1)Общественное воспроизводство есть постоянно повторяющийся процесс производства.
Общество не может перестать потреблять, не может и перестать производить, следовательно, общество не может существовать, не воспроизводя постоянно все элементы производства. Иными словами, чтобы экономическая система могла существовать, она должна воспроизводить сырье, средства производства, рабочую силу не только как элементы производства, но и как экономические отношения. Применительно к системе национальной экономики традиционный процесс воспроизводства можно представить как циклическое взаимодействие производства, распределения, обмена и потребления. Наличие этих стадий - фундаментальная закономерность экономических процессов, их важнейшее свойство. В итоге в экономике постоянно наблюдается циклический круговорот продукции, товаров, услуг в виде воспроизводственных процессов. Производство-процесс создания материальных благ и услуг, необходимых для существования и развития общества. Распределение - процесс определения доли, количества, пропорции участия каждого члена общества в произведенном продукте. Обмен - процесс движения материальных благ и услуг от одного субъекта к другому и форма общественной связи производителей и потребителей. В фазе обмена продукт труда превращается в товар. Потребление-конечное использование произведенного продукта. Цепочка "производство - распределение - обмен - потребление" никогда не прерывается, кроме того, все четыре фазы существуют одновременно, поскольку ни одну из фаз невозможно остановить, чтобы не разорвать цепь. Так осуществляется процесс воспроизводства. В системе национальных счетов (СНС) применяется группировка экономических единиц по институциональным секторам. Сектор представляет собой совокупность институциональных единиц (т. е. хозяйствующих субъектов, которые могут от своего имени владеть активами, принимать обязательства, осуществлять экономическую деятельность и операции с другими единицами), однородных с точки зрения выполняемых функций и источников финансирования. В российской СНС выделяются следующие секторы национальной экономики: – нефинансовые предприятия (предприятия по производству товаров, кроме финансовых услуг); – финансовые учреждения; – государственные учреждения; некоммерческие организации, обслуживающие домашние хозяйства; – домашние хозяйства. Названия институциональных секторов не полностью соответствуют международному стандарту. По завершении работ по внедрению классификатора институциональных секторов экономики в статистическую практику это несоответствие будет устранено. Взаимосвязи секторов внутренней экономики с другими странами отражены в счетах «остального мира», объединяющих все институциональные единицы-резиденты в той части, в которой они взаимодействуют с резидентами национальной экономики. Резидентами считаются предприятия, организации и домашние хозяйства, участвующие в экономической деятельности на экономической территории страны в течение длительного срока (не менее года). Единица считается институциональной, если она ведет полный набор бухгалтерских счетов и является юридическим лицом, т. е. может самостоятельно принимать решения, распоряжаться своими материальными и финансовыми ресурсами, принимать обязательства и осуществлять экономическую деятельность и операции с другими единицами. Если какая-то единица не обладает обеими характеристиками институциональной единицы, то исходя из следующих принципов: – домашние хозяйства считаются институциональными, так как не ведут полного набора счетов, но всегда самостоятельно распоряжаются своими ресурсами; – единицы, не ведущие полного набора счетов, относятся к тем институциональным единицам, куда их счета входят составной частью; – единицы, которые ведут полный набор счетов, но не являются юридическими лицами, относятся к тем институциональным единицам, которые их контролируют. Система национальных счетов-это совокупность статических макроэкономических показателей, характеризующих величину совокупного продукта и совокупного дохода, позволяющих оценить состояние экономики страны. Основными показателями совокупного выпуска и совокупного дохода являются : валовой внутренний продукт(ВВП),валовой национальный продукт(ВНП),чистый внутренний продукт(ЧВП),национальный доход(НД),личный доход(ЛД),располагаемый личный доход(РЛД).
2)Основное макроэкономическое тождество (тождество дохода) отражает равенство доходов и расходов:Y=C+I+G+XnВ макроэкономическом анализе используются и другие важные тождества.Тождество сбережений и инвестиций можно вывести сл образом. Для упрощения рассмотрим вначале закрытую экономику, в которой отсутствует государственный сектор, а следовательно и налоги. Тогда Расходы на ВВП = Потребление + ИнвестицииПо определению сбережений можно записать:Доход, или ВВП, измеренный по доходам = Сбережения + Потребление.Поскольку расходы на ВВП и доходы, полученные в результате производства ВВП, равны, то приравнивая правые части уравнений, имеем:C+I=S+C, или I=SЭто простое тождество усложняется с введением в анализ государства и внешнего мира. Совокупные сбережения делятся на частные(Y),государственные(Sg), сбережения остального мира(Sr).S=Sp+Sg+Sr. Частные сбережения равны сумме доходов(Y),трансфертов(TR),процентов по гос долгу(N) за вычетом налогов(T) и потребления(C):Sp=(Y+TR+N T)-CГосударственные сбережения определяются какSg=(T-TR-N)-G.Сбережения гос-ва, если они являются положительной величиной, составляют бюджетный излишек.Если же они отрицательны, это свидетельствует о наличии бюджетного дефицита(BD):BD=SgСбережения внешнего мира в самом простом определении равны доходу, который внешний мир получает за счёт нашего импорта(IM), минус затраты на наш экспорт(Х) : Sr=IM-X, или Sr=XnНАЦИОНАЛЬНОЕ БОГАТСТВО - совокупность ресурсов страны (экономических активов), составляющих необходимые условия производства товаров, оказания услуг и обеспечения жизни людей. Оно состоит из экономических объектов, существенным признаком которых является возможность получения их собственниками экономической выгоды. Национальное богатство исчисляется на определенный момент времени. Объем национального богатства определяется, как правило, в стоимостном выражении в текущих и сопоставимых (постоянных) ценах. Объем национального богатства в текущих ценах отражает стоимость его элементов в ценах приобретения соответствующих периодов. Стоимость основных фондов при этом периодически (в зависимости от уровня инфляции) приводится в соответствие с ценами, существующими на дату переоценки. В постоянных ценах объем национального богатства отражает стоимость всех его элементов в ценах одного периода (принятых за базисные цены). Изменение физического объема национального богатства и его отдельных элементов рассчитывается в сопоставимых ценах.
3)В основу макроэкономического анализа заложена простейшая модель круговых потоков.В своей элементарной форме эта модель включает в себя 2 категории экономических агентов домашние хозяйства и фирмы – и не предполагает государственного вмешательства в экономику, а также каких-либо связей с внешним миром.
Из схемы видно, что экономика является замкнутой системой, в которой доходы одних экон агентов предстают как расходы других. Расходы фирм на ресурсы одновременно представляют собой потоки заработной платы, ренты и других доходов для домашних хозяйств. С другой стороны, поток потребительских расходов образует выручку фирм от реализации готовой продукции. Потоки “доходы – расходы” и “ресурсы – продукция” осуществляется одновременно в противоположных направлениях и бесконечно повторяются. Основным выводом из модели является равенство суммарной величины продаж фирм суммарной величине доходов домашних хозяйств. Это означает, что для закрытой экономики без гос вмешательства величина общего объёма производства в денежном выражении равна суммарной величине денежных доходов домашних хозяйств. В открытой экономике с гос вмешательством модель круговых потоков несколько усложняется. Когда в модель вводятся 2 др группы экономических агентов – правительство и остальной мир – то указанное равенство нарушается, так как из потока “доходы – расходы” образуются утечки в виде сбережений, налоговых платежей и импорта. Утечки – любое использование дохода не на покупку произведённой внутри страны продукции. Одновременно в поток “доходы – расходы” вливаются дополнительные средства в виде инъекций. Инъекции – любое дополнение к потребительским расходам на продукцию, произведённую внутри страны.
4)Номинальный ВВП рассчитывается в ценах текущего года, реальный ВВП – в сопоставимых ценах, что даёт возможность оценить изменения физического объёма выпуска за определённый промежуток времени. На величину номинального ВВП оказывает влияние 2 процесса:А) динамика реального объёма производстваБ) динамика уровня цен. Реальный ВВП рассчитывается с помощью корректировки номинального ВВП на индекс цен: Если величина индекса цен меньше единицы, то происходит корректировка номинального ВВП в сторону увеличения, которая называется инфлированием. Если величина индекса цен больше единицы, то происходит дефлирование – корректировка номинального ВВП в сторону движения. Индексы цен используются для оценки изменения темпов инфляции, динамики стоимости жизни.Индекс потребительских цен показывает изменение среднего уровня цен “корзины” товаров и услуг, обычно потребляемых средней городской семьёй. Индекс цен – неявный дефлятор ВВП, или, как его кратко называют, дефлятор ВВП.
![]()
5)Согласно кейнсианской экономической теории не ставка процента, а величина распологаемого дохода домашних хозяйств является основным фактором, определяющим динамику потребления и сбережений. При этом сберегается та часть дохода, которая остаётся после осуществления всех потребительских расходов. Влияние ставки процента вторично играет относительно небольшую роль по отношению к воздействию дохода на потребление и сбережения. В то же время динамика инвестиций определяется прежде всего динамикой процентных ставок, что находит отражение в соответствующих функциях потребления, сбережений и инвестиций.Простейшая функция потребления имеет видС=a+b(Y-T) Где С – потребительские расходы а – автономное потребление b – предельная склонность к потреблению Y – доход T – налоги. Предельная склонность к потреблению – доля прироста расходов на потребительские товары и услуги в любом изменении располагаемого дохода. Где MPC – предельная склонность к потреблениюC – прирост потребительских расходовY – прирост распологаемого доходаСредняя склонность к потреблению – доля располагаемого дохода, которую домашние хозяйства расходуют на потребительские товары и услуги.
Где APC – средняя склонность к потреблениюС - величина потребительских расходовY – величина располагаемого дохода Простейшая функция сбережений имеет вид: Где S – величина сбережений в частном секторе а –автономное..потребление…(l–b)–предельнаясклонностьксбережению Y – доход T – налоги
6)На объём национального дохода и возможности расширения производства существенно влияет инвестиции.Инвестиции – долгосрочные вложения государственного или частного капитала в различные отрасли экономики как внутри страны, так и за границей с целью извлечения прибыли. 3 типа: 1)производственные 2)инвестиции в строительство 3)инвестиции в товарно-материальные запасы Различают: 1)валовые - сумма чистых инвестиций и пополнение амортизации2)чистые Автономные инвестиции – инвестиции, не зависящие от уровня текущего дохода.e – величина автономных инвестиций, определ внеш. экон функциямиR – Реальная ставка процентаd – Имперический коэффициент чувствительности инвестиций в динамике ставки процента. Факторы, влияющие и определяющие динамику инвестиций:Реальная ставка процента;Ожидаемая норма чистой прибыли;Уровень налогообложения;Изменения в технологиях производства;Наличие основного капитала; Эконом ожидание и динамика совокупного дохода; Основные факторы нестабильности инвестиций Продолжительные сроки службы оборудования; Нерегулярные инновации; Нарушение эконом прогнозов; Циклические колебания ВВП;мультипликатор представляет собой число, показывающее, во сколько раз необходимо увеличить первоначальный прирост инвестиций, чтобы рассчитать вызванный этим прирост национального дохода. Другими словами, мультипликатор — это отношение изменения равновесного уровня национального дохода к вызвавшему егоисходному изменению уровня расходов
7)Парадокс бережливости попытка общества больше сберегать оборачивается таким же или меньшим объёмом сбережений. Если прирост сбережений не сопровождается приростом инвестиций, то любая попытка домашних хозяйств больше сберегать окажется тщётной в связи со значительным снижением равновесного ВВП, обусловленным эффектом мультипликации.Акселератор, ускоритель, в современной буржуазной макроэкономии коэффициент отношения прироста инвестиций к вызвавшему его относительному приросту дохода, потребительского спроса или готовой продукции. Акселератор (в экономике) выражается формулой (где I — инвестиции, Y — доход, t — время). Он служит количественным выражением «принципа акселерации», согласно которому каждый прирост или сокращение дохода, спроса или продукции вызывает (или требует) большего в относительном (процентном) выражении прироста или сокращения «индуцированных» инвестиций


8)Совокупный спрос – модель, предоставленная на графике в виде кривой, которая показывает различные объёмы товаров и услуг, то есть реальный объём национального производства, который потребитель готов купить при определённом уровне цен. Компонентами совокупного спроса выступают: Спрос домохозяйств – потребительский спрос; Спрос фирм – инвестиционный спрос; Спрос со стороны государства – государственные закупки товаров и услуг; Спрос иностранного сектора – чистый экспорт; AD=C+I+G+Xn Кривая совокупного спроса AD показывает количество товаров и услуг, которое потребители готовы приобрести при каждом возможном уровне цен. Она даёт такие комбинации объёма выпуска и общего уровня цен в экономике, при которых товарный и денежный рынки находятся в равновесии.P – уровень ценY – реальный объём выпускаM – количество денег в экономикеV – скорость обращения денегЦеновые факторы:Эффект процентной ставки – более высокий уровень цен вызывает возрастание номинального спроса на деньги. Эффект материальных ценностей – цены растут, покупательная способность сокращается, люди становятся беднее, их расходы сокращаются Эффект импортных закупок – при росте цен в стране покупатели стремятся больше потребить импортных товаров, сокращая объём национального производства.Неценовые факторы: Предложение денег и скорость их обращения; Фактор, влияющий на потребительские расходы; Факторы, оказывающие влияние на инвестиционный спрос; Изменения в государственных расходах; Условия на внешних рынках; Совокупное предложение – вся конечная продукция, произведённая в обществе; показывает уровень наличного реального объёма производства при каждом возможном уровне цен. Кривая совокупного предложения AS показывает, какой объём совокупного выпуска может быть предложен на рынок производителями при разных значениях общего уровня цен в экономике. Неценовые факторы: Изменение в технологиях; Цены на ресурсы; Налогообложение; Форма кривой AS трактуется по-разному в классической и кейнсианской экономических школах. В классической экономика рассматривает в долгосрочном периоде. Номинальная заработная плата, цены, ставка % достаточно сильно изменяются под воздействием рыночных колебаний. Их гибкость обеспечивает восстановление рыночного равновесия. Кейнсианская модель рассматривает функционирование экономики в сравнительно коротких отрезках времени. Экономика функционирует в условиях неполной занятости факторов производства Цены, номинальная з/п и др номинальные величины – относительно жёсткие, медленно реагируют на рыночные колебания Реальные величины более подвижны, быстрее реагируют на рыночные колебания Кривая AS горизонтальна или имеет положительный наклон.
9) Пересечение кривых совокупного спроса (AD) и совокупного предложения (AS) определяет равновесный уровень цен и объем производства. В точке пересечения количество требуемой и произведенной продукции при данных ценах совпадает. Модель AD - AS показывает, что последствия увеличения совокупного спроса зависят от того, на каком отрезке кривой совокупного предложения оно происходит (совокупный спрос более динамичен, он быстрее улавливает те изменения, которые происходят в экономике). В пределах кейнсианского интервала увеличение спроса приводит к увеличению реального объема национального производства. Возросший объем производства потребует привлечения дополнительных факторов производства, имеющихся в экономической системе, однако уровень цен в экономике останется без изменений. На промежуточном отрезке возрастание совокупного спроса вызывает рост объема производства и занятости, но в меньшей степени, чем на горизонтальном, поскольку увеличение расходов сталкивается с убывающим количеством свободных ресурсов, издержки их использования возрастают, вызывая общее повышение цен. На классическом участке в условиях вовлечения всех факторов производства при росте совокупного спроса не происходит увеличения объемов производства и численности занятых. Здесь производство достигает своего потенциального уровня. Зато это сопровождается резким повышением цен. Любой из неценовых факторов, влияющих на спрос и предложение, может сдвигать кривые влево и вправо, в результате чего будет устанавливаться новая точка равновесия, соответствующая новым условиям. В действительности экономическое развитие обычно связано с нарушением равновесия. Наиболее яркими проявлениями нестабильности выступают инфляция (повышение уровня цен, обесценение национальной валюты), безработица (низкий уровень производства и занятости), цикличность развития экономики. Пересечение кривых AD и AS определяет равновесный объем выпуска и уровень цен в экономике. При нарушении равновесия в экономике, близкой к полной занятости, например, в результате изменения совокупного спроса, вслед за непосредственной реакцией и установлением краткосрочного равновесия продолжается движение к состоянию устойчивого равновесия. Этот переход осуществляется через корректировку цен (рис. 4.5.).
