1. ТИПОЛОГИЯ предпринимательства
1.1. Предпринимательство государственное и предпринимательство частное
Предпринимательство как особая форма экономической активности может осуществляться как в государственном, так и в частном секторе экономики. В соответствии с этим различают:
а) предпринимательство государственное;
б) предпринимательство частное.
Государственное предпринимательство
Государственное предпринимательство есть форма осуществления экономической активности от имени предприятия, учрежденного:
а) государственными органами управления, которые уполномочены (в соответствии с действующим законодательством) управлять государственным имуществом (государственное предприятие), или
б) органами местного самоуправления (муниципальное предприятие).
Собственность такого рода предприятий есть форма обособления части государственного или муниципального имущества, части бюджетных средств, других источников. Важной характеристикой таких предприятий выступает то обстоятельство, что они отвечают по своим обязательствам только имуществом, находящимся в их собственности (ни государство не отвечает по их обязательствам, ни они сами не отвечают по обязательствам государства).
Частное предпринимательство
Частное предпринимательство есть форма осуществления экономической активности от имени предприятия (если оно зарегистрировано в качестве такового) или предпринимателя (если такая деятельность осуществляется без найма рабочей силы, в форме индивидуальной трудовой деятельности).
Конечно, каждый из этих видов — государственное и частное предпринимательство — имеет свои отличительные признаки, но основные принципы их осуществления во многом совпадают. И в том и в другом случае осуществление такой деятельности предполагает инициативность, ответственность, инновационный подход, стремление к максимизации прибыли. Схожей является и типология обоих видов предпринимательства.
1.2. Производительная и посредническая предпринимательская деятельность
Предпринимательство как форма инициативной деятельности, направленной на извлечение прибыли (предпринимательского дохода), предполагает:
1) осуществление непосредственных производительных функций, т. е. производство товара (продукта) или оказание услуги (например, машиностроительная фирма, туристская компания, инжиниринговая фирма или конструкторское бюро);
2) осуществление посреднических функций, т. е. оказание услуг, связанных с продвижением товара на рынок и его передачей в надлежащем (общественно приемлемом) виде от непосредственного производителя такого товара его потребителю.
2.2. Традиционалистское и инновационное предпринимательство
Предпринимательская деятельность, связанная с непосредственным производством товаров, может носить:
1) традиционалистский характер (традиционалистское предпринимательство);
2) инновационный характер (инновационная предпринимательская деятельность, инновационное предпринимательство).
Инновация (нововведение) — обновление основного капитала (производственных фондов) или производимой продукции на основе внедрения достижений науки, техники, технологии. Это закономерный, объективный процесс совершенствования общественного производства.
Предпринимательство в сфере непосредственного производства товаров может, таким образом, ориентироваться на производство и поставку на рынок традиционных или инновационных товаров. Практика предпринимательской деятельности в любой ее форме включает в себя инновационный процесс. Приводимое выше деление типов предпринимательской деятельности основывается на убеждении, что производство и поставка на рынок традиционных товаров осуществляется также с использованием каких-то новых методов или приемов, связанных с организацией производства, техническими элементами производства или изменениями качественных характеристик производимого товара. В этом случае, однако, можно говорить о производстве традиционных товаров с привнесением частичной инновации. В случае когда производство не частично, а полностью основывается на инновации, результатом такой его организации выступает новый (не существовавший ранее) товар или же товар с принципиально новыми характеристиками, свойствами или даже сферами использования.
2.3. Основной и вспомогательный виды производительной предпринимательской деятельности
Исходя из вышеизложенного, можно сделать вывод о том, что предпринимательская деятельность в сфере непосредственного производства товаров может носить основной или вспомогательный характер. К основным относятся те виды предпринимательской активности, результатом которых является производство товара, готового к потреблению (производственному или индивидуальному).
К вспомогательным относятся виды предпринимательской активности, цель которых сводится к разработке и передаче непосредственным товаропроизводителям инноваций — способов, методов, приемов, применение которых в процессе производства воздействует на повышение качественных характеристик товара. Результатом инновационной деятельности является разработка и передача непосредственным товаропроизводителям новой техники и технологии. К вспомогательным относятся также такие виды предпринимательской деятельности, как инжиниринговая, конструкторская, консультационная, маркетинговая, лизинговая и др.
3.1. Понятие посредника
Рынок, как известно, представляет собой место встречи двух основных субъектов экономических (хозяйственных) отношений. А раз это так, то на рынке должны присутствовать или сами производитель и потребитель, или же их представители.
Лица (юридические или физические), представляющие интересы производителя или потребителя (а часто и действующие от их имени), но сами не являющиеся таковыми, называются посредниками.
