затраты на предмет целесообразности их использования в расчетах.
Оценка стоимости недвижимого имущества
(зданий, сооружений)
87. Оценка стоимости недвижимого имущества осуществляется в следующем порядке.
Определяется восстановительная стоимость недвижимого имущества на основании проектно-сметной документации. При отсутствии проектно-сметной документации допускается использование укрупненных нормативов восстановительной стоимости недвижимого имущества.
Восстановительная стоимость недвижимого имущества на основе сметной стоимости в действующих ценах определяется путем применения к сметной стоимости имущества по проектно-сметной документации соответствующих коэффициентов переоценки недвижимого имущества с момента составления сметной документации и индексов удорожания цен (в случаях проведения расчетов по итогам неполного отчетного периода - года):
Cд.с.с. = Cc * I1 * I2 * I3 * … Iy , где:
Сд. с.с. - восстановительная стоимость недвижимого имущества в действующих ценах;
Cс - сметная стоимость строительства недвижимого имущества по проектно-сметной документации;
I1, I2, I3, … Iу - соответствующие коэффициенты переоценки основных средств и индексы удорожания цен.
Восстановительная стоимость недвижимого имущества на основе укрупненных нормативов определяется в следующем порядке.
Определяется восстановительная стоимость недвижимого имущества по следующей формуле:
С в. с. = S * Сс. е. * К1 * К2 * К3 * … Кy * I1 * I2 * I3 * … Iу , где:
С в. с. - восстановительная стоимость объекта недвижимости;
S - единица измерения объекта недвижимости (объем, площадь, погонный метр и т. д.);
Сс. е. - укрупненный показатель восстановительной стоимости;
К1, К2, К3, … Ку - поправочные коэффициенты (группа капитальности, сейсмичность района, территориальный коэффициент и т. д.);
I1, I2, I3, … Iу - соответствующие индексы удорожания цен строительных материалов.
К восстановительной стоимости недвижимого имущества прибавляется сумма предпринимательской прибыли в размере 10% от восстановительной стоимости недвижимого имущества в текущих ценах.
88. Совокупный износ недвижимого имущества определяется как сумма показателей физического износа, функционального и внешнего устаревания.
Износ измеряется в процентах и в стоимостном выражении.
89. Физический износ определяется как сумма показателей износа отдельных конструктивных элементов недвижимого имущества и рассчитывается по следующей формуле:

Иi - физический износ i-го конструктивного элемента, %;
Ki - удельный вес i-го конструктивного элемента в общей массе недвижимости;
i - количество конструктивных элементов.
Размер физического износа каждого конструктивного элемента определяется оценщиком в соответствии со строительными нормами (в процессе осмотра) в зависимости от их фактического состояния.
90. Функциональный износ подразделяется на устранимый и неустранимый. Устранимый функциональный износ обусловлен недостатками:
требующими добавления нового ранее не существовавшего элемента;
требующими замены старого новым или модернизации элемента;
сверхулучшениями (избыточной стоимостью).
Неустранимый функциональный износ может быть вызван недостатком какого-либо элемента либо вызван сверхулучшениями.
Недостатки, требующие добавления нового ранее не существовавшего элемента, измеряются стоимостью добавления этих элементов, включая их монтаж.
Недостатки, требующие замены старого новым или модернизации элемента, измеряются как стоимость существующих элементов с учетом их физического износа, минус стоимость возврата материалов (продажа), плюс стоимость демонтажа существующих и плюс стоимость монтажа новых элементов.
Сверхулучшениями являются элементы, которые есть в существующем объекте недвижимости и наличие которых в настоящее время неадекватно современным эксплуатационным стандартам. Сверхулучшения измеряются как текущая восстановительная стоимость позиций сверхулучшений, минус физический износ, плюс стоимость демонтажа и минус возврат материалов, если он имеет место (или стоимость ликвидации).
Неустранимый функциональный износ определяется путем капитализации суммы потерь в арендной плате или суммы избыточных эксплуатационных затрат на содержание объекта недвижимости в надлежащем порядке.
91. Определение внешнего износа может быть осуществлено путем капитализации потерь в арендной плате или по методу парных продаж.
Определение внешнего износа путем капитализации потерь в аренде осуществляется аналогично расчету функционального неустранимого износа.
Внешний износ по методу парных продаж определяется по формуле:
Ивнеш. = [(Абез - Ас) - Р - Сзем.] / Ас , где:
Абез - аналог объекту оценки без признаков внешнего износа;
Ас - аналог объекту оценки с признаками внешнего износа;
Р - разница в физических и других различиях объектов-аналогов;
Сзем. - стоимость земельного участка.
92.Совокупный износ определяется согласно следующей формуле:
Ис = Ифиз. / Свост.) * (1 - Ифунк. / Свост.) * (1 - Ивнеш. / Свост.) , где:
Ис - совокупный износ;
Ифиз. - физический износ;
Ифунк. - функциональный износ;
Ивнеш. - внешний (экономический) износ;
Свост. - восстановительная стоимость объекта недвижимости.