Например, в результате роста денежной массы произошло увеличение совокупного спроса (AD1 > AD2), и краткосрочное равновесие установилось в точке В, где Y>Y*, а уровень цен остался неизменным. Под влиянием высокого уровня спроса увеличивается объем производства, но некоторое время продукция реализуется по старым ценам. Однако, постепенно начинают расти издержки: при отсутствии достаточного количества свободных ресурсов и роста спроса на них увеличивается их цена, например, растет заработная плата. Это ведет к росту цен на готовую продукцию. Величина спроса в результате начинает снижаться (движение вдоль кривой AD? от точки В к точке С) и экономика возвращается к прежнему уровню выпуска, но при более высоком уровне цен. Долгосрочное равновесие устанавливается в точке С. Корректировка цен в ответ на колебания AD происходит постепенно, тогда как приспособление объема выпуска и занятости к новым условиям осуществляется гораздо быстрее. Эмпирические факты подтверждают, что, независимо от причин, вызвавших изменения совокупного спроса и отклонение от исходного равновесия, в долгосрочном периоде экономика путем саморегуляции возвращается к уровню потенциала, заданного имеющимся количеством факторов производства и технологией. В условиях неполной занятости факторов рост совокупного спроса может длительное время стимулировать увеличение совокупного предложения, вплоть до достижения потенциального уровня выпуска. Дальнейшее увеличение совокупного спроса приведет к последствиям, описанным выше (см. рис. 4.5.). Заметим, что в случае сокращения совокупного спроса (уменьшение предложения денег, падение государственных расходов, увеличение налогов и т. д.), кривая AD сдвигается влево, показывая снижение выпуска в краткосрочном периоде при относительной устойчивости цен. В дальнейшем корректировка цен в сторону понижения (при Y<Y*, увеличении безработицы, снижении заработной платы и других издержек) постепенно вернет экономику к исходному уровню выпуска. На графике это отразится движением вниз вдоль новой кривой AD до уровня Y*. Но, в реальной экономике цены не всегда также легко снижаются, как растут, поэтому вполне возможно, что величина выпуска восстановится на исходном уровне Y* при более высоком уровне цен, чем это предполагалось теоретически.
10)Основными типами безработицы являются фрикиционная, структурная и циклическая. Фрикционная безработица связана с поисками и ожиданием работы. Это безработица среди лиц, для которых поиск места работы, соответствующего их квалификации и индивидуальным предпочтениям, требует определённого времени. Структурная безработица связана с технологическими сдвигами в производстве, изменяющими структуру спроса на рабочую силу. Естественный уровень безработицы (natural rate of unemployment – u*) – это такой уровень, при котором обеспечена полная занятость (full-employment) рабочей силы, т. е. наиболее эффективное и рациональное ее использование. Это означает, что все люди, которые хотят работать, работу находят. Естественный уровень безработицы поэтому называют уровнем безработицы при полной занятости (full-employment rate of unemployment), а объем выпуска, соответствующий естественному уровню безработицы, называют естественным объемом выпуска (natural output).Причиной роста естественного уровня безработицы является увеличение продолжительности времени поиска работы (т. е. продолжительности времени, когда люди находятся в безработном состоянии), что может быть обусловлено: увеличением размеров выплат пособий по безработице; увеличением продолжительности времени выплаты пособий по безработице; ростом доли женщин в составе рабочей силы; увеличением доли молодежи на рынке труда. Закон Оукена связывает колебания уровня безработицы с колебаниями ВВП: (Y − Y * ) / Y * = − Buc Y — фактический ВНП Y* — потенциальный ВНП uc — уровень циклической безработицы B — эмпирический коэффициент чувствительности (обычно принимается 2.5 %)
статистика не всегда подтверждала выводы Филлипса. В последней трети 20 века был отмечен одновременный рост цен и безработицы. Это явление в экономике известно как стагфляция. Стагфляция - это одновременное увеличение темпов инфляции и уровня безработицы, сопровождающееся экономическим спадом. Термин «стагфляция» происходит от соединения двух слов: стагнация, или застой, и инфляция. Графически
это отражается сдвигом краткосрочной кривой Филлипса (ККФ / SPhC - short-term Phillips curve) вправо по отношению к началу координат (рис. 16.3). В данной ситуации каждая точка новой пунктирной краткосрочной кривой Филлипса (SPhCa) отражает более высокий уровень инфляции и безработицы по сравнению со сплошной кривой (SPhC|). Одновременный рост этих показателей усиливает экономический спад из-за сокращения совокупного спроса вследствие роста цеп и уменьшения Краткосрочная кривая Филлипса характеризует статическое состояние экономики, не отражая тенденций долгосрочного периода. Она была модифицирована М. Фридменом на основе теории естественного уровня безработицы. Теория естественного уровня безработицы утверждает, что в долгосрочном периоде умеренный темп инфляции достижим лишь при налимий естественного уровня безработицы, который, в свою очередь, зависит от состояния рынка труда. В соответствии с этой теорией кривая Филлипса в долгосрочном периоде является вертикальной. Когда естественный и фактический уровень безработицы совпадают, рынок рабочей силы приходит в равновесие, а фактический уровень роста цен, или инфляции, равен прогнозируемому уровню (рис. 16.4). Для упрощения ситуации представим краткосрочную кривую Филлипса (SlJhC) в виде пунктирной прямой с отрицательным наклоном. На долгосрочном интервале кривая Филлипса принимает вертикальное положение (долгосрочная кривая Филлипса ДКФ / LPhC long-term Phillips curve). На графике она представляется как сплошная вертикальная прямая, указывая на уровень полной занятости (U*). Анализ долгосрочной кривой Филлипса основан на учете инфляционных ожиданий хозяйствующих субъектов. Он проводится в рамках двух теорий - адаптивных и рациональных ожиданий. В этих теориях рассматривается влияние инфляционных ожиданий на совокупное предложение при достижении полной занятости, или естественного уровня безработицы (то есть при отсутствии циклической безработицы). Сокращению структурной безработицы более всего способствуют программы профессионального переобучения и переквалификации. Такого рода программы должны привести к тому, чтобы рабочая сила наилучшим образам соответствовала имеющимся рабочим местам. Эта задача достигается программой профессиональной подготовки, информацией о рабочих местах. Программы профессиональной подготовки обеспечивают как подготовку на рабочих местах, так и в специальных учебных заведениях для безработной молодежи, а также для рабочих старших возрастов, чья профессия оказалась устаревшей. В ряде городов такая переподготовка осуществляется через городскую службу занятости и Центр социальной поддержки. Наиболее трудно бороться с циклической безработицей.
12) Инфля́ция (лат. Inflatio — вздутие) — процесс уменьшения стоимости денег, в результате которого на одинаковую сумму денег через некоторое время можно купить меньший объём товаров и услуг. На практике это выражается в увеличении цен. Механизм возникновения инфляции: Общий объём товаров, которые можно приобрести на имеющуюся в данной экономической системе денежную массу, может расти медленнее, чем объём денежной массы, или даже уменьшаться — в таком случае, стоимость товаров растёт, а стоимость денег уменьшается. Соотношение объёма товаров и объёма денег связано не напрямую, а с учётом скорости оборота денежной массы в данной системе. При увеличении скорости оборота денег, это будет эквивалентно увеличению денежной массы без изменения товарной массы. На уровень инфляции существенное влияние оказывает объём денежной массы, выведенной из непосредственного потребления путём осуществления долгосрочных инвестиций, не предусматривающих быструю отдачу, уровень вкладов, находящихся в банках, величина ставки рефинансирования и так далее. В экономической науке различают следующие причины инфляции: Рост государственных расходов, для финансирования которых государство прибегает к денежной эмиссии, увеличивая денежную массу сверх потребностей товарного обращения. Наиболее ярко выражено в военные и кризисные периоды. Монополия крупных фирм на определение цены и собственных издержек производства, особенно в сырьевых отраслях; Монополия профсоюзов, которая ограничивает возможности рыночного механизма определять приемлемый для экономики уровень заработной платы; Сокращение реального объема национального производства, которое при стабильном уровне денежной массы приводит к росту темпов инфляции, так как меньшему объему товаров и услуг соответствует прежнее количество денег; В ходе особо сильных инфляций, как например в России во время Гражданской войны, или Германии 1920-х гг. денежное обращение может вообще уступить место натуральному обмену. Известны примеры, когда политика правительства привела к длительному периоду снижения розничных цен при повышении заработной платы (например, в СССР в последние годы жизни и при правительстве Людвига Эрхарда в Западной Германии начиная с 1948 года) .Значительная инфляция (десять и более процентов в год), свидетельствует об экономических проблемах в государстве. Достаточно часто сильная инфляция, называемая также гиперинфляцией (уровень может достигать тысяч и даже десятков тысяч процентов в год) возникает за счёт того, что для покрытия дефицита бюджета правительством выпускается избыточное количество денежных знаков. Для современных экономик, в которых роль денег исполняют обязательства, собственной стоимости не имеющие, незначительная инфляция считается нормой и необходимостью и находится обычно на уровне нескольких процентов в год. Уровень инфляции обычно несколько увеличивается в конце года, когда растёт как уровень потребления товаров домохозяйствами, так и уровень расходов корпораций. Виды инфляции Инфляция есть процесс обесценивания денег в результате, например, переполнения каналов товарного обращения денежной массой. Инфляция является результатом макроэкономической нестабильности, когда совокупный спрос превышает совокупное предложение. Неравномерный рост цен по товарным группам порождает неравенство норм прибылей, стимулирует отток ресурсов из одного сектора экономики в другой (в России из промышленности и сельского хозяйства в торговлю и финансово-банковский сектор). Существуют современные теории инфляции, позволяющие определить ее виды: открытая инфляция и подавленная инфляция. Открытая инфляция характеризуется макроэкономическим неравновесием в сторону спроса, при котором падает реальная стоимость денег. Виды открытой инфляции: Инфляция спроса — порождается избытком совокупного спроса по сравнению с реальным объемом производства. (Дефицит товара) Инфляция предложения (издержек) — означает рост цен, вызванный увеличением издержек производства в условиях недоиспользованных производственных ресурсов. Повышение издержек на единицу продукции сокращает объем предлагаемой производителями продукции при существующем уровне цен. Сбалансированная инфляция — цены различных товаров остаются неизменными друг относительно друга. Несбалансированная инфляция — цены различных товаров изменяются по отношению друг к другу в различных пропорциях. Прогнозируемая инфляция — это инфляция, которая учитывается в ожиданиях и поведении экономических субъектов. Непрогнозируемая инфляция — становится для населения неожиданностью, так как фактический темп роста уровня цен превышает ожидаемый. Адаптированные ожидания потребителей — явление, связанное с деформацией потребительской психологии. Сверхповышенный спрос на товары позволяет предпринимателям поднимать цены на товар. (Спрос рождает предложение). Подавленная инфляция характеризуется внешней стабильностью цен (при активном вмешательстве государства), но росту дефицита товаров, что так же снижает реальную стоимость денег. В зависимости от темпов роста различают: Ползучую (умеренную) инфляцию (рост цен менее 10 % в год). Западные экономисты рассматривают её как элемент нормального развития экономики, так как, по их мнению, незначительная инфляция (сопровождаемая соответствующим ростом денежной массы) способна при определенных условиях стимулировать развитие производства, модернизацию его структуры. Рост денежной массы ускоряет платежный оборот, удешевляет кредиты, способствует активизации инвестиционной деятельности и росту производства. Рост производства, в свою очередь, приводит к восстановлению равновесия между товарной и денежной массами при более высоком уровне цен. Средний уровень инфляции по странам ЕС за последние годы составил 3—3,5 %. Вместе с тем всегда существует опасность выхода ползучей инфляции из-под государственного контроля. Она особенно велика в странах, где отсутствуют отработанные механизмы регулирования хозяйственной деятельности, а уровень производства невысок и характеризуется наличием структурных диспропорций; Галопирующую инфляцию (годовой рост цен от 10 до 50 %). Опасна для экономики, требует срочных антиинфляционных мер. Преобладает в развивающихся странах;Гиперинфляцию (цены растут астрономическими темпами, достигая нескольких тысяч процентов в год, или свыше 100 % в месяц). Парализует хозяйственный механизм, при ней происходит переход к бартерному обмену. Она так же свойственна странам в отдельные периоды, когда они переживают коренную ломку своей экономической структуры. Используют также выражение хроническая инфляция для длительной во времени инфляции. Стагфляцией называют ситуацию, когда инфляция сопровождается падением производства (стагнацией).
13) Антиинфляционная политика.