3.2. Функциональное назначение посредника
Предпринимательская активность в сфере посредничества позволяет совместить в самые сжатые сроки экономические интересы производителя и потребителя. Посредничество, с точки зрения производителя, повышает степень эффективности работы последнего, поскольку дает возможность сосредоточить свою активность только на самом производстве, передавая посреднику функции по продвижению товара к потребителю. Кроме того, включение посредника в отношения между производителем и потребителем существенно сокращает срок оборачиваемости капитала, а значит, повышает прибыльность производства.
Для подтверждения последнего тезиса рассмотрим следующую схему (рис. 2.3).

Рис. 2.3. Временная периодизация производства и продвижения товара к потребителю
Пояснения к схеме:
Д — подготовительный период. Необходимая предпосылка производства — обладание денежным капиталом, который используется для приобретения всего, что необходимо для начала производства. Предположим, что такой период продолжается 3 месяца;
П... — процесс производства. Он продолжается в нашем случае, скажем, 6 месяцев;
Т — процесс реализации. Продукт нашей деятельности уже принял товарную форму, это уже товар, готовый к потреблению. Но нам требуется, предположим, 3 месяца, чтобы довести товар до потребителя. Время это мы тратим, чтобы капитал, совершив оборот, вернулся в первоначальную, т. е. денежную (с приростом, естественно) форму.
Если бы мы смогли продать товар сразу после окончания процесса производства, то мы сократили бы период обращения капитала на 3 месяца. В этом случае, правда, мы реализуем товар по оптовой цене, а не по розничной, т, е. теряем часть возможной прибыли. Могли бы, скажем, получить 90 денежных единиц, а получаем только%, т. е. 9 денежных единиц, — торговая или оптовая скидка посреднику). Однако, учитывая то, что период обращения капитала в этих новых условиях составит не 12, а 9 месяцев, суммарная прибыль также будет составлять не 90, а 108 денежных единиц.
3.3. Агентирование
Предпринимательская деятельность в посредничестве осуществляется всегда в какой-то конкретной форме. Самой распространенной формой посредничества является агентирование, т. е. такой тип отношений, в которых агент выступает посредником между производителем и потребителем.

Рис. 2.5. Схема контактных линий "производители-потребители" (с включением посредника)
Агент — лицо, действующее от имени и в интересах производителя товара или потребителя. Лицо, в интересах и от имени которого действует агент, называется принципалом. Принципалом может быть как собственник товара, поручающий агенту продать его, так и потребитель товара, поручающий агенту купить этот требуемый товар.
Таким образом, посредничество с участием агента включает взаимоотношения уже не двух, а трех субъектов (рис. 2.6).

Рис. 2.6. Схема отношений производителя и потребителя с участием агента
Типы агентов
Различают несколько типов агентов:
1) агенты производителей;
2) полномочные агенты по сбыту;
3) агенты по закупкам.
Агенты, производителей (представители производителей) — представляют интересы двух или нескольких производителей дополняющих друг друга товаров.
Полномочные агенты по сбыту получают право на сбыт всей продукции и представляют собой как бы отдел сбыта, но не входят в структуру фирмы-производителя, а взаимодействуют с ней на договорных условиях.
Агенты по закупкам чаще всего занимаются подбором нужного товарного ассортимента (например, для мелких розничных торговцев).
Правовая основа осуществления агентских функций
Правовой основой осуществления подобных отношений служит агентское соглашение (агентский договор), заключаемое между принципалом и агентом. По этому договору агент обязуется от имени принципала продать (или купить) товар на указанных в договоре условиях.
Основой такого договора среди прочих выступают два ключевых условия — цена товара и размер агентского вознаграждения.
3.4. Конкретные формы агентирования
Брокерство
Брокер — посредник при заключении сделок, специализирующийся по определенным видам товаров или услуг, действует по поручению и за счет клиентов, получая от них специальное вознаграждение. Относится к категории профессиональных деловых посредников.
Комиссия
Иногда агент выступает в качестве оптовика-комиссионера, который самостоятельно распоряжается товаром, принимая его на комиссию. Комиссионер действует на основе договора комиссии, заключаемого между комиссионером (агентом) и принципалом, который в таком случае выступает в виде комитента.
Комиссионные операции — это разновидность торгово-посреднических операций, совершаемых одной стороной (комиссионером) по поручению другой стороны (комитента) от своего имени, но за счет комитента. Отношения сторон регулируются договором комиссии.
Комиссионер — посредник, физическое или юридическое лицо, совершающее за определенное вознаграждение (комиссионное вознаграждение) сделки в пользу и за счет комитента, но от своего имени.
Комитент — лицо (обычно производитель или собственник товара), дающее поручение другому лицу (комиссионеру) заключить определенную сделку или ряд сделок от имени последнего, но за счет комитента.