При оценке недвижимого имущества в целях приватизации, в случае если рассчитанный совокупный износ превышает 70%, то в качестве базового показателя износа принимается 70%.
93. В случае, когда расчет стоимости недвижимого имущества на основании проектно-сметной документации или укрупненных нормативов дает результат ниже, чем балансовая (остаточная) стоимость, за основу принимается расчет стоимости, произведенный путем применения к балансовой (остаточной) стоимости коэффициента удорожания стоимости строительных материалов по данным Государственного комитета Республики Узбекистан по статистике с даты последней переоценки по решению Правительства.
Оценка стоимости прав пользования
земельным участком
94. Оценка стоимости прав пользования земельным участком осуществляется независимо от того, числится он на балансе предприятия или нет, на основании правоустанавливающих документов.
Стоимость прав пользования земельным участком показывается в отчете об оценке отдельной строкой.
Оценка стоимости прав пользования земельным участком осуществляется путем капитализации ставки земельного налога. При этом ставка капитализации принимается в размере:
при оценке права постоянного пользования - равной ставке рефинансирования, установленной на дату оценки Центральным банком Республики Узбекистан;
при оценке права долгосрочной аренды - равной ставке рефинансирования, установленной на дату оценки Центральным банком Республики Узбекистан, умноженной на коэффициент 1,1;
при оценке права краткосрочной аренды - равной ставке рефинансирования, установленной на дату оценки Центральным банком Республики Узбекистан, умноженной на коэффициент 1,2.
Данный порядок оценки не применяется в случаях, когда права пользования земельным участком являются индивидуальными объектами оценки, а также в случаях, когда земельные участки используются в сельскохозяйственных целях.
Оценка машин, оборудования
и транспортных средств
95. Оценка машин и оборудования основывается на расчете затрат на воссоздание точной копии объекта оценки или замещение объекта, аналогичного оцениваемому, за вычетом физического износа.
При определении восстановительной стоимости учитываются все затраты, включая транспортные расходы, и затраты на монтажные и пуско-наладочные работы.
Затраты на транспортные расходы принимаются по факту. Затраты на монтажные и пуско-наладочные работы принимаются в размере 10% от восстановительной стоимости.
96. Последовательность расчетов стоимости машин и оборудования следующая:
а) определение восстановительной стоимости или стоимости замещения;
б) определение физического износа;
в) расчет рыночной стоимости.
Восстановительная стоимость рассчитывается с использованием одного из следующих методов:
метод расчета по цене однородного объекта;
метод поэлементного расчета;
индексный метод.
При этом по однородным машинам и оборудованию применяется единый метод.
97. В случаях, когда известна цена реализации (новых) идентичных машин и оборудования при определении их восстановительной стоимости, данная информация принимается в качестве базовой.
98. Использование метода расчета по цене однородного объекта оценщик осуществляет в следующей последовательности:
подбирается однородный объект, сходный по технологии изготовления, используемым материалам, конструкции, цена которого известна;
рассчитывается себестоимость изготовления (производства) однородного объекта по формуле:
|
Сп. од = |
(1 - Ндс) * (1 - Нпр - Кр) * Цод |
, где: |
|
(1 - Нпр) |
Сп. од - себестоимость изготовления однородного объекта;
Цод - цена однородного объекта;
Ндс - ставка налога на добавленную стоимость (используется как коэффициент);
Нпр - ставка налога на прибыль (используется как коэффициент);
Кр - показатель рентабельности продукции.
Показатель рентабельности для пользующейся повышенным спросом продукции принимается в интервале 0,25-0,35, для продукции имеющей средний спрос 0,1-0,25, для низко рентабельной продукции 0,05-0,1.
В себестоимость однородного объекта вносятся корректировки, учитывающие различия в массе объектов:
|
Сп = Сп. од * |
Gо |
, где: |
|
Gод |
Сп - себестоимость изготовления однородного объекта;
Gо - масса конструкции объекта оценки;
Gод - масса конструкции однородного объекта.
Определяется восстановительная стоимость объекта оценки по формуле:
|
Sв = |
(1 - Нпр) * Сп |
, где: |
|
1 - Нпр - Кр |
Sв - восстановительная стоимость объекта оценки. Если оцениваются машины и оборудование, спрос на которые отсутствует, то их стоимость принимается на уровне себестоимости.
99. Внесение корректировок (в случаях необходимости), учитывающее количественные и качественные характеристики однородного объекта, осуществляется в порядке, аналогичном расчету корректировки цены аналога при оценке машин и оборудования сравнительным подходом.
100. Метод поэлементного расчета применяется, когда объект оценки состоит из отдельных законченных узлов (блоков), а сборка не требует вмешательства специалистов. Стоимость объекта будет определяться как сумма затрат на приобретение узлов, транспортировку и сборку с учетом прибыли, а также затрат, связанных с налоговыми и таможенными платежами и сборами.