Для антиинфляционного регулирования используются два типа экономической политики: 1. Политика, направленная на сокращение бюджетного дефицита, ограничение кредитной экспансии, сдерживание денежной эмиссии. В соответствии монетаристскими рецептами применяется таргетирование – регулирование темпа прироста денежной массы в определенных пределах (в соответствии с темпом роста ВВП). 2. Политика регулирования цен и доходов, имеющая целью увязать рост заработков с ростом цен. Одним из средств служит индексация доходов, определяемая уровнем прожиточного минимума или стандартной потребительской корзины и согласуемая с динамикой индекса цен. Для сдерживания нежелательных явлений могут устанавливаться пределы повышения или замораживание заработной платы, ограничиваться выдача кредитов и т. д. Воздействие на инфляционный процесс в условиях резкого роста цен требует специальных мер. Так, для устранения последствий «нефтяного шока», ударившего по экономике США во второй половине 70-х гг., были повышены учетные ставки, усилены требования к размерам резервных фондов, пересмотрена система налогообложения. Снизить темпы инфляционного, роста цен удалось не сразу: с 13—14% в 1979 г. они снизились до 4% спустя примерно три года — в 1982 г. Как свидетельствует опыт, остановить инфляцию с помощью одних организационных мер весьма трудно, если не сказать невозможно. Для этого необходима структурная реформа, направленная на преодоление возникших в экономике диспропорций Конкретные методы сдерживания инфляции, «дозировка» и последовательность применения привлекаемых «для лечения лекарств» зависят от постановки правильного «диагноза». «Поставить диагноз» — значит определить характер инфляции, выделить основные и связанные с ними факторы, подстегивающие! раскручивание инфляционных процессов. Каждая инфляция специфична и предполагает применение таких рецептов, которые соответствуют характеру и глубине «заболевания». Инфляция может носить монетарный или преимущественно структурный характер, ее источниками могут быть чрезмерный спрос (инфляция спроса) или опережающий рост заработков и цен на материалы и комплектующие (инфляция издержек). Инфляция может стимулироваться неоправданно низким курсом национальной валюты (бегство от дешевых денег) или неоправданным снятием ограничений на регулируемые цены так называемых ценообразующих товаров (топливо, сельскохозяйственное сырье). Стимулируют инфляцию и дефицит госбюджета, и монополизм поставщиков и производителей. Практически же действует не одна, а комплекс причин и взаимосвязанных факторов. Поэтому и методы борьбы с инфляционным процессом обычно носят комплексный характер, постоянно уточняются, и корректируются. Управление инфляцией в условиях реформируемой экономики Вполне очевидно, что управление инфляцией в условиях реформирования централизованной экономики предполагает использование как апробированных, так и нестандартных мер, учитывающих природу инфляции, ее причины, методы проявления. По сути дела, в наших условиях следует вести речь об особой форме инфляции, порождаемой конкретными условиями, противоречиями переходного периода. Следует признать, что ни в Венгрии, ни в России, ни в других странах, вставших на путь экономических преобразований, расчеты на быстрое укрощение стихии цен и пробуждение заинтересованности у производителей не оправдались. Запустить новую систему хозяйственного регулирования оказалось далеко не просто. Переход от одной системы к другой — от централизованно управляемой к основанной на действии рыночных сил — натолкнулся на беспрецедентные проблемы, которые не были предвидимы ни в деталях, ни в целом. Управлять инфляционным процессом в переходной экономике оказалось необычайно трудно. Возник новый тип инфляции, который не отвечает привычным оценкам и слабо реагирует на традиционные методы воздействия. В случае затяжного инфляционного «заболевания» складывается ситуация своего рода консервации инфляционного климата, негативного или непредвиденного реагирования на попытки вывести экономику из состояния инфляционного шока. Применительно к России (на начальном этапе экономической реформы) можно выделить следующие особенности хозяйственной ситуации. 1. Наличие общего структурного неравновесия и отсутствие конкурентной среды. Сжатие спроса на многие потребительские товары, происшедшее в результате отпуска цен, само по себе не ведет к конкуренции между производителями. 2. Ценовые перекосы и диспропорции не устранены в ходе либерализации
цен. Свободные цены пока еще не стали ценами равновесия и не работают на улучшение производственной структуры. В наиболее сложном положении в результате непредвиденных скачков цен оказались отрасли, которые призваны непосредственно обеспечивать потребительский рынок: легкая и пищевая промышленность, машиностроение. Новые цены не всегда согласуются с изменениями в структуре потребительского спроса.3. Сохраняется давление внешнего долга, резко сужающего маневр валютными ресурсами. Практически отсутствуют страховые фонды — материальные и финансовые. Результативность макроэкономической политики зависит от последовательности ее реализации и взаимодействия многих факторов. Например, то, что допустимо при сбалансированном рынке, оказывается, бесполезным и даже вредным при рынке несбалансированном, не обладающем должной инфраструктурой. Серьезной проблемой для России становится сокращение расходных статей государственного бюджета, что ведет к развалу социальной сферы, свертыванию капитальных вложений, порождает новые, трудновыполнимые проблемы. Не просчитанные в деталях и не обеспеченные ресурсно и организационно меры таят опасность резкой дифференциации доходов. Отмеченные мною здесь некоторые особенности напоминают об ограниченности пространства для маневрирования, о неправомерности применения некоторых стандартных рецептов сдерживания инфляции. Это сложившаяся в стране ситуация предполагает весьма осторожные, тщательно взвешенные меры, скажем, по регулированию курса национальной валюты, по регулированию темпов инфляции.
14)Цикличность экономического развития и ее причины. Экономический рост — это не плавный, равномерно совершающийся подъём. В движении общественного производства есть годы, когда рост общего объема производства происходит очень быстро, в другие годы — медленнее, иногда происходит даже спад. Регулярно повторяющиеся за определенный промежуток времени колебания в движении общественного производства означают «циклический» характер его развития. Диапазон единичного цикла охватывает движение экономики от одного кризиса к другому, или, считая иначе, от одной точки взлета («бума») к другой. Причины таких колебаний в ходе экономического развития объясняют по-разному. Одни экономисты (, Д. Рикардо и другие) вообще отрицали возможность всеобщих экономических кризисов; частичные же кризисы перепроизводства объясняли нарушением пропорциональности между различными отраслями производства, которая восстанавливается самим ходом движения
рыночной экономики. Другая группа экономистов (Дж. Кейнс, Э. Хансен) объясняют кризисы перепроизводства недостаточной склонностью к потреблению, которая отстает от роста доходов, поэтому выход из кризисов видят в стимулировании совокупного спроса. Наконец, ряд экономистов усматривают причину кризисов в недостатках кредитно-денежной политики. Как видим, назвать единственную причину циклического хода движения
рыночной экономики оказывается весьма трудным делом. Поэтому многие современные экономисты ограничиваются общим указанием на то, что причина циклического движения заложена в сложном и противоречивом характере многообразных сил и факторов, оказывающих воздействие на движение рыночной экономики. Современное государство располагает целым набором экономических инструментов, способных сдержать «перегрев» экономики или придать ускоряющие импульсы на фазе депрессии. В этих целях гибко используется налоговая система: повышая или понижая ставки налога на прибыль (на добавленную стоимость), государство стимулирует (или, наоборот, сдерживает) деловую активность в определенных сферах деятельности. А используя систему льгот, можно осуществлять целенаправленное воздействие на конкретные группы предприятий. В тех же целях используется кредитная политика — понижая или повышая учетную ставку процента, можно повышать интерес к дополнительным вложениям капитала или сводить их на нет. Большой вклад в развитие производства и сглаживание цикличности вносит бюджетная политика государства. Так, финансирование за счет бюджета крупных программ развития (например, производственной инфраструктуры) создает общие предпосылки для развития бизнеса в необходимых обществу сферах деятельности. Пример США показывает, какое влияние на экономику оказала осуществлявшаяся здесь в 60-е годы крупномасштабная программа дорожного строительства, давшая толчок развитию многих связанных с этим отраслей, —
автомобилестроению, металлургии, машиностроению (с полным основанием и законной гордостью американцы изображают на рекламных плакатах дороги с катящимся по ним долларом — как символ высокой прибыльности и экономического прогресса). В циклах деловой активности выделяются четыре относительно чётко различимые фазы: пик, спад, дно (или «низшая точка») и подъём; но в наибольшей степени эти фазы характерны для циклов Жюгляра[1]. Бизнес-циклы в экономике Подъём наступает после достижения низшей точки цикла (дна). Характеризуется постепенным ростом занятости и производства. Многие экономисты полагают, что данной стадии присущи невысокие темпы инфляции. Происходит внедрение инноваций в экономике с коротким сроком окупаемости. Реализуется спрос, отложенный во время предыдущего спада. Пик, или вершина цикла деловой активности, является «высшей точкой» экономического подъема. В этой фазе безработица обычно достигает самого низкого уровня либо исчезает совсем, производственные мощности работают с максимальной или близкой к ней нагрузкой, то есть в производстве задействуются практически все имеющиеся в стране материальные и трудовые ресурсы. Обычно, хотя и не всегда, во время пиков усиливается инфляция. Постепенное насыщение рынков усиливает конкуренцию, что снижает норму прибыли и увеличивает средний срок окупаемости. Возрастает потребность в долгосрочном кредитовании с постепенным снижением возможностей погашения кредитов. Спад (рецессия) характеризуется сокращением объёмов производства и снижением деловой и инвестиционной активности. Вследствие падения конъюнктуры спад обычно сопровождается ростом безработицы и падением загрузки производственных мощностей. Официально фазой экономического спада, или рецессией, считают ситуацию падения деловой активности, которая продолжается свыше трёх месяцев подряд. Дно (депрессия) экономического цикла — это «низшая точка» производства и занятости. Считается, что данная фаза цикла обычно не бывает продолжительной. Однако история знает и исключения из этого правила. Великая депрессия 1930-х годов, несмотря на периодические колебания деловой активности, длилась почти десять лет. Понятие стабилизационной политики Стабилизационная политика направлена на восстановление и поддержание макроэкономического равновесия на уровне, близком к полному использованию факторов производства в условиях стабильного уровня цен. Эта политика обычно связана с воздействием на совокупный спрос как более динамичный компонент макроэкономического равновесия, регулируя который, можно достаточно быстро вернуть экономику к полной занятости и обеспечить равновесие, по крайней мере, в краткосрочном периоде. Такое воздействие осуществляется с помощью инструментов денежно-кредитной и бюджетно-налоговой политики.
15) циклы Кондратьева (К-циклы или К-волны) — периодические циклы современной мировой экономики продолжительностью 40-60 лет. Соотношение между кондратьевскими волнами и технологическим укладами 1-й цикл — текстильные фабрики, промышленное использование каменного угля. 2-й цикл — угледобыча и черная металлургия, железнодорожное строительство, паровой двигатель. 3-й цикл — тяжелое машиностроение, электроэнергетика, неорганическая химия, производство стали и электрических двигателей. 4-й цикл — производство автомобилей и других машин, химической промышленности, нефтепереработки и двигателей внутреннего сгорания, массовое производство. 5-й цикл — развитие электроники, робототехники, вычислительной, лазерной и телекоммуникационной техники. 6-й цикл — возможно, NBIC-конвергенция (конвергенция нано -, био -, информационных и когнитивных технологий) Хотя Кондратьевым был рассмотрен период длиной 140 лет (всего 2.5 длины волны большого цикла), он делает вывод (как уже было отмечено выше), что наличие таких циклов весьма вероятно, и их существование не может быть объяснено случайными величинами. По его мнению, их причины необходимо искать в особенностях, присущих капиталистической системе хозяйства. Однако при построении объяснения причин наличия таких циклов он встретился с очень большими трудностями. Его гипотезу о причинах этих циклов есть смысл привести целиком [1]. «Длительность функционирования различных созданных хозяйственных благ и производительных сил различна. Равным образом для их создания требуется различное время и различные средства. Как правило, наиболее длительный период функционирования имеют основные виды производительных сил. Они же требуют наибольшего времени и наибольших аккумулированных средств для их создания. Отсюда необходимость для экономики понятия о различных видах равновесия применительно к различным периодам времени… Большие циклы можно рассматривать как нарушение и восстановление экономического равновесия длительного периода. Основная их причина лежит в механизме накопления, аккумулирования и рассеяния капитала, достаточного для создания новых основных производительных сил. Однако действие этой основной причины усиливает действие вторичных факторов. В соответствии с изложенным развитие большого цикла получает следующее освещение. Начало подъема совпадает с моментом, когда накопление и аккумулирование капитала достигает такого напряжения, при котором становится возможным рентабельное инвестирование капитала в целях создания основных производительных сил и радикального переоборудования техники. Начавшееся повышение темпа хозяйственной жизни, осложненное промышленно-капиталистическими циклами средней длительности, вызывает обострение социальной борьбы, борьбы за рынок и внешние конфликты. В этот период темп накопления капитала ослабевает и усиливается процесс рассеяния свободного капитала. Усиление действия этих факторов вызывает перелом темпа экономического развития и его замедление. Так как действие указанных факторов сильнее в промышленности, то перелом обычно совпадает с началом длительной сельскохозяйственной депрессии. Понижение темпа сельскохозяйственной жизни обусловливает, с одной стороны, усиление поисков в области усовершенствования техники, с другой - восстанавливает процесс аккумулирования в руках финансово-промышленных и других групп в значительной мере за счет сельского хозяйства. Все это создает предпосылки для нового подъема большого цикла, и он повторяется снова, хотя и на новой ступени развития производительных сил».
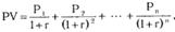
16) Финансовый рынок — это совокупность рынка денег и рынка ценных бумаг. На этом рынке происходит перераспределение капитала между кредиторами (сберегателями) и заемщиками (инвесторами). Поскольку в рыночной экономике большинство сбережений осуществляется домохозяйствами, а большинство инвестиций — фирмами, назначение финансового рынка состоит в трансформации сбережений в инвестиции. Финансирование инвестиций за счет сбережений осуществляется: На рынке ценных бумаг — через каналы прямого финансирования (продажу акций и облигаций домохозяйствам — сберегателям). На рынке денег — через каналы косвенного финансирования с помощью финансовых посредников-банков, пенсионных фондов, страховых компаний. На рынке денег происходят сделки между банковской системой, с одной стороны, и домохозяйствами и фирмами — с другой. При помощи финансовых посредников денежные средства домохозяйств аккумулируются а затем предоставляются фирмам для финансирования инвестиционных проектов. На финансовом рынке устанавливается равновесие, если S + ΔM = I где S — сбережения, ΔM — прирост денежной массы, I — инвестиции. На рынке ценных бумаг сбережения превращаются в инвестиции. Под ценной бумагой понимается финансовый документ, дающий право владельцу на получение в будущем денежной наличности. Это акции, облигации, чеки, депозитные сертификаты, казначейские обязательства и др. Акция — вид ценных бумаг, свидетельствующий о внесении определенной суммы денег в капитал акционерного общества и дающий право ее владельцу на получение части прибыли-дивиденда, на участие в управлении производством и распределении остатков имущества при ликвидации акционерного общества. Акция эмитируется акционерным обществом и отражает долю инвестора в уставном фонде общества. Облигация — ценная бумага, удостоверяющая отношения займа между ее владельцем (кредитором) и лицом, выпустившим облигацию (должником). Облигация представляет собой обязательство эмитента (государства, местных органов самоуправления, предприятий, различных фондов) выплачивать ее владельцу в течение определенного времени фиксированный процент, а по наступлении срока выплаты погасить свой долг по облигации. Процент по облигации, как правило, не превышает процент по банковскому кредиту. Существуют два вида рынка ценных бумаг: первичный и вторичный. На первичном рынке происходит эмиссия и первичное размещение (продажа) ценных бумаг эмитентом по номинальной цене, т. е. цене, обозначенной на акции. На вторичном рынке происходит обращение ранее выпущенных ценных бумаг. 3десь и определяется их рыночная (курсовая) цена, по которой ценные бумаги продаются. При определении курсовой цены учитываются размер и периодичность выплат, длительность обращения, цена гашения, процентная ставка. Рыночную стоимость облигации составит ее текущая (дисконтированная) стоимость (PV). где PV — стоимость облигаций, r — процентная ставка. Если процентная ставка r понижается, цена облигации повышается, и наоборот. На рынке денег осуществляется купля-продажа денег. Особенность денежного рынка состоит в том, что деньги обмениваются на другие более или менее ликвидные активы. Главная особенность денег состоит в их высокой ликвидности, т. е. способности использования в качестве средства платежа при сохранении номинальной стоимости.