При осуществлении комиссионной операции сделки купли-продажи совершаются комиссионером за счет комитента, который выплачивает комиссионеру комиссионное вознаграждение. Размер вознаграждения устанавливается в виде определенного процента от суммы сделки (обычно, когда в роли комитента выступает продавец товара) или разницы между ценой, назначенной комитентом, и ценой, по которой комиссионер реализовал товар (в случае, когда в роли комитента выступает продавец).
3.5. Оптовое купечество
Довольно часто посредники выступают в форме оптовиков-купцов (в США, к примеру, на их долю приходится более половины общего оптового оборота).
Оптовики-купцы — независимые коммерческие предприятия, приобретающие право собственности на все товары, с которыми они имеют дело. Это профессиональный вид предпринимательской деятельности. Предпринимательский доход складывается из разницы между оптовой ценой покупки товаров оптовиком-купцом и оптовой ценой продажи. Оптовик-купец обычно продает товар розничным торговцам.
Оптовики-купцы функционируют в различных формах:
1) оптовая фирма,
2) оптовый дистрибьютор,
3) снабженческий (торговый) дом.
Дистрибьюторство
Дистрибьютор — посредник, специализирующийся на приобретении товаров у производителей и реализующий их (распределяющий) своим постоянным клиентам. Различают дистрибьюторов товаров промышленного назначения (их партнерами являются предприниматели, производящие товары, готовые к потреблению) и дистрибьюторов, продающих товары розничным торговцам.
Дилерство
Весьма распространенной формой посреднических операций служит дилерство. К дилерам относятся посреднические структуры, под которыми могут пониматься как юридические, так и физические лица. Обычно дилер осуществляет перепродажу товаров от своего имени и за свой счет. Дилерская прибыль образуется за счет разницы между ценой приобретения товаров и ценой продажи товаров самим дилером. По особому договору с продавцами дилер может предоставлять им информацию о рынке, оказывать услуги по рекламе, а также осуществлять послепродажное обслуживание реализуемых товаров.
Реже расчеты дилера с принципалом за получаемый от него товар осуществляются на основе специальных договоров. Отношения в таком случае строятся по принципу: принципал поручает дилеру (обычно на постоянной, долговременной основе) заниматься реализацией принадлежащего ему (или производимого им) товара по цене не ниже, чем... (эта-то цена и выплачивается дилером принципалу, если дилер сумеет реализовать передаваемый ему товар).
Торговое маклерство
Торговый маклер — это предприниматель-посредник, который сам не участвует в заключении сделки, а только указывает на возможность ее заключения. Обычно его функции сводятся к тому, что он лишь сводит партнеров по сделке. Предпринимательский доход он получает в форме маклерского вознаграждения, размер которого зависит от суммы заключенной сделки. Маклер также занимается посреднической деятельностью при заключении торговых сделок на биржах. Обычно маклер на российских биржах ведет торги.
Джобберство
К посредникам относятся также и джобберы — субъекты посреднической сферы, которые обладают запасами готовой продукции, обеспечивают хранение и поставку (транспортировку) товаров. Однако основные принципы их деятельности аналогичны агентским функциям. Обращение к услугам джобберов целесообразно в том случае, если для производителя по каким-либо причинам неэффективно создавать собственную сбытовую сеть (сеть продавцов), или же в случае, когда он стремится выйти за рамки той территории, где расположены его собственные сбытовые (торговые) учреждения.
3.6. Посылторговское посредничество
Посылторговец — предприниматель-посредник, который занимается реализацией товаров путем рассылки каталогов товаров потенциальным покупателям. В этом случае посредник должен предусмотреть наличие у него складского помещения. Кроме того, обычно предусматривается наличие (или возможность использования) какого-либо эффективного вида транспорта.
3.7. Торговое представительство (представительство торговых интересов принципала)
Торговый представитель как самостоятельный предприниматель также относится к категории посредников. Он одновременно может представлять интересы нескольких принципалов.
3.8. Коммивояжерство
Коммивояжер — предприниматель-посредник, который не только продает, но и доставляет товар покупателю (продажа с доставкой). К коммивояжерам обычно относят разъездных представителей торговых фирм, которые предлагают покупателям товары по имеющимся образцам. Коммивояжеры обеспечивают достаточно эффективную рекламу товарам и создают прочные каналы сбыта продукции, а также ее послепродажного обслуживания.