При использовании данного метода:
составляется перечень комплектующих узлов и агрегатов объекта оценки;
собирается ценовая информация по комплектующим;
определяется восстановительная стоимость объекта оценки по формуле:
Cп = Цэл + В , где:
Сп - восстановительная стоимость объекта;
Цэл - сумма затрат на приобретение комплектующих узлов или агрегатов;
В - прочие затраты (транспортировка, сборка, различные сборы).
101. При применении индексного метода осуществляется приведение первоначальной балансовой стоимости объекта оценки к текущим ценам путем применения коэффициентов удорожания стоимости основных фондов по данным Государственного комитета Республики Узбекистан по статистике с даты последней переоценки основных фондов по решению Правительства.
Возможно осуществление индексирования затрат, из которых складывается себестоимость объекта оценки (комплектующих узлов, компонентов и других).
102. В оценке машин и оборудования в целях приватизации физический износ объектов оценки определяется экспертно в соответствии с показателями, приведенными в таблице:
|
Оценка состояния |
Характеристика технического состояния |
Износ |
|
Новое |
Новое (в т. ч. установленное, но не введенное в эксплуатацию), в отличном состоянии. |
до 5% |
|
Очень хорошее |
Безотказно работающее оборудование, после недолгой эксплуатации, без выявленных дефектов и неисправностей |
5% - 20% |
|
Хорошее |
Оборудование с небольшими дефектами эксплуатации, которые не ограничивают его работоспособности. Оборудование после капитального ремонта, в хорошем состоянии |
20% - 35% |
|
Удовлетворительное |
Оборудование в удовлетворительном состоянии. Могут быть некоторые ограничения в выборе режимов работы, устраняемые при межремонтном обслуживании или текущем ремонте |
35% - 50% |
|
Условно пригодное |
При работе оборудования наблюдаются отказы, для ликвидации которых требуются внеплановые ремонты. Есть ограничения на выбор режимов работы и максимальные нагрузки. Требуется значительный ремонт или замена главных частей |
50% - 75% |
|
Неудовлетворительное |
Оборудование, работающее с частыми отказами, требующее капитального ремонта основных узлов, в плохом состоянии |
75% - 90% |
|
Непригодное к эксплуатации |
Оборудование, не пригодное к применению по основному назначению. Нет разумных перспектив на продажу, кроме как по стоимости еще действующих основных материалов |
свыше 90% |
103. Оценка стоимости транспортных средств в целях приватизации осуществляется в аналогичном порядке.
При оценке стоимости транспортных средств допускается определение износа объекта оценки исходя из пробега транспортного средства с начала эксплуатации (в случае проведения капитального ремонта транспортного средства или замены основных агрегатов и узлов, с момента проведения капитального ремонта). При этом показатель износа определяется согласно следующей формуле:

И - износ;
Пф - фактический пробег (или возраст, срок службы) транспортного средства на дату оценки, км или лет (мото-час);
Пн - нормативный пробег (или возраст, срок службы) транспортного средства до списания (капитального ремонта), км или лет (мото-час).
Методика оценки стоимости транспортных средств, согласно настоящим Методическим указаниям, может быть применена только для оценки стоимости наземных транспортных средств. Для оценки других видов транспортных средств (летательных (воздушных), водных) используются специальные методики.
Оценка стоимости остальных основных средств,
инвентаря и хозяйственных принадлежностей
104. Оценка стоимости инструментов, производственного и хозяйственного инвентаря без мебели, рабочего и продуктивного скота, многолетних насаждений, библиотечных фондов и прочих основных средств осуществляется путем дооценки их первоначальной балансовой стоимости до стоимости, соответствующей текущим рыночным ценам (цены заводов-изготовителей, прайс-листов, прейскурантов и т. д.), или путем использования коэффициентов удорожания стоимости основных фондов по данным Государственного комитета Республики Узбекистан по статистике с даты последней переоценки основных фондов по решению Правительства по соответствующей категории.
Износ данных основных средств определяется исходя из их фактического состояния экспертно или в соответствии с нормами бухгалтерского учета. По группам "Продуктивный скот" и "Библиотечные фонды" износ не начисляется.
105. Оценка стоимости инвентаря и хозяйственных принадлежностей, относящихся к товарно-материальным запасам, производится в действующих оптовых или розничных ценах (в соответствии с ценами заводов-изготовителей, прейскурантов, прайс-листов и др.) или путем применения к их балансовой стоимости максимального коэффициента ежегодной переоценки основных фондов. По активам данного вида износ не начисляется.
106. Активы, принадлежащие оцениваемому предприятию, числящиеся на забалансовых счетах, оцениваются в аналогичном порядке.
107. При оценке стоимости пакетов акций (долей, паев) размером 5% и менее оценка стоимости всех основных средств предприятия осуществляется путем применения коэффициентов удорожания стоимости основных фондов по данным Государственного комитета Республики Узбекистан по статистике с даты последней переоценки основных фондов по решению Правительства.