17) Важнейшим количественным показателем денежного обращения является денежная масса, представляющая собой совокупный объем покупательных и платежных средств, обслуживающих хозяйственный оборот и принадлежащих частным лицам, предприятиям и государству. Но измерение количества денег весьма непростое дело. Проблема в том, что разнообразие форм вложений финансовых средств достигло такой степени, что переход от собственно денег (банкноты, вклады до востребования) к ликвидным формам их размещения (сберегательные вклады) или к полуликвидным формам (например, срочные вклады) совершается незаметно. Различные виды; активов одновременно в топ или иной степени выполняют функции денег. В результате граница между деньгами и неденежными авуарами не такая четкая, как раньше. Само понятие “денежная масса” имеет двоякое значение, оно означает как совокупность платежных средств, выпущенных банковской системой, так и общую сумму наличности во владении частных лиц, предприятий и организаций. В статистике развитых стран учитывается первый аспект денежной массы, поскольку она определяется объемом денежных средств в пассивах Центрального банка и депозитных банков. Экономисты, напротив, принимают во внимание, прежде всего второй аспект, поскольку общая сумма наличности и способы ее использования оказывают сильное влияние на денежное равновесие в данный момент. Оптимальные размер денежной массы во многом определяются интенсивностью использования денег в платежном обороте или скоростью обращения денег. В промышленно развитых стропах в основном исчисляются два показателя скорости оборота денег - показатели интенсификации движения денег при функционировании их в качестве средства обращения и платежа:1)показатель скорости обращения в кругообороте доходов и продуктов – это отношение реального валового национального продукта (национального дохода) к денежной массе, а именно к средним размерам М1 или М2. Этот показатель раскрывает взаимосвязь между денежным обращением и процессами экономического развития; 2) показатель оборачиваемости денег в платежном обороте - отношение суммы переведенных средств по банковским текущим счетам к средней величине денежной массы. При сравнении показателей скорости обращения денег по странам можно заметить довольно существенные расхождения: так, в Японии, Франции, Италии денежная единица за год оборачивается в процессе производства и обращения конечного продукта в среднем от 2 до 4 раз, тогда как в США, Германии, Великобритании - 5-6 раз. Эти расхождения отражают не только различия в классификации рассматриваемых денежных агрегатов, но и неодинаковые формы хранения сбережении и методы „управления наличностью” и определяются действием ряда факторов: 1). общеэкономических (степенью развития экономики, темпами экономического роста, движением цен); 2). чисто монетарных (структуры платежного оборота, развития кредитных операций, взаимных расчетов, уровня процентных ставок на денежном рынке). Банкноты, монеты и средства депозитных учреждении США на резервных счетах в центральном банке образуют денежную базу или деньги повышенной мощности. Причем прирост монетарной базы на 1 доллар влечет за собой мультиплицирующее увеличение денежной массы М1 на 2,4 доллара. Регулирование суммы денег повышенной мощности позволяет воздействовать не на один компонент денежной массы, а в целом на масштабы денежного обращения.
18) Денежный рынок — это рынок денежных средств, на котором в результате взаимодействия спроса на деньги и предложения денег устанавливается равновесное значение количества денег и равновесная ставка процента. На денежном рынке деньги «не продаются» и «не покупаются» подобно другим товарам. В этом специфика денежного рынка. При сделках на денежном рынке деньги обмениваются на другие ликвидные (быстро реализуемые) средства по альтернативной стоимости, измеренной в единицах номинальной нормы процента. Таким образом, уровень процентной ставки выступает как бы «ценой» денег. Денежный рынок — это часть финансового рынка. Финансовый рынок разделяется на денежный рынок и рынок капиталов. Под денежным рынком понимается рынок краткосрочных кредитных операций (до одного года). В свою очередь, денежный рынок подразделяется обычно на учетный, межбанковский и валютный рынки (рис. 16.1). ^учетному рынку относят тот, на котором основными инструментами являются казначейские и коммерческие векселя, другие виды краткосрочных обязательств (ценные бумаги). Межбанковский рынок — часть рынка ссудных капиталов, где временно свободные денежные ресурсы кредитных учреждений привлекаются и размещаются банками между собой, преимущественно в форме межбанковских депозитов на короткие сроки. Валютные рынки обслуживают международный платежный оборот, связанный с оплатой денежных обязательств юридических и физических лиц разных стран. Здесь происходит купля и продажа валют на основе спроса и предложения (в силу отсутствия общепринятого для всех стран платежного средства). Рынок капитала охватывает средне - и долгосрочные кредиты, а также акции и облигации. Он подразделяется на рынок ценных бумаг (средне - и долгосрочных) и рынок средне - и долгосрочных банковских кредитов. В отличие от денежного рынка, где реализуются высоко ликвидные средства для удовлетворения краткосрочных потребностей, на рынке капиталов удовлетворяются долгосрочные потребности в финансовых ресурсах. Финансовый рынок можно рассматривать и как совокупность первичного и вторичного рынков, а также делить на национальный и международный. Первичный рынок возникает в момент эмиссии ценных бумаг, на нем мобилизуются финансовые ресурсы. На вторичном рынке эти ресурсы перераспределяются, и даже не один раз. В свою очередь, вторичный рынок подразделяется на биржевой и небиржевой. На последнем происходит купля-продажа ценных бумаг, по каким-либо причинам не котирующихся на бирже (например, через банки). Функционирование механизма денежного рынка (важнейшими элементами которого являются спрос и предложение денег) находится под влиянием общего состояния экономики, что проявляется в состоянии денежной системы. Денежная система — это исторически сложившаяся в каждой стране и законодательно установленная форма организации денежного обращения. В зависимости от вида обращающихся денег выделяются два типа систем денежного обращения: • металлические деньги, когда обращаются полноценные золотые и серебряные монеты, а кредитные деньги свободно обмениваются на денежные слитки или монеты; • кредитные и бумажные деньги, когда золото вытеснено из обращения, и поэтому кредитные и бумажные деньги не обмениваются на золото. Современное денежное обращение представляет собой совокупность денежных средств в безналичной и наличной формах. Спрос на деньги Спрос на деньги определяется величиной денежных средств, которые хозяйственные агенты хотят использовать как платежные средства. Спрос на деньги не тождествен спросу на денежный доход. Он показывает, какую часть своего дохода экономические субъекты предпочитают хранить в наиболее ликвидной форме — виде наличных денег (денежной кассы). Спрос на деньги представляет собой спрос на запас денег, измеренный в определенный момент времени. Спрос на деньги формируется во всех секторах экономики. В экономической литературе выделились две основные концепции спроса на деньги: неоклассическая (монетаристская) и кейнси-анская. Монетаристская теория спроса на деньги основывается на неоклассических традициях и унаследовала основные постулаты количественной теории денег, возникшей еще в XVIII в. и безраздельно господствовавшей в экономической науке до 30—40-х годов. Основной постулат количественной теории заключается в следующем: абсолютный уровень цен определяется предложением номинальных денежных остатков. Иными словами — чем больше предложение денег, тем выше уровень цен, и наоборот. Современная трактовка количественной теории основана на понятии скорости обращения денег в движении доходов, которая определяется как P-Y У=М где М — количество денег в обращении; V — скорость обращения денег; Р—абсолютный уровень цен; 7—реальный объем производства. Если преобразовать формулу этого уравнения следующим образом: М —-----, то мы увидим, что количество денег, находящихся в обращении, равно отношению номинального дохода к скорости обращения денег. Если заменить М в левой части уравнения на параметр Md — P-Y величину спроса на деньги, то получим Md =-----. Из этого уравнения следует, что величина спроса на деньги зависит от следующих факторов: • абсолютного уровня цен. При прочих равных условиях, чем выше уровень цен, тем выше спрос на деньги, и наоборот; • уровня реального объема производства. По мере его роста повышаются и реальные доходы населения, а значит, людям потребуется больше денег, так как наличие более высоких реальных доходов подразумевает и рост объема сделок; • скорости обращения денег. Соответственно все факторы, влияющие на скорость обращения денег, будут влиять и на спрос на деньги. Кейнсианская теория спроса на деньги Дж. М. Кейнс рассматривал деньги как один из типов богатства и считал, что та часть активов, которую население и фирмы желают хранить в форме денег, зависит от того, насколько высоко они ценят свойство ликвидности. Кейнс назвал свою теорию спроса на деньги теорией предпочтения ликвидности. Как считал Кейнс, три причины побуждают людей хранить часть их богатств в форме денег: 1) для использования денег в качестве средств платежа (трансакци-онный мотив хранения денег); 2) для обеспечения в будущем возможности распоряжаться определенной частью своих ресурсов в форме наличных денег (мотив предосторожности); 3) спекулятивный мотив — мотив хранения денег, возникающий из желания избежать потерь капитала, вызываемых хранением активов в форме облигаций в периоды ожидаемого повышения норм ссудного процента. Именно этот мотив формирует обратную связь между величиной спроса на деньги и нормой процента. Современная теория спроса на деньги отличается от теоретической модели Дж. Кейнса следующими особенностями: 1. Она рассматривает более широкий диапазон активов, помимо беспроцентного хранения денег и долгосрочных облигаций. Вкладчики могут обладать портфелями как с приносящими процент формами денег, так и с беспроцентными формами денег. Помимо этого они должны обладать иными видами ликвидных активов: средствами на сберегательных и срочных счетах, краткосрочными ценными бумагами, облигациями и акциями корпораций и т. п. 2. Современная теория отвергает разделение спроса на деньги на основании трансакционных, спекулятивных мотивов и мотива предосторожности. Процентная ставка проявляется как спрос на деньги, но лишь вследствие того, что норма процента представляет собой альтернативную стоимость хранения денег. 3. Современная теория рассматривает богатство как основной фактор спроса на деньги. 4. Современная теория включает в себя и другие условия, влияющие на желание населения и фирм предпочесть ликвидный актив, например, изменения в ожиданиях: при пессимистическом прогнозе на будущую конъюнктуру величина спроса на деньги упадет. 5. Современная теория учитывает наличие инфляции и четко разграничивает такие понятия, как реальный и номинальный доход, реальная и номинальная ставка процента, реальные и номинальные /величины денежной массы. Спрос на деньги для приобретения прочих финансовых активов определяется стремлением получить доход в форме дивидендов или процентов и изменяется обратно пропорционально уровню процентной ставки. Эта зависимость отражается кривой спроса на деньги (Md) Кривая общего спроса на деньги (Md) обозначает общее количество денег, которое население и фирмы хотят иметь для сделок и приобретения акций и облигаций при каждой возможной величине процентной ставки. По вертикали откладываются ставки процента, по горизонтали — спрос на деньги. В точке А процентная ставка равна 10 ед., а спрос на деньги 100 ед., в точке В процентная ставка уменьшилась до 5 ед., спрос на деньги возрос до 200 ед. Предложение денег и денежный мультипликатор Под предложением денег обычно понимают денежную массу в обращении, т. е. совокупность платежных средств, обращающихся в стране в данный момент. Предложение денег в экономике регулируется в основном центральным банком, а также в определенных случаях в незначительной мере зависит и от поведения населения и от поведения крупных коммерческих финансовых структур. Многообразие денежных средств, функционирующих в современной экономике, порождает проблему измерения денежной массы. Денежная масса — совокупность всех денежных средств, находящихся в наличной и безналичной формах, обеспечивающая обращение товаров и услуг в народном хозяйстве. В структуре денежной массы выделяется активная часть, к которой относятся денежные средства, реально обслуживающие хозяйственный оборот, и пассивная часть, включающая денежные накопления, остатки на счетах, которые потенциально могут служить расчетными средствами. Особое место в структуре денежной массы занимают так называемые квазиденьги (от лат. как будто, почти), т. е. денежные средства на срочных счетах, сберегательных вкладах, в депозитных сертификатах, в акциях инвестиционных фондов, которые вкладывают средства только в краткосрочные денежные обязательства. Совокупность наличных денег (металлические деньги и банкноты) и денег безналичных расчетов в центральном банке (бессрочные вклады) составляют деньги центрального банка. Их называют также монетарной или денежной базой, так как они определяют суммарную денежную массу в народном хозяйстве. Для характеристики денежного предложения применяются различные обобщающие показатели, или так называемые денежные агрегаты. К ним обычно относятся следующие:1. Агрегат Ml — «деньги для сделок» — это показатель, предназначенный для измерения объема фактических средств обращения. Он включает наличные деньги (банкноты и разменные монеты) и банковские деньги. 2. Агрегаты М2 и МЗ включают, кроме Ml, денежные средства на сберегательных и срочных счетах, а также депозитные сертификаты. Эти средства не являются деньгами, поскольку их невозможно непосредственно использовать для сделок купли-продажи, а их изъятие подчинено определенным условиям, однако они сходны с деньгами в двух отношениях: с одной стороны, они могут быть в короткие сроки выброшены на рынок товаров и услуг, с другой — позволяют осуществлять накопление денег. Не случайно их называют «почти деньгами». 3. Наиболее полные агрегаты денежного предложения — L и D; I наряду с МЗ включает прочие ликвидные (легкореализуемые) активы, такие как краткосрочные государственные ценные бумаги. Они называются ликвидными, так как без особых трудностей могут быть превращены в наличность. Агрегат D включает как все ликвидные средства, так и закладные, облигации и другие аналогичные кредитные инструменты. Агрегаты МЗ, LuD более четко отражают тенденции в развитии экономики, чем Ml: резкие изменения в этих агрегатах часто сигнализируют об аналогичных изменениях в ВНП. Так, быстрый рост денежной массы и кредита сопровождает период подъема, а их сокращение часто сопровождается спадами. Однако большинство экономистов предпочитают использовать агрегат Ml, так как он включает активы, непосредственно используемые в качестве средства обращения. Мы также в дальнейшем будем понимать под предложением денег агрегат Ml. Кривая предложения денег (рис. 16.3) отражает зависимость количества денег в обращении от уровня процентной ставки (при неизменной денежной базе). Различают кратко - и долгосрочную кривую предложения денег. Для агрегата Ml краткосрочная кривая предложения денег является вертикальной линией, так как денежный мультипликатор стабилен и не зависит от процентной ставки. Для других агрегатов (М2, МЗ) она представлена наклонной линией. Долгосрочная кривая предложения денег отражает зависимость денежной массы от изменения процентной ставки при изменениях спроса на деньги. Вид кривой предложения денег зависит от тактических целей денежно-кредитной политики, проводимой центральным банком. Кривая предложения имеет вертикальный вид тогда, когда центральный банк реализует цель поддержания количества денег на постоянном уровне и уверенно контролирует количество денег в обращении независимо от колебания процентной ставки. Она представлена на графике рис. 16.3, а: по оси абсцисс откладывается величина предложения денег (Ms), а по оси ординат — процентная ставка (/-). Такая ситуация характерна для жесткой монетарной политики, направленной на сдерживание инфляции. Для этого используются такие инструменты, как изменение нормы обязательных резервов и операции на открытом рынке. Кривая предложения денег имеет горизонтальный вид тогда, когда целью монетарной политики является сохранение стабильным номинального размера ссудного процента (рис. 16.3,6). Достигается это путем фиксации учетной ставки центрального банка и привязки к ней ставок коммерческих банков, а также с помощью операций на открытом рынке. Такая политика называется мягкой (гибкой) монетарной политикой. Обычно она используется в тех случаях, когда изменение спроса на деньги вызывается, например, ростом скорости обращения денег. В этом случае удается избежать кризиса неплатежей. Кривая предложения денег имеет наклонный вид тогда, когда центральный банк допускает определенное увеличение количества денег, находящихся в обращении, и соответственно номинальной ставки процента (рис. 16.3, в). Как правило, это имеет место, когда центральный банк сохраняет постоянной норму обязательных резервов, но не проводит операций на открытом рынке. Данная политика (комбинированная) обычно применяется, когда изменения спроса на деньги обусловлены колебаниями ВВП. Предложение денег может характеризоваться двумя переменными: номинальным количеством денег в стране или реальным. Последние называют еще реальными кассовыми остатками (Мр). Они характеризуют покупательную способность денег, т. е. отношение номинальной массы денег (М„) к уровню