В России накануне Октябрьской революции 1917 г. насчитывалось шесть профессиональных обществ вояжеров[1] — Варшавское, Лодзинское, Московское, Виленское, Ростовское (Ростов-на-Дону) и Одесское. Более того, в Москве издавался даже специализированный журнал "Коммивояжер" (московское общество насчитывало 226 коммивояжеров, действовавших на территории всей России). "Товарищество Кузнецова (фарфоровое и керамическое производство)" стало монополистом благодаря во многом именно коммивояжерам, которые кроме своих прямых обязанностей выполняли функции исследователей интересов и вкусов потребителей, т. е. по существу, ту работу, которую ныне мы классифицируем как маркетинг.
3.9. Аукционерство
Аукционная форма торговли также относится к категории посреднических операций. В осуществлении таких операций участвуют три субъекта взаимоотношений (рис. 2.8).

Рис. 2.8. Схема отношений при аукционной сделке
Аукционатор — лицо, передающее товар аукционисту по договору для его последующей реализации на аукционе в соответствии с условиями договора и правилами аукциона.
Аукционист — лицо, проводящее аукцион.
Аукционеры — участвующие в аукционе потенциальные покупатели.
Аукцион представляет собой публичный торг. Это соревнование покупателей за право приобретения товара, выставляемого на аукционную продажу. Товары, выставляемые на аукцион, имеют стартовую цену и обычно предлагаются к продаже лотами.
Стартовая цена — начальная цена, назначаемая аукционатором и аукционистом в аукционном договоре, с которой начинается торг во время проведения аукциона.
Лот — неделимая партия товара, выставляемая на аукционную продажу. Все лоты под номерами обычно выставляются для предварительного осмотра до начала аукциона. Товар (лот) считается проданным после третьего удара молотка аукциониста тому аукционеру, который предложил наивысшую цену. На международные аукционы выставляются пушнина, скаковые лошади, пряности, чай, табак, шерсть, ряд других товаров, включая антиквариат.
3.10. Биржевое предпринимательство
Биржевое предпринимательство по сравнению с другими формами профессиональной предпринимательской деятельности имеет ряд специфических особенностей, что позволяет выделить его в особый тип и классифицировать как самостоятельное направление деловой практики.
Во-первых, биржи представляют собой посреднические структуры. При этом, однако, они выделяются из всего ряда посредников тем, что практически ни один предприниматель не обходится без обращения к ним. Во-вторых, биржи обслуживают клиентов — это их главная функция. В России, однако, эта функция бирж имеет своеобразное проявление — они не столько обслуживают, сколько контролируют производителя через каналы снабжения и посредством цен. Сегодня предпринимательскую деятельность нельзя вести на достаточно эффективном уровне, не принимая во внимание принципы и содержание деятельности бирж.
Виды бирж
Биржа представляет собой особую организационную форму оптовой торговли. Обычно для каждой биржи характерна специализация, которая определяется или данным географическим регионом (региональные универсальные биржи), или же избранным профилем ее деятельности. Биржи, специализация которых определяется профилем деятельности, подразделяются на следующие виды:
1) товарная биржа — специализируется на оптовой торговле обычно массовыми товарами, имеющими устойчивые и четкие качественные параметры;
2) фондовая биржа — центр систематических операций по купле-продаже ценных бумаг;
3) валютная биржа — место для осуществления операций по купле-продаже золота и валюты;
4) биржа труда — специализируется на учете потребностей в различных видах рабочей силы и имеющихся предложений рабочей силы (купля-продажа рабочей силы с помощью посредника). Правда, биржи труда в классическом понимании все больше уступают место центрам труда (джоб-сентерс), функционирующим обычно под эгидой министерства занятости.
Товарные биржи
Для сферы предпринимательства наибольшего внимания заслуживают товарные биржи. Принципиальными отличительными свойствами биржевых товаров выступают их однородность, взаимозаменяемость, возможность установления для них стандартных качественных характеристик. Обычно реализация биржевых товаров осуществляется без предварительного осмотра по образцам или стандартным описаниям при заранее установленных размерах минимальных партий.
Различают несколько форм сделок, осуществляемых на товарных биржах.
Во-первых, это сделки с немедленной сдачей товара (сделки на наличный товар).
Во-вторых, сделки форвардные, т. е. сделки с поставкой товара в будущем. Оба эти вида сделок завершаются сдачей-приемкой реального товара.
В-третьих, срочные сделки — сделки, заключаемые с целью поставки товара в определенный срок, разрыв между моментом заключения сделки и сроком поставки товара по этой сделке может составлять от 6 до 14 месяцев (среднепринятый срок для такого рода сделок). К примеру, сделки на поставку хлопка обычно заключаются в июле с поставкой хлопка в декабре.
В-четвертых, онкольные сделки — вид операций, при которых покупка реального товара осуществляется без фиксации цены до тех пор, пока этого не потребует покупатель. Продавец в такой ситуации страхует себя хеджированием продажей. При этом цена, по которой продавец закрывает хедж, становится ценой покупки реального товара..