Оценка стоимости долгосрочных
108. При наличии у оцениваемого предприятия долгосрочных финансовых вложений (инвестиций) в виде ценных бумаг (акций), долей в уставном капитале обществ с ограниченной и дополнительной ответственностью (в т. ч. иностранных), имущественных паев, дочерних и зависимых хозяйствующих обществ, прочих долгосрочных инвестиций оценщику необходимо их оценить.
109. Оценка стоимости пакетов акций в размере не более 75% минус 1 простая акция осуществляется исходя из доходности по формуле:

Сак. - расчетная стоимость пакета акций;
Бин. - балансовая стоимость пакета акций
Дв - размер выплаченных дивидендов за одну акцию;
Н - номинальная стоимость одной акции;
Кса - курсовая стоимость одной акции;
Сск - размер собственного капитала по балансу (источники собственных средств);
Суф - размер уставного капитала по балансу.
При расчете стоимости акций оценщику необходимо учесть степень контроля оцениваемого пакета акций и принимаемого в качестве курсовой стоимости ранее проданных акций и внести соответствующие корректировки.
110. Оценка стоимости долей в обществах с ограниченной и дополнительной ответственностью (за исключением обществ с участием иностранного капитала) и имущественных паев размером до 75%, осуществляется в аналогичном порядке, что и оценка пакета акций размером до 75% минус 1 простая акция.
111. Оценка стоимости инвестиций в дочерние и зависимые хозяйствующие субъекты, пакетов акций (ценных бумаг) размером свыше 75% (включительно), долей в уставных фондах обществ с ограниченной и дополнительной ответственностью и имущественных паев размером свыше 75% (включительно), а также вложений в предприятия с иностранным капиталом (независимо от доли участия в уставном фонде) осуществляется по формуле:
С = [(Со. с. * I) + (И * 0,1 * I) + (Стмз * I) + Сб. ак] - Сб. о. , где:
С - расчетная стоимость долгосрочных инвестиций;
Со. с. - общая балансовая остаточная стоимость основных средств предприятий, в которые вложены инвестиции;
И - общая сумма износа основных средств предприятий по балансу;
I - максимальный индекс удорожания цен;
Стмз - балансовая стоимость товарно-материальных запасов (общая сумма по строке баланса);
Сб. ак. - балансовая стоимость всех остальных активов (долгосрочных и текущих);
Сб. о. - балансовая стоимость обязательств.
112. При оценке стоимости долгосрочных финансовых вложений в предприятиях с иностранным капиталом оценщику необходимо учесть валютную стоимость данных вложений, пересчитанных по курсу Центрального банка Республики Узбекистан на дату оценки.
Оценка стоимости оборудования к установке
и незавершенного строительства
113. Оценка стоимости оборудования к установке осуществляется в аналогичном порядке, что и оценка стоимости основных средств по группе "машины и оборудование", без учета затрат на пуско-наладку.
114. Оценка стоимости незавершенного строительства (капитальных вложений) осуществляется в аналогичном порядке, что и оценка недвижимого имущества, или путем применения коэффициентов удорожания стоимости строительных материалов по данным Государственного комитета Республики Узбекистан по статистике с даты последней переоценки по решению Правительства.
§ 4. Согласование результатов оценки, полученных
в рамках примененных подходов, и расчет итоговой
стоимости объекта оценки
115. Итоговый результат стоимости объекта оценки не является средней арифметической результатов трех подходов оценки. Важность каждого из подходов определяется видом оцениваемого имущества, назначением оценки, а также тем, насколько данный подход подкрепляется фактическими данными. Оценщик вправе не учитывать результаты одного (или даже двух) подхода, четко обосновав в отчете об оценке свои действия, и привести соответствующие аргументы.
116. Расчет итоговой величины стоимости производится путем взвешивания полученных результатов с учетом значимости каждого из подходов.
В процессе согласования оценщиком проводится анализ весовых коэффициентов, определяющих степень влияния результата, полученного тем или иным подходом на итоговый результат оценки. Основополагающими критериями для оценки весовых коэффициентов являются (по соответствию):
использование рыночной информации;
изношенность основных средств;
функциональность и специализация объекта оценки;
наличие земельного участка и дополнительной территории;
месторасположение объекта оценки;
размер объекта оценки;
класс качества объекта оценки.
117. Оценив соответствующие критерии путем присвоения им соответствующих показателей, оценщик должен определить весовые коэффициенты по каждому подходу оценки. Оценка критериев осуществляется в следующем порядке.