цен: Мр—Мп/Р, Покупательная способность денег — это количество товаров и услуг, которые можно купить на денежную единицу. При увеличении уровня цен покупательная способность денег снижается, и наоборот. Таким образом, соотношение денежной массы и массы товаров и услуг на рынке определяет покупательную способность денег. Динамика предложения денег. может быть охарактеризована с помощью денежного и других мультипликаторов. Денежный мультипликатор — это отношение предложения денег к денежной базе. т =MB =т-МВ, Ые т — денежный мультипликатор; Ms — предложение денег; МБ — Денежная база. Денежная база (деньги повышенной мощности, резервные день-•и) — это наличность вне банковской системы, а также резервы ком-крческих банков, хранящиеся в центральном банке. Наличность яв-шется непосредственной частью предложения денег, тогда как банковские резервы влияют на способность банков создавать новые депозиты, увеличивая предложение денег. MB = С + R, где С — наличность; R — резервы; Ms = С + D, где D — депозиты до востребования. Денежный мультипликатор показывает, насколько увеличится предложение денег (количество денег в стране) при увеличении денежной базы на единицу. Кроме денежного мультипликатора, можно использовать депозитный и кредитный мультипликаторы. Депозитный мультипликатор показывает, насколько максимально могут возрасти депозиты в коммерческих банках при увеличении денежной базы на единицу. Кредитный мультипликатор показывает, насколько максимально может увеличиться сумма банковских кредитов населению при увеличении денежной базы на единицу. Равновесие на денежном рынке Предложение и спрос на деньги определяют в основном объем и конъюнктуру денежного рынка. Равновесие на денежном рынке устанавливается в процессе взаимодействия спроса на деньги и предложения денег и характеризуется таким состоянием рынка, при котором объем спроса на деньги равен объему предложения денег. Равновесие на денежном рынке означает равенство количества денег, которое экономические агенты хотят иметь в портфеле своих активов, количеству денег, предлагаемому банковской системой в условиях проведения данной денежно-кредитной политики. Макроэкономическая модель денежного рынка в представлении неоклассиков основывается на том, что совокупный спрос на деньги — это функция уровня денежного дохода (PY), a предложение денег является экзогенно фиксированной величиной, т. е. устанавливается автономно, независимо от спроса на деньги. На рисунке отображена зависимость спроса на деньги Md от уровня цен (Р). Чем выше уровень цен, тем больший спрос предъявляется на деньги. Наклон кривой спроса на деньги зависит от уровня дохода (Y), который фиксирован в условиях полной занятости. Рост доходов вызывает большую эластичность спроса на деньги (чем до повышения доходов), о чем свидетельствует пологое положение кривой спроса. Кривая предложения денег Ms изображена вертикальной линией, так как эта величина не зависит от уровня цен. Неоклассическая модель денежного рынка находится в равновесном состоянии в точке пересечения кривых спроса и предложения денег, когда цены устанавливаются на уровне Ра. Если же общий уровень цен снизится до величины Рь, то возникнет избыточное предложение денег, равное MS-MS. В таком случае деньги начинают обесцениваться и происходит повышение цен, приближающее их к уровню Ра. Таким образом проявляется тенденция к поддержанию автоматического равновесия на рынке. В большинстве учебников по экономике процесс установления равновесия на рынке денег описывается графически с помощью типичных кривых спроса и предложения денег (рис. 16.5). Рассмотрим его действие на примере ограничительной денежно-кредитной политики, проводимой центральным банком. Кривая предложения денег (Ms) имеет форму вертикальной прямой при допущении, что центральный банк, контролирующий денежное предложение, стремится поддержать его на фиксированном уровне независимо от изменений номинальной процентной ставки. Кривая спроса на деньги имеет отрицательный угол наклона и представлена кривой Md. Равновесие находится в точке пересечения кривых спроса и предложения денег — точка Е. В данной точке получены равновесные значения МЕ (на оси абсцисс) и ГЕ (на оси ординат), выражающие соответствие количества денег, которое экономические субъекты хотят иметь, количеству денег, предоставляемому банковской системой при равновесной ставке процента. При заданном предложении денег, равном МЕ, равновесие достигается при значении процента, равного ГЕ. Если процентная ставка поднимется выше равновесного уровня, то произойдет увеличение альтернативной стоимости хранения денег. Спрос на деньги упадет до М1 (нарушение равновесия в т. А). Экономическим субъектам (коммерческим банкам, населению) станет выгоднее держать свои денежные средства в альтернативных активах, и они захотят вкладывать их, например, в покупку государственных облигаций. Возникнет излишек денег, от которых экономические агенты попытаются избавиться. При этом банковская система будет избавляться от излишних денег, скупая государственные ценные бумаги, цены на которые поднимутся. Рыночный механизм в конечном счете приведет к тому, что спрос и предложение денег не установятся на исходном равновесном уровне. При этом процентная ставка снизится с уровня гь до уровня ГЕ. Обращение денег не происходит стихийно - оно подчиняется определенным законам. Их знание позволяет оперативно реагировать на или иные изменения, принимать соответствующие решения и воздействовать на экономическое развитие. Эти правила обращения называются законами денежного обращения. Основной закон денежного обращения, формула которого была представлена К. Марксом, связывает цены, скорость обращения и количество денег:
|
Количество денег |
= |
Сумма цен |
/ |
Число оборотов денежных единиц |
Указанная формула в большей степени справедлива для золотого обращения. При обращении золота в качестве денег из-за ограниченности золотых запасов соотношение между количеством золота (монет) и товарами устанавливается стихийно, но относительно точно: избыток денег изымается из обращения и переходит в сферу накопления (сокровищ), а при недостатке монет их изъятая часть возвращается их сокровищ в обращение. Когда появляются кредитные деньги, происходит необеспеченная эмиссия. В этом случае неизбежно появление инфляции, т. е. обесценения денег из-за их возросшего количества. Необходимо отслеживать ту часть денежных обязательств, которые могут быть взаимно погашены без дополнительной эмиссии. Указанное выше уравнение принимает следующий вид: В количественной теории денег используется уравнение Фишера: M*V = P*Q. М – обращаемая денежная масса; V - скорость обращения денежной единицы; P –средний уровень цен; Q –количество товаров и услуг. Этот закон называют законом бумажно-денежного обращения. Поскольку количество денег теперь может возрастать неограниченно, роль государства в денежном регулировании колоссальна. Одним из видов регулирования является поддержание структуры и объема денежной массы - совокупной покупательной способности денежных средств.
19) Государственные финансы — форма организации денежных отношений, участником которых в той или иной форме выступает государство. Функции государственных финансов Государственные финансы представляют собой часть финансовой системы, в той ее части, которая относится к централизованным (публичным) финансам. Главное назначение государственных финансов - обеспечить формирование и использование финансовых ресурсов у государства, необходимых для реализации его функций. Государственным финансам, также как и другим категориям финансов присущи функции: распределительная контрольная регулирующая Государственный бюджет - это роспись (смета, баланс) Денежных доходов и расходов государства.
Роль бюджета в развитии национальной экономики неоднозначна на разных периодах истории. При этом достаточно четко выделяются два этапа.
В эпоху классического капитализма государство, как известно, не вмешивалось активно в хозяйственную деятельность. Примечательно, что в ведущих странах через государственный бюджет перераспределялось от 9 до 18% национального дохода. Во второй половине XX в. бюджет превратился в мощный регулятор макроэкономики. Через бюджет западных государств ныне перераспределяется от 1/3 до 1/2 ВНП. Уровень налогов и расходов позволяет бюджету играть значительную роль в обеспечении экономического роста и занятости работников. Путем изменения уровня расходов и налогообложения правительства могут регулировать объем совокупного спроса (величину потребительских и инвестиционных расходов). В связи с этим различают экспансивную (расширительную) и рестриктивную (ограничительную) бюджетную политику Первая из них выражается в увеличении расходов и снижении уровня налогообложения, что позволяет легче преодолевать экономические кризисы и ускорять экономический рост. Вторая означает уменьшение расходов и повышение налогов, что помогает ослабить инфляцию и нормализовать хозяйственную конъюнктуру Эти два вида государственных мер не могут дать надлежащего эффекта, если не увязываются с соответствующими переменами в кредитно-денежной сфере. Когда экспансивная политика не сопровождается уменьшением объема денежной эмиссии и кредита, то это усиливает инфляцию. В свою очередь, если рестриктивная политика сочетается с жесткими ограничениями объема денежных средств, то это может вызвать экономический кризис. Бюджетный механизм служит важным инструментом долгосрочной структурной политики. Он используется для более быстрого развития наукоемких производств, научно-технических перемен в национальном хозяйстве, подъема отстающих в экономическом отношении регионов. Возросшая регулирующая роль бюджета дала основание рассматривать его в качестве плана финансового хозяйства, который служит средством достижения экономической стабильности и выполняет функции встроенного стабилизатора. Такое назначение бюджетного механизма во многом зависит от источников, характера формирования его доходной части и направленности расходов. Подавляющая часть всех доходов бюджета западных государств образуется за счет налогов (90% поступлений на центральном и 70% - на местном уровне). Через налоговый механизм в бюджет направляется от 30% валового национального продукта в США и Японии, до 40-50% - в Германии, Франции, Швеции. Доходная часть бюджета образуется за счет следующих основных видов поступлений: подоходного налога, налога на корпорации, взносов на социальное страхование, акцизов, налогов на предметы потребления. Среди этих поступлений ведущее место занимает индивидуальный подоходный налог (от 1/4 до 1/2 всех поступлений в бюджет). При этом личные доходы граждан облагаются независимо от источников получения (заработная плата, жалованье, предпринимательская прибыль, процент, дивиденд, рента, гонорары и т. п.), которые уменьшаются на сумму законодательно разрешенных скидок и вычетов. Подоходный налог подсчитывается по прогрессивной шкале ставок. Начиная с установленной суммы, освобожденной от налогообложения, прирост дохода делится на части, из которых каждая последующая облагается по более высокой ставке. Количество таких ступеней колеблется от 2 (США и Великобритания) до 14 (Франция) При этом размер минимальной налоговой ставки составляет от 10 до 25%, максимальной - от 28 до 70%. Налоги на прибыли компаний составляют важную часть поступлений в бюджет (до 20%). В большинстве западных стран в последние годы эта доля доходов имеет тенденцию к уменьшению. Налог на прибыль взимается с облагаемой прибыли предприятий, которая равняется валовой выручке от реализации за вычетом производственных и коммерческих издержек (включая заработную плату, проценты по банковскому кредиту, затраты на рекламу). Вычитаются также расходы, в соответствии с действующим законодательством полностью или частично освобождаемые от налогообложения: затраты на НИОКР, взносы в благотворительные фонды, налоги местным органам власти и т. д. Максимальная ставка налога на прибыль колеблется от 30 до 50%. В большинстве стран установлены пониженные ставки для мелких предприятий, чтобы стимулировать их деятельность. Прямые налоги на личные доходы граждан и на прибыль компаний обладают высоким коэффициентом эластичности, то есть зависимости между поступлениями от них в бюджет и колебаниями величины валового национального продукта. Этим обусловлена их роль как рычага централизованного воздействия на экономику. В последние годы возрастает значение взносов на социальное страхование. Их выплачивают лица, нанятые на работу (в процентах к валовому заработку) и предприятия (в процентах к общему фонду заработной платы). Поступления от компаний обычно превышают взносы трудящихся. Вместе с тем затраты фирм на эти цели включаются в производственные издержки, вследствие чего через механизм цен они перекладываются на покупателей. Существенную фискальную роль играют косвенные налога, которые включаются в цену товара и целиком оплачиваются покупателями. Среди них в США и Канаде ведущим является налог с оборота (облагается вся валовая выручка от реализации товаров и услуг); уровень налога колеблется от 2 до 10%. В западноевропейских странах и Японии от 14 до 19% составляет налог на добавленную стоимость (разница между валовой выручкой и суммой затрат на сырье, полуфабрикаты и услуги, полученные от поставщиков). К косвенным налогам относятся также акцизы. Ими облагаются главным образом алкогольные напитки, табачные изделия и бензин. Особой разновидностью косвенных налогов являются таможенные пошлины, доля поступлений от которых в большинстве стран незначительна. Отличительная особенность косвенных налогов - регрессивность, повышение их уровня в общей сумме дохода по мере уменьшения самого дохода. У малоимущих слоев населения эти налоги составляют более существенную долю дохода, чем у состоятельных граждан. В современных условиях продолжает действовать ряд традиционных налогов: а) с наследства и дарений и б) поимущественный, который взимается с оценочной стоимости земли, зданий, сооружений, индивидуальных домовладений. Такие специфические налоги не дают существенного фискального вклада. Второй составной частью бюджета являются расходы. Эта часть обеспечивает потребности правительства в финансовых ресурсах. Возрастание роли государства в регулировании макроэкономики выразилось в появлении во второй половине XX в. новых тенденций, в развитии функций государственного бюджета. Одна из них - обеспечение устойчивого экономического роста. В высокоразвитых странах через бюджет финансируется от 1/3 до 1/2 всех инвестиций в основной капитал. Обновлению технической базы производства способствуют возросшие государственные затраты на фундаментальные научные работы, прикладные исследования и разработки. Значительные суммы расходуются на кредиты, субсидии (денежные пособия) и дотации предпринимателям, которые участвуют в выполнении государственных программ экономического развития. Существенно увеличились объемы инвестиций в "человеческий капитал" (образование, повышение квалификации и переквалификацию рабочей силы). Важнейшая функция бюджета - увеличение объема совокупного спроса посредством государственных закупок товаров и услуг, в том числе и на военные цели. Бюджет выступает также как главный инструмент социальной политики государства. С его помощью проводится широкомасштабное перераспределение доходов в целях достижения большей социальной справедливости. Как известно, население западных стран уплачивает сравнительно большие налоги. Однако значительная их часть возвращается в виде трансфертных (лат. transferre - переносить) платежей, идущих на социальные нужды. Общая сумма налогов за вычетом социальных выплат населению может рассматриваться как чистые налоги. В среднем половина всех расходов центральных бюджетов на Западе идет на социально-экономические цели. Эти расходы подразделяются на две большие группы. Первая из них касается собственно социальных нужд (затраты на выплату пенсий, пособий, на здравоохранение, образование и подготовку кадров). Вторая группа предусматривает непосредственно экономические расходы (на энергетику, жилищное строительство, коммунальное хозяйство, региональное развитие, природные ресурсы и охрану окружающей среды, добывающую и обрабатывающую промышленность, сельское хозяйство, связь, транспорт и т. п.).Существенная доля бюджетных средств идет на прямые и косвенные военные расходы, в том числе экономическую и военную помощь зарубежным странам, затраты на космические и иные исследования в военной области, пенсии и пособия бывшим военнослужащим. Величина этих средств в ряде стран (США, Германии, Франции, Великобритании и др.) довольно велика. За последние три десятилетия наблюдаются существенные структурные сдвиги в расходной части центральных бюджетов высокоразвитых стран. Во-первых, замедлились темпы роста и соответственно снизился удельный вес расходов, связанных с обороной и управлением. Во-вторых, увеличился удельный вес затрат, касающихся благосостояния людей (на здравоохранение, образование, подготовку и переподготовку кадров, пенсионное обеспечение). Между тем многие экономисты предполагают, что в будущем могут возникнуть трудности с обеспечением расходов на социальные нужды. Сейчас пособия, выплачиваемые пенсионерам, финансируются из налогов, взимаемых с фонда заработной платы работающих. Однако в странах Запада сложилась неблагоприятная тенденция: абсолютно и относительно возрастает численность пожилых людей. Поэтому растущее число пенсионеров будет финансироваться уменьшающимся числом работников. В итоге государству придется решать задачу: либо повысить налоги на фонд оплаты труда работающих, либо снизить размеры пенсий, или же сделать и то и другое. Характерное для второй половины XX в. резкое возрастание экономической роли государства и огромное увеличение его расходов привело к хроническому бюджетному дефициту (превышению затрат над поступлениями).