Фьючерсные сделки
Фьючерсный контракт— это контракт по поставке обусловленного количества определенного товара данного сорта или марки по фиксированной цене в течение указанного в договоре срока. Во всех случаях (за незначительным исключением) обязательства по фьючерсным контрактам выполняются путем уплаты разницы в цене, а не путем поставки реального товара.
Хеджирование покупкой— операция на фьючерсной бирже, заключающаяся в покупке фьючерсного контракта. Тот, кто осуществляет такую операцию, на рынке реального товара продает, а на фьючерсной бирже покупает, страхуя тем самым свою операцию с реальным товаром.
Хеджирование продажей— операция на фьючерсной бирже, заключающаяся в продаже фьючерсного контракта. В этом случае осуществляется покупка на рынке реального товара или товар держится в запасе, а на фьючерсной бирже осуществляется продажа. При этом лицо, осуществляющее хеджирование, намерено прекратить обязательства по сделке на фьючерсном рынке одновременно с завершением операции с реальным товаром и до наступления срока поставки по фьючерсному контракту. Хеджирование, таким образом, представляет собой балансирование между обязательством на рынке реального товара и обязательством (противоположным по направлению) на фьючерсном рынке. Это покрытие возможных рисков.
Предположим, сегодняшняя цена на сахар составляет 10 денежных единиц за 1 кг, а цена на сахар с поставкой в сентябре — 8 денежных единиц. Я намереваюсь продать сахар в сентябре, но полагаю, что к сентябрю реальная цена на сахар может опуститься до 7 денежных единиц. В таком случае я могу осуществить хеджирование — сегодня продать на фьючерсном рынке контракт на поставку 100 кг сахара в сентябре по цене 8 денежных единиц за 1 кг. Выручка от контракта составит 800 денежных единиц. В сентябре, когда цены на сахар упадут до 7 денежных единиц, я получил бы 700 денежных единиц от продажи 100 кг сахара. Если в сентябре я выкупаю фьючерсные контракты, проданные мною ранее, и плачу 700 денежных единиц (хотя при их продаже я получил 800), то 100 денежных единиц составят мою прибыль.
Опционы
К особого вида биржевым сделкам относят опционы. Под опционом понимают сделку, при которой риск по сравнению с обычными фьючерсными операциями ограничен. Ее содержание сводится к договорному обязательству купить (продать) товар или финансовые права по заранее установленной в момент заключения сделки цене в пределах согласованного периода. Такая цена называется базисной, ценой исполнения опциона или ценой заключения сделки. В обмен на получение такого права покупатель опциона выплачивает продавцу определенную сумму, называемую премией. Риск покупателя как раз и ограничивается размерами этой премии, а риск продавца снижается на величину премии. В совершении сделки участвуют продавец опциона (или подписчик опциона) и покупатель опциона (держатель опциона). Опционы могут совершаться с товарами, ценными бумагами, фьючерсными контрактами.
Под опционом понимается условие, включаемое в биржевые сделки на срок (фьючерсные контракты), по которому одной из сторон предоставляется право выбора между отдельными взаимоисключающими условиями сделки или изменения ее первоначальных условий. Под опционом, таким образом, понимается выбор, возможность выбора. К примеру, если опцион применяется в чартере (договоре морской перевозки), то под ним понимается условие, по которому фрахтователю (нанимателю судна, его арендатору) предоставляется право выбора порта погрузки (разгрузки) или груза для перевозки, а также право замены обусловленного в договоре груза другим грузом.
Биржевое брокерство
Предпринимательство в биржевой деятельности может быть связано: 1) с организацией деятельности биржи как коммерческой структуры; 2) с организацией брокерской конторы или брокерской фирмы.
Осуществлением всех операций на бирже занимаются биржевые брокеры — посредники, которые содействуют совершению сделок между заинтересованными сторонами — клиентами. Сделки заключаются брокерами обычно от имени, по поручению и за счет клиента. Они могут также действовать от своего имени, но за счет доверителя на основе заключенных с клиентами соглашений. За совершение сделок брокер получает брокерское вознаграждение или в размере, согласованном с клиентом, или по таксе, установленной биржевым клиентом.
Брокерские места на бирже продаются и покупаются. Продажи брокерских мест осуществляет биржевой комитет. Профессионалы-брокеры работают в биржевом зале. Клиент (или заказчик), т. е. тот, кто хочет продать или купить акции, может получить информацию по телефону от брокера, представляющего его интересы.
Схема осуществления операций на бирже приведена на рис. 2.9.