Использование рыночной информации:
для расчетов затратным подходом:
|
не менее 30% зданий (сооружений) оценивается с использованием их проектно-сметной документации; не менее 30% основных средств (за исключением зданий, сооружений) объекта оценки оценивается с использованием рыночной информации; |
1 |
|
не менее 60% зданий (сооружений) оценивается с использованием их проектно-сметной документации; не менее 60% основных средств (за исключением зданий, сооружений) объекта оценки оценивается с использованием рыночной информации; |
2 |
|
не менее 90% зданий (сооружений) оценивается с использованием их проектно-сметной документации; не менее 90% основных средств (за исключением зданий, сооружений) объекта оценки оценивается с использованием рыночной информации. |
3 |
Установленные по зданиям (сооружениям) и другим основным средствам границы критериев применяются исходя из отношения к количеству позиций данных основных средств и их сумме первоначальной (балансовой) стоимости.
При несоответствии оценки стоимости объекта оценки затратным подходом вышеуказанным критериям в ходе согласования к результату расчетов затратным подходом баллы не начисляются.
Для расчетов доходным подходом:
|
использованы финансовые прогнозы балансодержателя (эмитента) |
1 |
|
проведен оценщиком дополнительный анализ будущих доходов, помимо использования прогнозов балансодержателя (эмитента) |
2 |
|
использована информация о прогнозах, подготовленная специализированными финансовыми институтами и другими организациями, помимо проведения дополнительного анализа и использования прогнозов балансодержателя (эмитента) |
3 |
Для расчетов сравнительным подходом:
|
при использовании рыночной информации о сделках с 3 аналогами |
1 |
|
при использовании рыночной информации о сделках с 4-6 аналогами |
2 |
|
при использовании рыночной информации о сделках с более 6 аналогами |
3 |
Изношенность основных средств
Коэффициент изношенности основных средств определяется как отношение суммы износа основных средств по балансу к их первоначальной балансовой стоимости:
|
Показатели |
Затратный подход |
Доходный подход |
Сравнитель- ный подход |
|
Коэффициент на дату оценки превышает значение 0,5 |
1 |
3 |
2 |
|
Коэффициент на дату оценки дает результат от 0,2 до 0,5 (включительно) |
2 |
3 |
1 |
|
Коэффициент на дату оценки дает величину ниже 0,2 |
3 |
2 |
1 |
Функциональность и специализация объекта оценки:
|
Показатели |
Затратный подход |
Доходный подход |
Сравнитель- ный подход |
|
Отсутствует возможность перепрофилирования без значительных капитальных вложений |
3 |
1 |
2 |
|
Объект оценки может быть перепрофилирован без особых затрат |
1 |
3 |
2 |
Наличие земельного участка и дополнительной территории:
|
Показатели |
Затратный подход |
Доходный подход |
Сравнитель- ный подход |
|
Под застройкой занято больше половины территории |
3 |
1 |
2 |
|
Под застройкой занято меньше половины территории |
2 |
3 |
1 |
|
Под застройкой занято меньше половины территории, а также имеется дополнительная отдельно лежащая территория |
1 |
3 |
2 |
Месторасположение объекта оценки:
|
Показатели |
Затратный подход |
Доходный подход |
Сравнитель- ный подход |
|
Объект оценки расположен в областном центре (в т. ч. г. Ташкенте) или городе областного подчинения |
3 |
2 |
1 |
|
Объект оценки расположен в районном центре или городе районного подчинения |
2 |
3 |
1 |
|
Объект оценки расположен в сельской местности, горном районе, другом отдаленном и труднодоступном районе |
2 |
1 |
3 |
Размер объекта оценки:
|
Показатели |
Затратный подход |
Доходный подход |
Сравнитель- ный подход |
|
Объектом оценки является 100% активом или имеет элементы контроля (контрольные пакеты акций и доли) |
3 |
2 |
1 |
|
Объект оценки не имеет элементы контроля (неконтрольные пакеты акций и доли) |
2 |
3 |
1 |
Класс качества объекта оценки:
|
Показатели |
Затратный подход |
Доходный подход |
Сравнитель- ный подход |
|
Техническое происхождение объекта оценки - индустриальное |
3 |
2 |
1 |
|
Техническое происхождение объекта оценки неиндустриальное |
2 |
3 |
1 |
118. На основании проведенного анализа результатов оценки, полученных различными подходами, оценщиком определяются веса для каждого из подходов в разрезе основополагающих критериев.

119. Итоговая величина стоимости объекта оценки определяется путем суммирования результатов подходов после применения соответствующих весовых коэффициентов к результатам расчетов, полученных различными подходами соответственно:
С = gз * Кз + gд * Кд + gс * Кс , где:
С - согласованная итоговая величина стоимости объекта оценки;
gз, д, с - результаты расчетов стоимости объекта оценки затратным, доходным и сравнительным подходами.
120. Итоговая стоимость объекта оценки представляется в виде единой величины.
ГЛАВА VII. СОСТАВЛЕНИЕ ОТЧЕТА
ОБ ОЦЕНКЕ
121. Отчет об оценке представляет собой документ, содержащий подтвержденное на основе собранной информации и расчетов заключение оценщика относительно стоимости объекта оценки.