20) Бюджетный дефицит Представляется несомненным, что нормальным состоянием всех видов бюджетов является равенство доходов и расходов. Об этом мы можем судить, скажем, по бюджету отдельного человека или семьи. Недаром по такому случаю говорится: "По одежке протягивают ножки".
Спрашивается, должен ли государственный бюджет быть ежегодно сбалансированным? Как это ни покажется парадоксальным, ответ будет отрицательным. Объясняется это главным образом тем, что государственный бюджет вынужден отражать циклическое движение экономики. Проводимая государством антициклическая фискальная политика имеет два разных результата в соотношении доходов и расходов в бюджете. Во время кризисного спада бюджет, естественно, имеет отрицательное сальдо (ит. saldo - расчет). То есть при бухгалтерском приравнивании доходов и расходов бюджет сводится с дефицитом - расходы значительно возрастают, что важно для преодоления кризиса, и превышают доходы. В период спекулятивного бума бюджет имеет положительное сальдо. Профицит - существенное превышение доходов над расходами - является следствием большого поступления налоговых платежей во время подъема производства. Изъятие значительной части доходов на фазе бума способствует снижению "перегрева" экономики. Отсюда видно, что если бюджет будет ежегодно строго сбалансирован, то государство не сможет проводить стабилизирующую политику, которая призвана "гасить" колебания. Более того, ежегодно уравновешенное соотношение доходов и расходов может усилить циклические колебания экономики. Так, во время кризиса совокупный спрос будет меньше требуемого. В период спекулятивного бума инфляция усилится. Значит, очевидно: ежегодно сбалансированный бюджет не является "нейтральным" по отношению к циклическим колебаниям; государственный бюджет целесообразно балансировать с положительным сальдо при буме и отрицательным - при спаде производства. Между тем типичен бюджет с отрицательным сальдо. Объясняется это прежде всего возрастанием роли государства в разных сферах жизни общества, увеличением численности государственных служащих, умножением расходов на военно-промышленный комплекс и др. В результате темпы затрат государства зачастую значительно превышают скорость увеличения ВНП. Государственный долг представляет собой задолженность, которая накопилась у правительства в результате заимствования денег для финансирования прошлых бюджетных дефицитов. В ряде случаев эта величина достигает поистине астрономических размеров, которую невозможно погасить. Так, в 1994г. в США величина государственного долга составила примерно 3200 млрд долл., или свыше 50 тыс. долл. на каждую семью. Не означает ли это, что государство с бюджетным дефицитом попадает в положение банкрота, не способного оплатить свои расходы? Нет, потому что оно имеет несколько источников для покрытия своего дефицита. К их числу относятся: печатание новых денег, что, разумеется, усиливает инфляцию; неналоговые поступления, например, доходы от иностранного туризма (в мире в целом они составляют 6% ВНП, в России менее 1%); внешний долг - международный кредит, получивший в современных условиях широкое развитие. Крупными должниками являются не только слаборазвитые, но и развитые страны. Так, в 80-е годы США повысили процентные ставки в банках, чтобы привлечь иностранные инвестиции и за этот счет финансировать бюджетный дефицит; внутренний долг - государственные ценные бумаги, продаваемые фирмам и населению. К их числу относятся государственные облигации (обязательство выплатить владельцу заимствованную у него сумму денег в будущем) и казначейские обязательства (краткосрочные - до одного года- казначейские векселя). Они обычно продаются со скидкой по сравнению с номинальной (обозначенной на бумаге) ценой, что образует доход владельца векселя, когда государство выкупает его обратно. Увеличение государственного долга имеет ряд отрицательных последствий. Этот долг составляет возрастающую часть ВНП. что уменьшает долю дохода, идущую на потребление и накопление. В бюджете выделяется все увеличивающаяся часть расходов для погашения процентов по внутреннему долгу (10-20% всех бюджетный затрат) Широкая продажа государственных ценных бумаг предприятиям и населению неизбежно ведет к повышению процентных ставок и к увеличению удельного веса государства на рынке ссудных капиталов. В итоге возникает так называемый "эффект вытеснения". С рынка ценных бумаг уходят иные продавцы, которые не могут дать покупателям ценных бумаг более надежные инвестиции.
21) Бюджетная политика – важнейший элемент экономической политики государства. Она включает в себя меры, осуществляемые государством, направленные на формирование государственного фонда средств, необходимого для обеспечения нормальной жизнедеятельности общества. В рыночной экономике госбюджет выполняет важные макроэкономические функции: обеспечение создания общественных благ; создание материальной базы для управления рыночными процессами с помощью государственного фонда средств; формирование основы для решения задач роста благосостояния населения, для решения социальных вопросов. Госбюджет построен на соотношении доходов и расходов. Теоретически наиболее оптимальным является бюджет, который предполагает нулевое сальдо. Однако, если экономика развивается, то она должна решать все большие по объему задачи и средств на их реализацию хватать не будет. Бюджетный дефицит – превышение расходов над доходами. Профицит бюджета – превышение доходов над расходами. Причины возникновения бюджетного дефицита: спад производства, выпуск «пустых» денег, значительные социальные программы, возрастание роли государства в различных сферах жизни, расширение его экономических и социальных функций. Способы покрытия бюджетного дефицита: государственные займы, ужесточение налогообложения, производство денег – сеньораж. В настоящее время сеньораж не означает печатание денег, так как это способствует росту инфляции, но реализуется посредством создания резервов коммерческих банков. Первоочередной задачей государственного сектора является стабилизация экономики, которая реализуется, как правило, средствами фискальной политики, т. е. через манипулирование государственными расходами (G) и налогообложением (T) с целью увеличения производства, занятости и снижения инфляции. Дискреционная фискальная политика – сознательное регулирование государством уровня налогообложения и государственных расходов с целью воздействия на реальный объем национального производства, занятость, инфляцию. При дискреционной фискальной политике в целях стимулирования совокупного спроса (AD) в период спада целенаправленно создается дефицит госбюджета вследствие увеличения G или снижения T. В период подъема создается бюджетный излишек. Государственные расходы оказывают влияние на AD и обладают мультипликативным эффектом ВНП = kg G, где kg = 1/1-MPC – мультипликатор государственных расходов. Действие налогов, подобно G, обладает мультипликативным эффектом ВНП = - kt T, где kt = MPC/MPS – мультипликатор налогов. kg > kt, так как, например, при сокращении Т потребление увеличивается лишь частично (часть располагаемого дохода идет на увеличение сбережений), тогда как каждая единица прироста G оказывает прямое воздействие на величину ВНП. Недискреционная фискальная политика – предполагает использование автоматических стабилизаторов, которые без частого вмешательства реагируют на изменение макроэкономической ситуации. К основным встроенным стабилизаторам относится изменение налоговых поступлений в различные периоды экономического цикла. При этом ставки налогов действуют достаточно долго, не изменяя свою величину. Поэтому в период подъема налоговые поступления автоматически возрастают, что обеспечивает снижение покупательной способности населения и сдерживание экономического роста. К встроенным стабилизаторам также относятся – пособия по безработице; соц. выплаты; программы по поддержанию малоимущих слоев населения.
22) В системе финансовых отношений немаловажную роль, с точки зрения пополнения доходной части бюджетов различных уровней и возможности воздействия на национальную экономику, играют налоги. Налоги – обязательные платежи, взимаемые государством с юридических и физических лиц на основе специального налогового законодательства. Принципы налогообложения: – сочетание прямых и косвенных налогов; – универсальность налогообложения; – равнонапряженность налогового бремени для всех субъектов налоговых правоотношений; – однократность налогообложения; – использование системы налоговых льгот; – стремление к стабильности условий налогообложения; – запрет обратной силы налоговых законов. Субъекты налога должны уплачивать налоги пропорционально тем выгодам, которые они получают от государства, т. е. те, кто получил большую выгоду, платят налоги, необходимые для финансирования создания этой выгоды. Юридические и физические лица должны уплачивать налоги в прямой зависимости от размера полученного дохода. Современная налоговая система включает различные виды налогов. По способу платежа различают прямые и косвенные налоги. Прямые налоги берутся напрямую с физических и юридических лиц. Это подоходный налог с физических лиц; налог с прибыли корпораций; имущественный налог (уплачивается как физическими, так и юридическими лицами); налог на сделки с капиталом; налог с наследства и др. Косвенные налоги взимаются с товаров и услуг. Их косвенный характер проявляется в том, что их уплачивают не все граждане, а те, кто покупает облагаемую налогом продукцию. К косвенным налогам относятся: налог на добавленную стоимость, акцизы, таможенные пошлины. Налоги по их использованию подразделяются на общие и специальные (целевые). Общие налоги поступают в бюджет государства для финансирования общегосударственных мероприятий. Специальные налоги имеют строго определенное назначение, например налоги на реализацию горюче-смазочных материалов поступают в дорожные фонды и предназначены для строительства, реконструкции и текущего ремонта дорог. В зависимости от того, в распоряжение какого органа поступает налог, различают федеральные налоги, региональные налоги субъектов федерации и местные налоги. Федеральные налоги устанавливаются законодательными актами, принимаемыми Федеральным Собранием, К ним относятся налог на прибыль предприятий и организаций, налог на добавленную стоимость, таможенные пошлины, акцизы па нефть, природный газ и др. К региональным налогам относятся налог на имущество организаций, налог на недвижимость, дорожный налог, налог на добычу природных ресурсов, к местным налогам относятся налог на недвижимое имущество граждан, налог на рекламу, регистрационный сбор с физических лиц, занимающихся предпринимательской деятельностью, другие сборы. В зависимости от характера взимания налоговых ставок различают: твердые ставки, которые устанавливаются в абсолютной сумме независимо от размеров дохода (например, на тонну нефти); пропорциональные - налоговая ставка остается неизменной независимо от размеров дохода; прогрессивные - ставка повышается по мере возрастания дохода; регрессивные - ставка налога понижается по мере возрастания дохода. При высокой ставке подоходного налога (более 50%) резко снижается деловая активность фирм и населения. Кривая Лаффера (31.1) отражает зависимость поступлений в бюджет сумм налогов от ставок подоходного налога. Суть «эффекта Лаффера» в следующем: если экономика находится справа от точки А, то уменьшение уровня налогообложения до оптимального (ra) в краткосрочном периоде приведет к временному сокращению налоговых поступлений в бюджет, а в долгосрочном – к их увеличению, так как возрастут стимулы к трудовой и предпринимательской деятельности (выход из «теневой экономики»). Объект налога – доход или имущество, с которого начисляется налог. Ставка налога – величина налоговых отчислений на единицу объекта налога. Различают твердые ставки (устанавливаются в абсолютном выражении на единицу отложения, независимо от размеров дохода); пропорциональные (в одинаковом процентном отношении к объекту налога без учета дифференциации его величины); прогрессивные (возрастание ставки по мере роста дохода); регрессивные (снижение ставки по мере роста дохода). Прямые налоги – платятся субъектами налога непосредственно и прямо пропорциональны платежеспособности (подоходный налог, налог на землю и т. д.). Косвенные налоги взимаются через надбавку к цене и являются налогами на потребителей (акцизы, НДС, таможенные пошлины). Чистые налоговые поступления в бюджет – разность между величиной общих налоговых поступлений в бюджет и суммой выплаченных правительством трансфертов.
23) Аналогичное мультипликативное воздействие на равновесный уровень дохода окажет и снижение налогов Т. Если налоговые отчисления снижаются на А Г, то располагаемый доход Yd = У - Т возрастает на величину Л Г (см. рис. продам оптом мобильные телефоны 6.2.). Потребительские расходы соответственно увеличиваются на величину АТхЬ, ЧТО сдвигает вверх кривую планируемых расходов и увеличивает равновесный объем производства мультипликатор на величину , где налогов. Механизм налоговой мультипликации, как и в случае с государственными расходами, связан с многократной реакцией потребления на однократное изменение налогов: налоги снижаются на ATJ? => => располагаемый доход увеличивается на АГТ => => потребление увеличивается на ЬхАТТ => => совокупные расходы увеличиваются на bxATf => => совокупный доход увеличивается на bxATf => => потребление увеличивается на Ь(ЬхАТ) Т => => совокупные расходы увеличиваются на b? xATt => совокупный доход увеличивается на btxATt => => потребление увеличивается на Ъ(Ъ? хАТ) t => и т. д. металлорежущий инструмент Если предположить, что все налоговые отчисления в государственный бюджет зависят от динамики текущего дохода У, то налоговая функция принимает вид: Т = t • Y , где - — предельная налоговая ставка. В этом случае функция потребления имеет вид: С = а 4- Ъ (Y - tY) = а + Ь (1 - t)Yt а модель налогового мультипликатора принимает вид: mt — налоговый мультипликатор в закрытой экономике. Полная налоговая функция имеет вид: Т = Та - К tY, где Та — автономные налоги, независящие от величины текущего дохода У (например, налоги на недвижимость, наследство и т. д.); - — предельная налоговая ставка. С учетом функциональной зависимости налоговых отчислений Гот дохода У функция потребления принимает вид: C = a + b[Y-(Ta+ tY)]. В этом случае модель равновесного объема производства в открытой экономике имеет вид: — мультипликатор налогов в открытой экономике. При этом суммарное изменение дохода AY в результате одновременного изменения величин госрасходов и автономных налогов определяется как: Если государственные расходы и автономные налоговые отчисления возрастают на одну и ту же величину, то и равновесный объем производства возрастает. В этом случае говорят о мультипликаторе сбалансированного бюджета, который всегда равен или меньше единицы. Мультипликатор сбалансированного бюджета не предполагает абсолютного устранения любых бюджетных дефицитов или излишков. Речь идет о сбалансировании изменений в доходной и расходной частях бюджета, то есть о сохранении равенства AT = AG, где под символом АТ обобщенно обозначаются все изменения доходов бюджета, а под символом AG — все изменения расходов бюджета. Если, например, государственные расходы возросли на AG, то равновесный объем производства возрастет на величину: Если правительство одновременно повысит автономные налоги на АТа = AG, то равновесный объем выпуска снизится на величину: Суммарное изменение равновесного объема выпуска составит: Мультипликативный эффект от снижения налогов слабее, чем от увеличения государственных расходов, что алгебраически выражается в превышении мультипликатора расходов над налоговым мультипликатором. Это является следствием более сильного воздействия госрасходов на величины дохода и потребления (по сравнению с изменением налогов). Данное различие является определяющим при выборе инструментов фискальной политики. Если она нацелена на расширение государственного сектора экономики, то для преодоления циклического спада увеличиваются госрасходы (что дает сильный стимулирующий эффект), а для сдерживания инфляционного подъема увеличиваются налоги (что является относительно мягкой ограничительной мерой). Если фискальная политика нацелена на ограничение государственного сектора, то в фазе циклического спада снижаются налоги (что дает относительно небольшой стимулирующий эффект), а в фазе циклического подъема снижаются госрасходы, что позволяет относительно быстро снизить уровень инфляции.