Листинг
Важное значение для эффективной деятельности фондовых бирж имеет листинг— включение ряда эмитентов (т. е. компаний, выпускающих акции и представляющих их для оборота на фондовой бирже) в биржевой список (англ. list). Но это не простое включение, а как бы визитная карточка биржи: по условиям организации биржи в состав биржевого списка должны попадать лишь достойные фирмы. В противном случае наносится серьезный ущерб деловой репутации фондовой биржи и доверие к ней со стороны клиентов падает.

Рис. 2.9. Схема отношений по биржевой сделке:
1 — поручение продавца брокеру;
2 — поручение покупателя брокеру;
3 — совершение сделки в соответствии с поручениями продавца и покупателя
3.11.Фьючерсы
Фьючерсный товарный контракт дает владельцу право купить или продать определенное количество данного товара по установленной цене в будущем (дата фиксируется в контракте). Необходимо иметь в виду, что контракт представляет собой только право купить или продать, но не право собственности на товар — предмет контракта. При планировании фьючерсной сделки предприниматель исходит из того, что если (по его собственному заключению) цена в будущем на какой-то товар повысится, то он будет стремиться к покупке контракта, а при обратном ожидании — к продаже такого контракта.
Фьючерсная сделка, таким образом, именуемая еще и как срочная сделка, т. е. сделка на определенный срок, предполагает лишь переход права купли-продажи какого-либо товара, но не права собственности на товар. Другими словами, она не предусматривает обязательства поставить или принять обусловленный в договоре товар. По этой причине фьючерсный договор именуют иногда как бумажный, а фьючерсную сделку как бумажную сделку.
Фьючерсный договор не может быть аннулирован или ликвидирован в обычном смысле. Ликвидация такого договора происходит путем заключения противоположной сделки на равное (указанному в контракте) количество товара или же (что случается реже) в связи с поставкой реального товара на условиях, оговоренных в контракте.
Однако фьючерсные контракты заключаются не в связи с ожиданием получить реальный товар, а в надежде получить разницу в цене на товар, обозначенный в контракте. Разница в цене определяется как ее превышение или снижение между двумя моментами времени — сроком заключения контракта (цена на момент подписания контракта) и сроком его исполнения (цена на момент подписания контракта с противоположным, обратным условием: если фьючерсный контракт заключен на покупку, то его ликвидация происходит путем его продажи, и наоборот).
К примеру, 10 ноября 1993 г. продавец продал на Лондонской бирже металлов партию никеля по цене 4740,5 долл. США за тонну с поставкой через 3 месяца. Однако к 10 февраля 1994 г. цена на никель поднялась до 4785 долл. США за тонну. В этой ситуации продавец окажется проигравшей стороной и вынужден будет при ликвидации такого фьючерсного контракта, заключенного 10 ноября 1993 г., выплатить покупафевраля 1994 г. сумму в 44,5 долл. США за каждую тонну проданной по фьючерсу партии никеля. Покупатель, наоборот, будет считаться выигравшей стороной, поскольку теперь, 10 февраля 1994 г., функции сторон сменились на прямо противоположные:
• продавец фьючерсного контракта (на 10 ноября 1993 г.) становится 10 февраля 1994 г. покупателем контракта на то же количество такого же товара, но уже по цене на момент ликвидации контракта;
• покупатель фьючерсного контракта (на 10 ноября 1993 г.) превращается в продавца 10 февраля 1994 г.
Схема этой операции выглядит следующим образом (рис. 2.10).

Рис. 2.10. Схема фьючерсной сделки (на уровне партнеров)
Однако в действительности субъекты фьючерсной сделки после подписания контракта в отношения друг с другом не вступают (по поводу этой сделки). Они регистрируют фьючерсные контракты, подписанные ими, в расчетной палате, учрежденной при каждой бирже. Расчетная палата, таким образом, наряду с другими функциями занимается регистрацией фьючерсных контрактов, через нее также осуществляются платежи. Схема взаимоотношений между продавцом и покупателем при этом принимает следующий вид (рис. 2.11).
В настоящее время почти на всех биржах разработаны и применяются стандартизованные формы фьючерсных контрактов, что облегчает и ускоряет процедуру их заключения и ликвидации.
Фьючерсные сделки заключаются для спекуляции на бирже или в целях страхования от возможных изменений цены на товар, т. е. хеджирования.

Рис. 2.11. Схема фьючерсной сделки на бирже:
1 — заключение контракта;
2а, 26 — регистрация контракта;
3а — покупка контракта;
36 — продажа контракта;
4а — выплата расчетной палатой покупателю разницы в ценах на 10 февраля 1994г. по сравнению с 10 ноября 1993 г.;
46 — уплата продавцом разницы в ценах на 10 ноября 1993 г. по сравнению с 10 февраля 1994 г.