В случае если оценщиком при проведении оценки определялась стоимость объекта оценки, отличная от рыночной, в отчете об оценке должны быть указаны причины отступления от определения рыночной стоимости объекта оценки и отражен процесс оценки объекта оценки.
122. При составлении отчета об оценке оценщик должен придерживаться следующих правил:
в отчете об оценке должна быть изложена вся информация, существенная с точки зрения стоимости объекта оценки;
информация, приведенная в отчете об оценке, использованная или полученная в результате расчетов при проведении оценки должна быть подтверждена;
содержание отчета об оценке не должно вводить в заблуждение пользователей отчета об оценке, а также допускать неоднозначного толкования;
состав и последовательность представленных в отчете об оценке материалов и описание процесса оценки должны позволить полностью воспроизвести расчет стоимости и привести его к аналогичным результатам;
отчет об оценке не должен содержать информацию, не использующуюся при проведении оценки при определении промежуточных и итоговых результатов, если она не является обязательной в соответствии с требованиями законодательства, регламентирующими оценочную деятельность.
123. Независимо от вида объекта оценки, а также от целей оценки (за исключением предусмотренных законодательством) структура отчета об оценке должна содержать следующие разделы и их части:
а) раздел I "Титульный лист" - является первой страницей отчета об оценке и служит источником первичной информации, необходимой для поиска документа.
На титульном листе приводят следующие сведения:
наименование оценочной организации;
регистрационный номер отчета об оценке;
наименование работы;
дата составления отчета об оценке.
Если отчет об оценке состоит из двух и более книг, каждая книга должна иметь свой титульный лист, соответствующий титульному листу первой книги и содержащий сведения, относящиеся к данной книге. Номер книги проставляется на титульном листе;
б) раздел II "Оглавление" - включает наименование всех разделов, подразделов, пунктов (если они имеют наименование), приложений с указанием номеров соответствующих страниц.
При составлении отчета об оценке, состоящего из двух и более книг, в каждой из них должно быть свое оглавление. При этом в первой книге помещают оглавление всего отчета об оценке с указанием номеров книг, в последующих - только оглавление соответствующей книги. Допускается в первой книге вместо оглавления последующих книг указывать только их наименование;
в) раздел III "Сопроводительное письмо (обобщающая часть)" должен содержать изложенное в произвольной форме (деловом стиле) сообщение заказчику о результатах проведения оценки. В письме указывается:
основание для проведения оценки;
наименование и место нахождения объекта оценки;
краткое изложение содержания проведенных работ;
заключение о стоимости объекта оценки по состоянию на дату определения стоимости;
ссылка на законодательные и нормативные акты, в соответствии с которыми подготовлен отчет об оценке;
указание на то, что сопроводительное письмо подготовлено на основании отчета об оценке и не может трактоваться иначе, чем в связи с полным текстом отчета, т. е. с учетом всех принятых в отчете допущений и ограничений.
Сопроводительное письмо оформляется на фирменном бланке, подписывается руководителем оценочной организации и заверяется печатью;
г) раздел IV "Перечень сокращений, условных обозначений, символов, единиц и терминов" должен содержать принятые в отчете об оценке малораспространенные сокращения, условные обозначения, символы, единицы, специфические (профессиональные) термины, которые должны быть представлены с указанием определений к ним.
Если сокращения, условные обозначения, символы, единицы и термины повторяются в отчете об оценке менее двух раз, отдельный перечень не составляют, а расшифровку дают непосредственно в тексте при первом упоминании;
д) раздел V "Введение" должен содержать краткое изложение основных фактов и выводов, позволяющее пользователю отчета об оценке получить исчерпывающую информацию о результатах проведенной оценщиком работы. В данный раздел должны быть включены следующие части:
основные факты и выводы, где указываются:
общая информация об объекте оценки;
наименование, номер и дата составления договора об оценке, полное наименование сторон, решение уполномоченного органа (правительственные решения, другие документы являющиеся основанием для проведения оценки);
результаты оценки, полученные при применении различных подходов;
итоговая величина стоимости объекта оценки;
дата составления отчета об оценке, соответствующая календарной дате, на которую было сделано последнее изменение в отчете об оценке, и отчет был оформлен в представленном виде;
порядковый номер отчета;
задание на оценку, которое должно содержать информацию в соответствии с требованиями настоящих Методических указаний;
сведения о заказчике оценки (наименование, юридический адрес), об оценочной организации (организационно-правовая форма, полное наименование как в документе о государственной регистрации, идентификационные сведения (номер государственной регистрации, ИНН и т. д.), юридический адрес (если имеются несколько адресов, то указываются все), сведения о страховании гражданской ответственности, номер, дата выдачи и срок действия лицензии на право осуществления оценочной деятельности; банковские реквизиты) и об оценщике, работающем на основании трудового договора с оценочной организацией (фамилия, имя, отчество оценщика, номер и дата выдачи документа, подтверждающего право на проведение оценки, номер и дата трудового договора). Также необходимо указать информацию обо всех привлекаемых к проведению оценки и подготовке отчета об оценке организациях и специалистах с указанием их квалификации и степени их участия в проведении оценки объекта оценки;