24)Фискальная политика – важнейший элемент экономической политики государства. Она включает в себя меры, осуществляемые государством, направленные на формирование государственного фонда средств, необходимого для обеспечения нормальной жизнедеятельности общества. В рыночной экономике госбюджет выполняет важные макроэкономические функции: обеспечение создания общественных благ; создание материальной базы для управления рыночными процессами с помощью государственного фонда средств; формирование основы для решения задач роста благосостояния населения, для решения социальных вопросов. Дискреционная фискальная политика – сознательное регулирование государством уровня налогообложения и государственных расходов с целью воздействия на реальный объем национального производства, занятость, инфляцию. При дискреционной фискальной политике в целях стимулирования совокупного спроса (AD) в период спада целенаправленно создается дефицит госбюджета вследствие увеличения G или снижения T. В период подъема создается бюджетный излишек. Государственные расходы оказывают влияние на AD и обладают мультипликативным эффектом ΔВНП = kg ΔG, где kg = 1/1–MPC – мультипликатор государственных расходов. Действие налогов, подобно G, обладает мультипликативным эффектом ΔВНП = – kt ΔT, где kt = MPC/MPS – мультипликатор налогов. Мультипликатор kg > kt, так как, например, при сокращении Т потребление увеличивается лишь частично (часть располагаемого дохода идет на увеличение сбережений), тогда как каждая единица прироста G оказывает прямое воздействие на величину ВНП. Недискреционная фискальная политика предполагает использование автоматических стабилизаторов, которые без частого вмешательства реагируют на изменение макроэкономической ситуации. К основным встроенным стабилизаторам относится изменение налоговых поступлений в различные периоды экономического цикла. При этом ставки налогов действуют достаточно долго, не изменяя свою величину. Поэтому в период подъема налоговые поступления автоматически возрастают, что обеспечивает снижение покупательной способности населения и сдерживание экономического роста. К встроенным стабилизаторам также относятся: пособия по безработице; соц. выплаты; программы по поддержанию малоимущих слоев населения.
25) Кредитно–денежная политика – часть общей макроэкономической политики, которая влияет на монетарные факторы нестабильности. Кредитно–денежная политика – совокупность мероприятий, предпринимаемых правительством в кредитно–денежной сфере с целью регулирования экономики. Цели кредитно–денежной политики: 1) устойчивые темпы роста национального производства; 2) стабильные цены; 3) высокий уровень занятости населения; 4) равновесие платежного баланса. Кредитно–денежная политика осуществляется Центральным банком страны. На первом этапе Центральный банк воздействует на предложение денег, уровень процентных ставок, объем кредитов. На втором – изменения в данных факторах передаются в сферу производства, способствуя достижению конечных целей. Эффективность кредитно–денежной политики зависит от выбора инструментов (методов) кредитно–денежного регулирования. Основными общими инструментами кредитно–денежной политики являются: 1) изменение учетной ставки; 2) изменение нормы обязательного резервирования; 3) операции на открытом рынке. Изменение учетной ставки – старейший метод кредитно–денежного регулирования, в основе которого лежит право Центрального банка предоставлять ссуды коммерческим банкам под определенный процент,
который он может изменять, регулируя тем самым предложение денег в стране. При понижении учетной
ставки (r) увеличивается спрос коммерческих банков на ссуды (Dм), которые они могут использовать для кредитования, увеличивая тем самым денежную массу. Рост предложения денег (Sм) ведет к снижению ставки ссудного процента (%) (по которому коммерческие предоставляют ссуды предпринимателям, населению). Кредит становится дешевле,
что стимулирует развитие производства (Y) (политика “дешевых денег”) .При повышении учетной ставки происходит обратный процесс. Оно ведет к сокращению спроса на ссуды Центрального банка, что замедляет темпы роста (или сокращает) предложение денег и повышает ставку ссудного процента. “Дорогой ” кредит предприниматели берут меньше, а значит меньше средств вкладывается в развитие производства (политика
“дорогих денег”) Изменение нормы обязательных резервов (часть вклада в коммерческий банк, которая необходима для обеспечения гарантии выплаты денег вкладчикам в случае банкротства) позволяет Центральному банку регулировать предложение денег. Это связано с тем, что норма обязательных резервов (R) влияет на объем избыточных резервов (Е) (Депозит=R+E, т. е. чем больше R, тем меньше Е), а значит способность коммерческих банков создавать новые деньги путем кредитования. Если Центральный банк повысил резервную норму, то коммерческие банки увеличивают обязательные резервы и сокращают выдачу ссуд (Е) (политика “дорогих денег”) И наоборот, понижение резервной нормы переводит часть обязательных резервов в избыточные и тем самым увеличивает возможности коммерческих банков к созданию денег путем кредитования (“политика дешевых денег”) Следует учитывать, что повышение или понижение нормы обязательных резервов изменяет банковский мультипликатор.
26)БАНКОВСКИЕ СИСТЕМЫ. Национальные банковские системы состоят из различных типов банков, включая коммерческие, сберегательные, ипотечные, кооперативные, инвестиционные, центральные банки и банки развития. С течением времени банки постепенно эволюционировали, стремясь удовлетворять потребности предпринимателей, фермеров, потребителей и государства в сбережении, размещении, переводе и заимствовании средств. В 1960-х годах банковские системы вышли за границы отдельных государств, что обусловлено как необходимостью удовлетворять растущие потребности клиентов, так и стремлением увеличить собственные прибыли. ОБЩАЯ ХАРАКТЕРИСТИКА Коммерческие банки. Наиболее важное место в банковских системах занимают коммерческие банки, которые в своей нынешней форме впервые появились в 17 в. в Англии и затем получили распространение в других странах мира. Коммерческие банки обычно выполняют следующие функции: производят кредитование частных фирм, физических лиц, фермеров и государства; принимают вклады до востребования и срочные вклады; осуществляют перевод средств в пределах одной страны и за рубеж; выдают дорожные чеки и аккредитивы; по поручению частных лиц или корпораций управляют их финансовыми средствами, т. е. выступают в роли доверенных агентов; действуют как агенты по покупке и продаже ценных бумаг; обеспечивают безопасное хранение ценностей; распространяют информацию экономического характера; оказывают разнообразные прочие услуги. Изначально кредитные операции коммерческих банков были ориентированы преимущественно на удовлетворение потребностей предпринимателей в заемных средствах. Такие потребности носят кратко - или долгосрочный характер и связаны, например, с желанием сформировать товарно-материальные запасы или расширить производственные площади и приобрести дополнительное оборудование. Однако постепенно коммерческие банки расширяли свою кредитную деятельность: они начали выдавать потребительские ссуды и ипотечные кредиты на приобретение жилья, проникли в сферу страхования и управления взаимными (паевыми) фондами, занялись факторингом и лизингом. В результате возникли своего рода «банковские универмаги». Помимо всего прочего, в годы войны коммерческие банки принимали активное участие в финансировании государства. Благодаря кредитным операциям коммерческие банки играют заметную роль в увеличении или сокращении денежной массы страны. Выдавая денежные ссуды, банки увеличивают денежную массу, поскольку фактически все эти ссуды принимают форму вновь создаваемых кредитов. В связи с тем, что денежные активы, основанные на этих кредитах, депонированы в банках, они увеличивают резервы, под которые банки могут предоставлять дополнительные кредиты, что, в свою очередь, увеличивает денежную массу в стране. Напротив, когда кредиты погашаются, сумма базирующихся на них депозитов уменьшается, и, следовательно, банковские резервы и денежная масса сокращаются. Поэтому в той мере, в какой правительство намерено регулировать экономическое развитие путем контроля над денежной массой, оно должно контролировать кредитную деятельность банков. См. также ДЕНЬГИ. Собственность. Хотя коммерческие банковские системы разных стран предоставляют в основном одинаковые услуги, они различны по формам собственности, правовому регулированию и организации. Во многих странах, включая США, коммерческие банки принадлежат частным акционерам, которые избирают совет директоров, управляющий делами банка. В некоторых других странах с рыночной экономикой существуют государственные (национализированные) и неакционерные частные банки. Во Франции крупнейшими банками страны владеет государство; большинство коммерческих банков Индии национализировано; государству принадлежат контрольные пакеты акций четырех крупнейших банков Италии. Управление принадлежащими государству банками может осуществляться и часто действительно осуществляется независимо от государства. Однако вероятность того, что подобные банки в своей кредитной деятельности будут отдавать предпочтение государственным и национализированным отраслям, всегда остается. Практика показывает, что в странах «третьего мира» национализация банков обусловливалась главным образом необходимостью направлять ограниченные кредитные ресурсы в определенные сектора экономики. В Индии, например, национализация диктовалась потребностями кредитования сельского хозяйства. Регулирование. Коммерческие банки, даже принадлежащие узкому кругу частных лиц, в той или иной степени являются объектами государственного контроля и регулирования. В США за долгие годы существования банковской системы был выработан гигантский свод законов (федеральных и отдельных штатов), детально регламентирующий операции коммерческих банков. Часть этих законов была реакцией на необычайно высокий показатель банкротств среди банков до 1934. В 1980-х годах в США появились первые признаки дерегулирования банковской сферы. В большинстве других стран жесткое регулирование текущей коммерческой банковской деятельности, присущее американской системе, отсутствует. Отделения банков. За пределами США деятельность коммерческих банков осуществляется преимущественно на основе банковских отделений. Такой тип деятельности означает, что в стране оперирует относительно небольшое число коммерческих банков, однако каждый из них имеет от нескольких сот до нескольких тысяч отделений. Напротив, типичный американский банк представляет собой одно учреждение, хотя существует ряд важных исключений. Власти Калифорнии разрешили коммерческим банкам открывать отделения по всей территории штата, в результате чего именно в этом штате зарегистрирован крупнейший коммерческий банк США, который является и одним из крупнейших в мире. В штате Нью-Йорк открытие банковских отделений разрешено лишь в некоторых районах. Банковская деятельность на основе отделений имеет множество преимуществ. Она дает возможность предлагать клиентам полный набор банковских услуг даже в небольших деревушках, удовлетворять потребности в заемных средствах как крупных, так и мелких клиентов и перемещать банковских служащих из отделения в отделение, расширяя их профессиональный опыт. Кроме того, сама диверсификация кредитов в рамках общенациональной системы отделений резко снижает риск банкротства банка. Овердрафт (кредит по текущему счету). Стремясь удовлетворить потребности в кредитовании, коммерческие банки за пределами США часто используют овердрафт. Заемщику разрешается допускать перерасход по текущему счету на установленную сумму, а процент взимается со среднего остатка овердрафта, обеспеченного или необеспеченного какими-либо активами. С точки зрения заемщика, такая процедура кредитования предпочтительнее американской, в соответствии с которой кредит выдается на фиксированную сумму и определенный период, а заемщик платит проценты на всю сумму кредита независимо от того, воспользовался ли он им, и часто вынужден депонировать на счете средства в размере определенного процента от суммы кредита. Распространенная в США практика значительно повышает реальную процентную ставку по сравнению с установленной кредитным соглашением. Некоторые банки США разрешают овердрафт по чековым счетам клиентов; овердрафт рассматривается как ссуда, за которую взимается процент. Зарубежные операции. Коммерческие банки различаются между собой и по степени вовлеченности в зарубежные операции. Британские, голландские и немецкие коммерческие банки, следуя за развитием международной торговли и ростом иностранных инвестиций, довольно рано установили зарубежные банковские связи и открыли отделения за границей. Частные инвесторы учреждали банки, которые оперировали исключительно за рубежом (пример – британский «Чартеред банк оф Индиа, Острэлиа энд Чайна»). Они были известны как валютные банки и ограничивали свою деятельность обменом валюты и кредитованием предпринимателей из тех же стран, что и владельцы банка. С распространением националистических настроений в Африке и Азии значение валютных банков упало. Финансовые посредники. Отличные от коммерческих банков кредитные организации – сберегательные, ипотечные, кооперативные, инвестиционные банки, банки развития и различные виды специализированных банков – образуют группу, называемую финансовыми посредниками. В этот перечень не включаются центральные банки, которые не только выпускают деньги, но и формируют саму основу денежной системы; эти банки будут рассмотрены ниже. Сберегательные банки. Многие типы сберегательных учреждений появились в начале 19 в. в Западной Европе. К их числу относятся почтовые сберегательные банки, первый из которых был учрежден в Великобритании в 1861, городские и районные сберегательные банки, а также частные, или взаимно-сберегательные, банки. Независимо от юридической формы, все они выполняют сходные функции: способствуют накоплению сбережений – особенно среди вкладчиков с небольшими доходами – и инвестируют вложенные средства в закладные (ипотечные обязательства), государственные облигации и средне - или долгосрочные облигации промышленных компаний. Формы инвестиций сберегательных банков часто регулируются законом. На вклады начисляется процент, выплачиваемый через регулярные промежутки времени, а сами вклады во многих случаях нельзя изъять без предварительного уведомления. В европейских странах сберегательные банки часто объединяются в более крупную ассоциацию, которая, в свою очередь, управляет банком, предоставляющим, в случае необходимости, кредиты любому из банков-членов ассоциации. Для сберегательных банков он выполняет функции своего рода центрального банка. Привлекая небольшие сбережения и осуществляя их совместное инвестирование, сберегательные банки сыграли важную роль в экономическом развитии Западной Европы. Ипотечные банки. Государственные специализированные ипотечные банки впервые были учреждены в 1769 в ; первым частным ипотечным банком стал французский «Креди фонсье» («Crédit Foncier»). И частные, и государственные ипотечные банки привлекают средства путем приема вкладов и продажи ценных бумаг. Деятельность некоторых из них ограничена выдачей ссуд городскому и сельскому населению под залог недвижимости, другие кредитуют исключительно жителей определенных районов; наконец, среди них встречаются и такие, которые предоставляют средства всем категориям заемщиков, включая не только фермеров и городских домовладельцев, но и предпринимателей, занятых в отельном бизнесе и т. п. Ипотечные ссуды как городским, так и сельским жителям выдаются также коммерческими банками (наиболее ярким примером являются швейцарские кантональные банки), сберегательными банками, ссудо-сберегательными ассоциациями (которые играют важную роль в Великобритании, где фигурируют под названием строительных обществ) и страховыми компаниями. Развитие банков, специализирующихся на ипотеке, связано с продолжительными сроками ипотечных кредитов, часто достигающими 30 лет; стремлением государства удовлетворить спрос на ипотечные кредиты с минимальными процентными ставками; и желанием обеспечить заемщикам доступ на национальные и зарубежные инвестиционные рынки. В США ипотечные банки появились довольно поздно. Первым федеральным законом, регулирующим деятельность подобных учреждений, стал закон о фермерском кредите 1916, согласно которому были учреждены 12 федеральных земельных банков, предоставляющих долгосрочные ссуды фермерам. В большинстве стран, включая США, условия ипотечных городских и сельских кредитов диктуются не столько экономическими, сколько социальными и политическими соображениями – желанием помочь населению обзавестись собственным жильем и недвижимостью сельскохозяйственного назначения и стремлением удержать процентные ставки по закладным на низком уровне. Подобная политика, однако, способна привести к росту цен на землю и удорожанию строительства. Кооперативные банки. Во многих странах, включая Германию, Францию, Италию, Финляндию и Индию, существуют кооперативные банки. Они управляются группами собственников, которые вкладывают в них средства и получают ссуды. В Западной Европе первые кооперативные банки появились в Германии, где теперь функционируют тысячи таких банков, обслуживающих преимущественно фермеров, ремесленников и мелких предпринимателей. Ссуды кооперативных банков