3.12. Риэлторство
К особым формам предпринимательской деятельности относится торговля недвижимостью, или, как ее еще называют, риэлторский бизнес. Людей, занимающихся этим видом бизнеса, называют риэлтерами. Риэлтеры используют довольно часто посредников — маклеров.
4. Предпринимательство в финансовой сфере
4.1. Финансовые институты как основа предпринимательской инфраструктуры
Кроме двух основных типов предпринимательской активности, о которых мы вели речь, следует выделить еще один тип, занимающий в структуре предпринимательства особое место. Имеется в виду предпринимательство в финансовой сфере, которое, с одной стороны, относится к категории посреднической деятельности, а с другой — к оказанию услуг, без которых осуществление любой активности становится практически невозможным. Поэтому финансовое предпринимательство выступает как составная и неотъемлемая часть и того и другого типа предпринимательской активности.
Предпринимательство в финансовой сфере может осуществляться банкирами или финансистами за счет учреждения и организации деятельности банков, инвестиционных компаний и фондов.
4.2. Банки
К банкам относятся специализированные финансовые институты (предприятия), объединяющие (сосредоточивающие у себя) финансовые ресурсы — временно свободные денежные средства (вклады), предоставляющие их во временное пользование в виде кредитов (займов, ссуд), посредничающие во взаимных платежах и расчетах между предприятиями, учреждениями и отдельными лицами.
Такое определение относится к государственным или коммерческим (частным или акционерным) банкам. Центральный банк выполняет в основном функцию регулирования денежного обращения в стране, включая эмиссию (выпуск в обращение) новых денег. Центральный банк, как правило, принадлежит государству. Коммерческие банковские учреждения относятся к категории предприятий, осуществляющих свои функции с целью получения прибыли.
В организации банковского дела главная проблема сводится к качественному обслуживанию клиентов. Одной из важнейших характеристик деятельности банковских структур выступает период прохождения банковских платежей. При этом различают:
• внутрибанковские платежи,
• межбанковские платежи на национальном уровне,
• межбанковские платежи на международном уровне.
Внутрибанковские платежи — это прежде всего внутренние (применительно к каждому отдельному банку) расчеты с филиалами. Для оперативной работы в этом направлении обычно используют традиционные виды связи: телефон, телетайп и почту. В телетайпной связи применяется стандартная (принятая во всем мире) таблица ключей. При внутригородских расчетах часто основная нагрузка ложится на специально выделенные телефонные линии.
В настоящее время в пределах России платежное поручение, переданное по телеграфу, проходит в среднем за 3 дня, по почте — 11 дней. Используются также факсимильная и модемная связь. Однако эти каналы ненадежны, поэтому российские банки пытаются найти какие-либо альтернативные средства связи, вплоть до использования спутниковой связи, если речь идет о расчетах с иногородними филиалами.
Для международных банковских расчетов российские банки используют систему "Еврокэш" (электронная система международных банковских операций, разработанная банком "Еврофинанс"). Но лидирующие позиции в международных банковских операциях остаются за широко распространенной системой "СВИФТ", несмотря на то что подключение к этой системе обходится банку достаточно дорого — около 200 тыс. долл. США. Однако высокий уровень защиты информации и возможность прямой связи с банком-корреспондентом, что свойственно системе "СВИФТ", заставляет российские банки идти на такие затраты.
“СВИФТ" относится к разряду систем специального назначения. Наряду с этим банками применяются и системы общего пользования, такие как "Спринт" — система межбанковских электронных платежей с использованием телекоммуникационных услуг компании "Спринт", созданной московским производственным объединением "Центральный телеграф" и американской телекоммуникационной компанией "Спринт интернэшнл комьюникейшн".
Особенности сети "Спринт" — возможность предотвратить утечку информации, перехват и вмешательство на всех уровнях системы, а также обеспечить защиту от несанкционированных изменений информации. Так, модемное оборудование может работать в режиме "колл-бэк" — при установлении соединения по коммутируемой линии модем разрывает связь и делает обратный дозвон до клиента с целью проверки зарегистрированного телефонного номера. Для каждого пользователя определяются его статус, степень секретности информации и область интересов, присваиваются ключи и пароли, регистрируются происходящие изменения. Банки сами решают, по каким полям будет шифроваться передаваемая ими информация и использоваться канал электронной подписи. С помощью особых процедур, выполняемых специальным центром безопасности, можно создать полностью замкнутую группу пользователей внутри сети "Спринт".