допущения и ограничивающие условия, которые повлияли на результаты оценки. Относительно оценки имущества в целях приватизации перечень допущений и ограничивающих условий может быть следующим:
настоящий отчет достоверен лишь в полном объеме и лишь в указанных в нем целях;
оценочная организация не несет ответственности за юридическое описание прав на объект оценки. Оцениваемые права рассматриваются свободными от каких-либо претензий или ограничений, кроме ограничений, оговоренных в отчете об оценке;
оценщик предполагает отсутствие каких-либо скрытых факторов, влияющих на результаты оценки, кроме факторов, раскрытых в отчете об оценке. Оценочная организация не несет ответственности за наличие таких факторов и за необходимость их выявления;
исходные данные, использованные оценщиком при подготовке отчета об оценке, должны быть получены из надежных источников и считаются достоверными. Оценочная организация не может гарантировать их абсолютную точность, поэтому в отчете об оценке должны содержаться ссылки на источники информации;
оценочная организация не принимает на себя никакой ответственности за изменение экономических, юридических и иных факторов, которые могут возникнуть после этой даты и повлиять на рыночную стоимость объекта оценки;
ни заказчик, ни оценочная организация не могут использовать отчет об оценке иначе, чем это предусмотрено договором на оценку;
отчет об оценке содержит профессиональное суждение оценочной организации относительно стоимости объекта и не является гарантией того, что объект будет продан на свободном рынке по цене, равной стоимости объекта, указанной в данном отчете об оценке;
применяемые стандарты оценочной деятельности, где должна быть приведена информация об использовании Национального стандарта оценки имущества НСОИ N 8, других стандартов, используемых при проведении оценки объекта оценки;
е) раздел VI "Основная часть" должен содержать следующие обязательные части:
этапы процесса оценки, где оценщик поэтапно описывает последовательность выполненных им работ. В каждом этапе приводятся общие сведения (допускается приведение простого списка) о проделанной работе по оценке объекта оценки. Более подробная расшифровка произведенного анализа и осуществленных расчетов приводятся в нижеследующих частях в соответствии с особенностями объекта оценки, задачей оценки и объемом доступной информации;
описание (идентификация) объекта оценки, содержащее сведения об осмотре объекта оценки, исходных и правоустанавливающих документах, о технических, финансовых, количественных и качественных характеристиках объекта оценки. При этом оценщик раскрывает об объекте оценки всю финансовую и техническую информацию, сведения об обременениях, ограничениях, данные о текущем использовании объекта оценки и другие факторы и характеристики, относящиеся к объекту оценки, существенно влияющие на его стоимость.
Все результаты произведенного осмотра оценщик описывает в отчете об оценке поэтапно. В случае проведения замера объемно-планировочных показателей недвижимого имущества, при появлении необходимости подтвердить либо установить значения каких-либо параметров, оценщик указывает об этом в отчете об оценке.
Процесс получения необходимой для проведения оценки информации оценщиком также описывается в отчете об оценке с указанием точных источников получения информации. В отчете об оценке оценщик перечисляет всю документацию (полученную от заказчика, балансодержателя и от других источников), использованную при оценке объекта оценки с указанием наименования, номера, даты и других данных, идентифицирующих документ.
Если отказ заказчика или уполномоченного им лица предоставить запрашиваемую информацию существенным образом повлиял на точность и/или достоверность результатов оценки, то данное обстоятельство отмечается в отчете об оценке.
Описание объекта оценки должно формировать у пользователя отчета об оценке объективное представление об объекте оценки во всех аспектах, которые влияют на ценность оцениваемого имущества;
анализ рынка объекта оценки должен содержать анализ всех факторов, не относящихся непосредственно к объекту оценки, но влияющих на его стоимость. В разделе должна быть представлена информация по всем ценообразующим факторам, использованным при определении стоимости объекта оценки, и обоснование их значений.
Оценщик приводит общий обзор ситуации, определяющий положение (статус) объекта оценки в регионе. Анализируется активность рынка в части объема и динамики спроса и предложения аналогичных объектов, степень открытости и другие показатели, определяющие привлекательность или уникальность объекта оценки. Указываются все количественные и качественные данные, подкрепляющие сделанные аналитические выводы.
Отраслевой обзор включает анализ объема и структуры отрасли, основных участников рынка, перспектив развития отрасли.
Конкретный перечень рассматриваемых показателей в каждом случае должен соответствовать основным задачам выполняемой оценки, чтобы не перегружать отчет об оценке излишней информацией.
Результатом анализа рыночной ситуации является четкое позиционирование объекта оценки на рынке. При этом оценщик указывает критерии, которыми он руководствовался при позиционировании;
анализ наилучшего и наиболее эффективного использования, где оценщиком приводятся и обосновываются выводы о наиболее вероятном использовании объекта оценки, в результате которого его стоимость будет максимальной.