носят кратко - и среднесрочный характер. Формирование их ресурсов осуществляется путем продажи акций, привлечения вкладов и заимствований у центрального кооперативного или у крупного коммерческого банка. Поскольку все кооперативные банки являются мелкими, они обычно создают региональные ассоциации, которые функционируют как клиринговые палаты, а также кредитуют своих членов. В США кооперативные банки – известные под названием кредитных союзов – могут учреждаться в соответствии с федеральным законодательством и законами отдельных штатов. Хотя число подобных банков в США увеличилось, их роль в национальной кредитной системе относительно невелика. За рубежом кооперативные банки нередко организуют кооперативы по закупке и сбыту товаров. Инвестиционные банки. Это банки, финансирующие инвестиции частных предприятий и государства на всех уровнях. Кроме предоставления кредитов, они продают и покупают различные акции и облигации, организуют слияния и занимаются различной специализированной деятельностью, включая финансирование экспорта и лизинг. Благодаря возросшему стремлению коммерческих банков обеспечивать средне - и долгосрочные потребности компаний и иных организаций в капитале, инвестиционная деятельность банков резко усилилась. В дополнение к традиционным инвестиционным банкам появились новые филиалы и отделившиеся самостоятельные учреждения, находящиеся в собственности или под контролем различных акционеров. Инвестиционная банковская деятельность наиболее развита на Дальнем Востоке, в Европе и Северной Америке. Главными центрами инвестиционных банковских операций являются Лондон и Нью-Йорк. Офшорные банки. Одним из самых заметных событий в развитии банковской деятельности стал рост числа офшорных банков, т. е. банков, находящихся за границей и выведенных из-под национального регулирования. Офшорные банки регистрируются в тех немногих уголках земного шара, где в целях создания благоприятных условий для филиалов крупнейших банков мира налогообложение и законодательные ограничения сведены к минимуму. В число стран с хорошо развитой офшорной банковской структурой входят США (штаты Нью-Йорк и Делавэр), Великобритания (остров Мэн, Нормандские и Каймановы острова), Багамские острова, Бахрейн и Панама. Их появление объясняется не только желанием воспользоваться отсутствием налогообложения и регулирования, но и стремлением привлечь избыточные средства соседей – членов Организации стран – экспортеров нефти (ОПЕК). Одна из связанных с офшорными банками проблем заключается в том, что отсутствие контроля за их операциями может способствовать различного рода злоупотреблениям. Прочие кредитные учреждения. Некоторые виды кредитов предоставляются также банками развития, инвестиционными трестами, компаниями финансирования продаж, компаниями по обслуживанию кредитных карточек, факторинговыми и лизинговыми компаниями и другими специализированными учреждениями. Банки развития, обычно находящиеся в собственности и под управлением государства, учреждались во многих странах «третьего мира» с целью участия в финансировании индустриализации – строительства сталелитейных заводов, электростанций и т. п. Их средства формируются за счет налоговых поступлений, продажи облигаций национальным и зарубежным частным инвесторам и кредитов Международного банка реконструкции и развития (Мирового банка) или связанных с ним учреждений. В 1960–1970-х годах группы коммерческих банков из промышленно развитых стран создали ряд финансовых учреждений, в функции которых входило содействие инвестициям в страны «третьего мира». Деятельность многих из них ориентирована только на одну страну. Кроме того, были учреждены организации, обслуживающие, соответственно, Африку, Азию и Латинскую Америку. См. также МЕЖДУНАРОДНЫЕ БАНКИ И ФОНДЫ. Центральные банки. Во всех странах в той или иной форме существует самое важное банковское учреждение – центральный банк. Такие банки имеют дело не с населением и частными фирмами, а с другими банками. Их деятельность заключается в эмиссии денег и контроле за денежной массой, процентными ставками и операциями с иностранной валютой. Важное значение имеет контроль над денежной массой. Основным способом, обычно используемым центральным банком для контроля денежной массы, является покупка или продажа государственных ценных бумаг. Когда центральный банк покупает у дилеров рынка облигаций ценные бумаги, он оплачивает их чеками, которые дилеры затем депонируют в банках. Таким образом, покупая ценные бумаги, центральный банк накачивает в банковскую систему деньги. Напротив, когда он продает ценные бумаги, то получает чеки, которые не депонирует ни в каком другом банке. Следовательно, при продаже ценных бумаг центральный банк изымает из банковской системы деньги. Осуществляя контроль за денежной массой, центральный банк может также менять процентную ставку по своим кредитам другим банкам либо увеличивать или уменьшать размер обязательных банковских резервов, устанавливаемый в процентах от привлеченных депозитов. Снижение процентной ставки или резервных требований расширяет кредитные возможности банков и, следовательно, увеличивает денежную массу, находящуюся в обращении. Напротив, повышение процентной ставки или резервных требований ведет к сокращению кредитных возможностей банков. Кроме всего прочего, центральные банки могут стремиться и к контролю за использованием денег. В этой своей функции они могут рекомендовать банкам воздерживаться от выдачи некоторых видов ссуд и, напротив, предоставлять другие виды, а также могут устанавливать величину первоначальных взносов и сроки погашения потребительских и ипотечных ссуд и размеры гарантийных депозитов (нормативная маржа) при покупке ценных бумаг в кредит. ДЕНЕЖНЫЙ МУЛЬТИПЛИКАТОР [money multiplier] — отношение общей денежной массы к денежной базе (см. рис. Д. 1 на с. 74).
В статистической практике Д. м. рассчитывается по формуле где с — отношение наличность / депозиты; r — норма обязательных банковских резервов
27) Коммерческие банки являются многофункциональными учреждениями, оперирующими в различных секторах рынка ссудного капитала. Крупные коммерческие банки предоставляют клиентам полный спектр услуг, включая кредиты, прием депозитов расчетов и т. д. Этим они отличны от специализированных учреждений, которые ограничены определенными функциями. Коммерческие банки традиционно играют роль базового звена кредитной системы. Переплетение функций различных видов кредитных учреждений и популярность универсального типа банка создает известные трудности для определения понятий банк и банковская деятельность. Чаще всего главным признаком банковской деятельности считается прием депозитов и выдача кредитов. Коммерческие банки - это финансовые институты, получившие специальную лицензию от ЦБ, которая позволяет принимать вклады от населения и предприятий, а также предоставлять кредиты. Они обслуживают население и предприятия; занимая деньги от своего имени, они затем ссужают эти средства своим заемщикам. Коммерческие банки относятся к особой категории деловых предприятий, получивших название финансовых посредников. Они привлекают капиталы, сбережения населения и другие денежные средства, высвобождающиеся в процессе хозяйственной деятельности, и предоставляют их во временное пользование другим экономическим агентам, которые нуждаются в дополнительном капитале. Банки создают на новые требования и обязательства, которые становятся товаром на денежном рынке. Так, принимая вклады клиентов, коммерческий банк создает новое обязательство - депозит, а выдавая ссуду - новое требование к заемщику. Этот процесс создания новых обязательств составляет сущность финансового посредничества. Эта трансформация позволяет преодолеть сложности прямого контакта сберегателей и заемщиков, возникающие из-за несовпадения предлагаемых и требуемых сумм, их сроков, доходности, и т. д.Мировая практика выработала два принципы построения коммерческих банков: 1) принцип сегментирования, когда банковская деятельность ограничена определенным видом операций или сектором денежного рынка; 2) принцип универсальности, когда любые ограничения в отношении деятельности банков на денежном рынке снимаются. В рыночной экономике функционируют различные виды банков, которые классифицируют по определенным признакам: Т. По форме собственности: 1) государственные; 2) частные; 3) кооперативные. Государственным банком является банк, 100% уставного капитала которого принадлежит государству. Кооперативные банки создаются по принципу территориальности и делятся на местные и центральный кооперативный банки. Минимальное количество участников местного (в пределах области) кооперативного банка должно быть не менее 50 человек. Участниками центрального кооперативного банка являются местные кооперативные банки. II. По масштабам операций: 1) розничные (аккумулируют средства многих клиентов, небольшие по объему Таким банкам нужна развитая инфраструктура); 2) оптовые (обслуживают незначительное количество крупных клиентов, необходимые для этого ресурсы они привлекают на финансовом рынке). III. По территориальным охватом: 1) межрегиональные; 2) региональные (осуществляющих деятельность на территории одного региона); 3) банки, которые ведут деятельность в национальном масштабе. IV. По кругу выполняемых операций: 1) специализированные; 2) универсальные. Специализированные банки ограничивают свою деятельность небольшим кругом операций или функционируют в узком секторе рынка, либо обслуживают отдельные отрасли экономики. Универсальные банки осуществляют широкий спектр банковских операций, охватывают множество секторов денежного рынка и отраслей экономики. Банки в Украине могут функционировать и как универсальные, и специализированные. По специализации банки могут быть: • сберегательными; • инвестиционными; «ипотечными; • расчетным (клиринговым). Каждый коммерческий банк самостоятельно определяет направления своей деятельности и специализацию по видам операций. Национальный банк Украины осуществляет регулирование деятельности специализированных банков через экономические нормативы и нормативно-правовое обеспечение осуществляемых этими банками операций. Банк приобретает статус специализированного банка в случае, если более 50% его активов являются активами одного типа. Банк приобретает статус специализированного сберегательного банка в случае, если более 50% его пассивов является вкладам физических лиц. V. По организационно-правовой форме: в Украине банки создаются в форме акционерного общества, общества с ограниченной ответственностью или кооперативного банка. VI. При наличии сеть филиалов банки делятся на много-филиальную и без филиальные. Банковская система Украины состоит из Национального банка Украины и других банков, которые созданы и действуют на территории Украины в соответствии с украинским законодательством. Согласно с положениями нового Закона Украины «О банках и банковской деятельности» особое внимание уделяется экономической самостоятельности коммерческих банков. То есть банки имеют право самостоятельно владеть, пользоваться и распоряжаться имуществом, которое находится в их собственности. При этом государство не отвечает по обязательствам банков, а банки в свою очередь не отвечают по обязательствам государства, если иное не предусмотрено законом или договором. Органам государственной власти и органам местного самоуправления запрещается каким-либо образом влиять на руководство или работников банков в ходе исполнения ими служебных обязанностей или вмешиваться в деятельность банка, за исключением случаев, предусмотренных законом. Вред, причиненный банку в результате такого вмешательства, подлежит возмещению в порядке, определенном законом. В процессе своей деятельности банки выполняют активные, пассивные и забалансовые операции. Пассивные операции заключаются в привлечении банками ресурсов (источников финансирования). Суть активных операций заключается во вложении средств. Вне балансовые операции не связаны с непосредственным движением средств, поэтому до определенного времени не значатся в балансе, пока не найдут отражения в прибылях или убытках банка (например, консультативные услуги, операции комиссионного характера).
28) Эффективная реализация антикризисных мер, максимизация их воздействия на экономику возможны только при обеспечении необходимого уровня макроэкономической стабильности. В этих целях Правительство в тесном взаимодействии с Банком России будет реализовывать взвешенную макроэкономическую политику, направленную на поддержание баланса между целями усиления социальной поддержки населения, стимулирования внутреннего спроса, развития отраслей экономики - с одной стороны, и целями поддержания приемлемого уровня инфляции, равновесного курса рубля, обеспечения допустимого уровня бюджетного дефицита - с другой. Поддержание такого баланса предполагает следующие приоритеты макроэкономической политики: Проведение ответственной бюджетной политики. Резкое снижение цен на нефть и газ, а также экономический спад приведут к тому, что федеральный бюджет недополучит в 2009 году 4,2 трлн. рублей. Принятые правительством решения по облегчению налоговой нагрузки снизят поступления в бюджетную систему на 420 млрд. рублей. Тем самым Правительство увеличивает остающиеся в распоряжении предприятий средства, которые могут использоваться на выплату заработной платы либо инвестиции. Снижение доходов коснется и территориальных бюджетов, и социальных фондов. Правительство приняло решение, несмотря на это, не сократить, а увеличить государственные расходы, существенно изменив их направленность. Сокращаются или отодвигаются на более поздние сроки неприоритетные расходы бюджета. "Высвободившиеся" средства будут направлены на увеличение пенсий, помощь потерявшим работу гражданам и их переобучение, укрепление банковской системы, стабилизацию состояния ипотечного рынка и поддержку попавших под удар секторов экономики. Увеличение государственных расходов, несмотря на сокращение доходов, будет обеспечено за счет средств, накопленных в Резервном фонде в период высоких цен на нефть. В 2009 году из Резервного фонда на расходы будет направлено примерно 2751,5 млрд. рублей. Даже в случае, если усиление кризиса приведет к дальнейшему снижению цен на товары российского экспорта, использование Резервного фонда гарантирует полное и безусловное исполнение увеличенных расходных обязательств федерального бюджета. Один из приоритетов макроэкономической политики состоит в постепенном сокращении инфляции. Повышение курса иностранной валюты, ставшее следствием финансового кризиса, привело к росту цен прежде всего за счет быстрого удорожания импортных и части отечественных товаров, производимых с использованием импортного сырья. Правительство ставит задачу удержать рост цен в 2009 году примерно в тех пределах, которые были зафиксированы в прошлом году. В последующем возможно замедление инфляции до 10% в 2010 году и 7,5 % в 2011 году. Правительству, совместно с Банком России, предстоит сочетать решение нескольких задач: обеспечить экономику достаточным количеством ликвидности и в то же время не допустить разгона инфляции. До окончания кризиса правительство будет с особой осторожностью подходить к регулированию тарифов на жилищно-коммунальные услуги, транспортные перевозки, электричество и тепло, а также цен на газ, соизмеряя их повышение, необходимое для финансирования инвестиционных программ, с задачами сдерживания инфляции. Важную роль в противодействии росту цен будет играть борьба с долларизацией экономики - повышение доверия к рублю как средству сбережения. Этому будет способствовать установление Банком России пределов роста стоимости бивалютной корзины, подорвавшее привлекательность конвертации рублевых средств в иностранную валюту. Параллельно Федеральная антимонопольная служба активизирует борьбу с необоснованным повышением цен за счет сговора поставщиков и других незаконных действий. Следующая задача состоит в расширении банковского кредитования и его удешевлении для предприятий и граждан. В настоящее время высокая стоимость заемных средств в значительной мере определяется рисками, связанными с неопределенностью внешнего и внутреннего спроса. Поддержка потребительского и инвестиционного спроса за счет дополнительных государственных расходов позволит снизить такие риски, а в сочетании со стабилизацией ожидаемой будущей стоимости иностранной валюты создаст предпосылки для снижения в будущем процентных ставок. В среднесрочной перспективе определяющим условием снижения процентных ставок станет последовательное замедление инфляции. Правительство намерено воздержаться от существенного наращивания заимствований на внутренних финансовых рынках, для того чтобы ограниченные инвестиционные ресурсы банковской системы полностью направлялись на кредитование граждан и отечественных предприятий. Важнейшей задачей остается поддержание достаточного уровня макроэкономической устойчивости российской экономики. Это требует сохранения определенного минимального уровня средств в Резервном фонде, достаточного объема золотовалютных резервов, поддержания положительного баланса внешней торговли и последовательного сокращения бюджетного дефицита. Правительство планирует снизить дефицит федерального бюджета до 3% в 2011 году. К концу 2011 года в Фонде национального благосостояния останутся средства на сумму порядка 2% ВВП. Такая политика обеспечит доверие российских и иностранных инвесторов, что позволит возобновить приток капитала и восстановить рост экономики.