Принципиально новое использование технологии "Спринт" нашли в системах безналичных расчетов на основе магнитных карточек. Сеть позволяет в режиме реального времени производить верификацию (проверку достоверности) и авторизацию (принадлежность определенному лицу) как международных карточек ("Виза", "Американ экспресс", "Эм-си/И-си", "Диннерс клаб", "Джей-си-би", "Европей/Мастер кард"), так и отечественных ("Орткард", "Олби", "Юнион кард"). Торговая точка, заключившая договор с одной из финансовых компаний, эмитирующих эти карточки, подключает к сети "Спринт" считывающие терминалы фирмы "Верифоун" (в мире уже установлено более 3 млн. изготовленных ею аппаратов), позволяющие проверять персональные коды владельцев карточек (PI-коды). Считанные с карточки данные передаются в центры авторизации той или иной финансовой компании для получения продавцом электронного кода авторизации (разрешения на оказание услуг). Имея опыт установки первого в России банкомата, позволяющего по кредитным карточкам "Виза" получать наличные доллары, "Спринт" планирует ввести в эксплуатацию и первые рублевые банкоматы.
Контокоррентный счет (контокоррент) — единый текущий и ссудный счет, открываемый банком своему клиенту. Это счет, по которому проходят как ссуды, предоставляемые банком, так и средства, поступающие в банк от клиента в виде вклада или возврата ссуды.
4.3. Инвестиционные компании и фонды
К инвестиционным компаниям и фондам относятся финансовые учреждения (предприятия), преследующие коммерческие цели (т. е. извлечение прибыли), концентрирующие (привлекающие) как свои, так и чужие капиталы и инвестирующие их с максимальной эффективностью в функционирующие и новые производства.
Инвестиции — долгосрочные вложения капитала в какое-либо предприятие, дело.
Инвестиционный — относящийся к осуществлению инвестиций. Инвестор — вкладчик капитала; лицо, организация или государство, осуществляющие инвестиции.
Инвестиционные компании и фонды подразделяются на два вида.
Предприятия, создаваемые с целью концентрации имеющихся у потенциальных вкладчиков средств, вложения капитала в действующие производства и получения прибыли за счет таких инвестиций (с последующей выплатой вкладчикам дохода из получаемой прибыли).
Искомый эффект таким инвестиционным предприятием достигается за счет рассредоточения привлекаемых средств, что значительно снижает степень риска. Для этого, однако, необходимо владеть доскональной и объективной информацией о финансовом состоянии компаний, в которые планируется вкладывать капитал, и прогнозировать возможные изменения их финансового "здоровья".
К инвестиционным предприятиям относятся и инвестиционные банки, специализирующиеся на финансировании долгосрочных инвестиций (в том числе и путем распространения — подписки — акций, выпускаемых каким-либо акционерным обществом, через выкуп всех акций и их последующую реализацию или прием акций на комиссию, т. е. их реализацию с уплатой процента за услуги с цены реализации).
4.4. Аудиторство
К весьма специфическим сферам деятельности относится аудит. Под аудитом понимают деятельность по проверке и контролю финансового состояния компании. Фирмы, специализирующиеся на аудите, называются аудиторскими, или фирмами-аудиторами. Должностных лиц таких фирм, которые осуществляют проверочные и контрольные функции, также называют аудиторами.
Аудиторская проверка какой-либо фирмы может осуществляться фирмой-аудитором по просьбе руководства (собственника) проверяемой фирмы. Такие действия в предпринимательской практике — не редкость. Зачем руководитель или собственник приглашает контролеров? С точки зрения традиционной российской психологии это выглядит весьма странно. Дело в том, что у нас всегда осуществлялись (да и сейчас то же самое) проверки финансового состояния предприятий с единственной целью — найти недостатки и наказать виновных. Аудит же исходит из других целевых установок: посторонний или нейтральный для проверяемой фирмы специалист (или группа специалистов) делает в ходе контрольной проверки выводы о степени компетентности управления финансами данной фирмы и выдает рекомендации по улучшению ситуации, связанной с управлением финансами.
Иногда аудиторские проверки проводятся по решению судебных инстанций (например, когда готовится судебное решение об объявлении какой-то фирмы банкротом и т. д.). Аудиторская проверка предполагается обычно и тогда, когда фирма обращается за получением кредита и кредитор выставляет обязательное условие о предварительном проведении такой проверки
Заключение
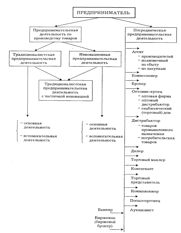
Предпринимательская деятельность может осуществляться, как мы уже отмечали, в различных формах. Эти формы взаимодополняют друг друга, превращая процесс производства и продвижения товаров и услуг к потребителю в целостный и достаточно эффективный процесс (рис. 2.12).

Рис. 2.12. Типология предпринимательской деятельности
[1] 'Утверждают, что слово "вояжер" произошло от Вояжимпсих — имени древнеегипетского жреца, оставшегося в истории первым человеком, осуществлявшим подобные операции.