Анализ наиболее эффективного использования объекта оценки предполагает отбор вариантов альтернативного использования, в связи с этим необходимо привести список вариантов с учетом возможности полного или частичного изменения функционального назначения объекта оценки, конструктивных решений, изменения состава прав, других параметров.
Оценщику также следует отразить в отчете об оценке все использованные законодательные и нормативные акты;
описание процесса оценки должно содержать последовательность определения стоимости объекта оценки, позволяющую пользователю отчета об оценке понять логику процесса оценки и значимость предпринятых оценщиком шагов для установления стоимости объекта оценки.
Отчет об оценке должен содержать обоснование выбора примененных оценщиком методов оценки в рамках затратного, сравнительного и доходного подходов. Оценщик должен привести обоснование отказа от применения определенного подхода к оценке объекта оценки.
В рамках каждого подхода оценщик приводит все сделанные им анализы, расчеты, суждения, ограничения и допущения. Каждое действие оценщика при проведении оценки с применением методов оценки в рамках принятых подходов должно быть обосновано соответствующим образом.
В отчете об оценке должно содержаться описание расчетов, пояснения к расчетам, обеспечивающие проверяемость выводов и результатов, указанных или полученных оценщиком в рамках подходов и методов, использованных при проведении оценки.
Отчет об оценке может также содержать любые сведения, являющиеся по мнению оценщика существенно важными для полноты отражения примененного им метода расчета стоимости объекта оценки;
ж) раздел VII "Заключение" должен содержать следующие части:
согласование результатов оценки объекта оценки, полученных с применением различных подходов. Оценщик должен привести в отчете об оценке описание процедуры согласования, описание выбранных критериев значимости в отношении пригодности, точности и обоснованности примененных подходов, с указанием того, в какой мере эти подходы используют исходные данные и приводят к итоговой стоимости объекта оценки.
Значительное расхождение результатов, полученных каждым из подходов к оценке, должно сопровождаться аргументированными комментариями относительно возможных причин расхождения.
Из отчета об оценке должно быть ясно, включает ли итоговый показатель рыночной стоимости объекта оценки налог на добавленную стоимость;
заявление о качестве - официальное объявление оценщика о соответствии отчета об оценке требованиям действующего законодательства и используемым стандартам оценки. Перечень положений, являющихся частью заявления о качестве отчета об оценке, может содержать следующее:
все факты, изложенные в настоящем отчете об оценке, верны и соответствуют действительности;
сделанный анализ, высказанные мнения и полученные выводы принадлежат самим оценщикам и действительны исключительно в пределах оговоренных в настоящем отчете об оценке допущений и ограничивающих условий;
оценщик не имеет ни настоящей, ни ожидаемой заинтересованности в объекте оценки и действовал непредвзято и без предубеждения по отношению к заинтересованным в сделке сторонам;
вознаграждение оценщика не зависит от итоговой величины стоимости объекта оценки, а также тех событий, которые могут наступить в результате использования заказчиком или третьими сторонами настоящего отчета об оценке;
анализ, мнения и выводы были получены, а настоящий отчет об оценке составлен в полном соответствии с требованиями Закона Республики Узбекистан "Об оценочной деятельности" и Национального стандарта оценки имущества НСОИ N 8 "Оценка имущества в целях приватизации";
з) раздел VIII "Список использованных источников" должен содержать перечень использованных при проведении оценки объекта оценки данных с указанием источников их получения.
Ссылки на используемую в отчете об оценке литературу и источники информации должны присутствовать в тексте отчета, а перечень с указанием полного наименования этих источников приводится в отдельном разделе отчета (в приложении).
К числу источников относятся: законодательные и иные нормативно-правовые акты, справочная и методическая литература, методические рекомендации, деловая литература, базы данных, данные из сети Интернет и т. д.;
и) раздел IX "Приложения" должен содержать всю информацию, использованную при проведении оценки в печатном виде (включая интернет-страницы). В приложениях отчета об оценке также должны быть копии запросов сторонним организациям и ответов на такие запросы.
Вся документация, приложенная к отчету об оценке, должна быть соответствующим образом оформлена (подписана уполномоченным на то лицом и заверена в установленном порядке со стороны органов и организаций, представляющих документы, за исключением информации, полученной из сети Интернет).
Отсутствие правоустанавливающих документов является непосредственным основанием для признания отчета об оценке недостоверным.
Приложения к отчету об оценке также должны содержать копии лицензии оценочной организации, документов, удостоверяющих право проведения оценщиком оценки, копию полиса страхования гражданской ответственности и необходимые фотоматериалы.
В отчете об оценке должен содержаться полный перечень документов приложения.
Копия отчета об оценке должна храниться оценочной организацией с даты составления отчета в течение срока, установленного законодательством.



