Ценообразующие факторы |
Тема 3. Ценообразующие факторы.
Потребительский спрос и факторы его определяющие. Взаимодействие цены и спроса. Кривая спроса. Неценовые факторы, оказывающие влияние на изменение спроса.
Взаимосвязь цены и предложения. Кривая предложения. Неценовые факторы, влияющие на изменение предложения.
Определение равновесной цены и ее динамика.
Эластичность спроса от цены, методы ее определения и учет в ценообразовании.
Факторы, влияющие на уровень и динамику цен. Состояние финансово-кредитной сферы и ее воздействие на уровень и динамику цен. Влияние потребителей на уровень цен. Государственное регулирование и его воздействие на цены. Влияние участников каналов товародвижения на цены. Конкуренция и ее воздействие на уровень цен. Воздействие издержек на уровень и динамику цен.
Важность цены для руководителей фирм за последние годы существенно возросла.
Поскольку цена придает значение совокупной комбинации переменных маркетинга, которые предлагаются потребителям (такие, как характеристики продукции, образ, местонахождение магазина, обслуживание потребителей и т. д.), то решения о ней должны приниматься в сочетании с планами по продукции распределению, сбыту и продвижению.
Цены часто меняются на протяжении жизненного цикла продукта — от высоких для привлечения новаторов, ориентирующихся на престиж, до низких, ориентирующихся на массовый рынок.
Уровень обслуживания потребителей зависит от цены. Низкие цены обычно связываются с незначительным сервисом.
С точки зрения распределения и сбыта цены, взимаемые с участников каналов товародвижения, должны в достаточной степени компенсировать выполняемые ими функции, однако быть достаточно низкими, чтобы конкурировать с другими марками в розничной торговле.
В каналах сбыта могут возникнуть конфликты, если производитель попытается контролировать или предлагать конечные цены.
Группы товаров с различными ценами привлекают разные сегменты рынка.
Сотрудники, осуществляющие персональные продажи, должны и определенную гибкость при установлении цены.
Следует координировать усилия маркетингового и финансового персонала. Маркетологи обычно начинают с цен для конечных потребителей и затем двигаются назад, чтобы определить цены для участников каналов товародвижения и приемлемые издержки производства. Финансисты обычно начинают с издержек и добавляют желаемую прибыль для получения продажной цены.
Прежде чем разработать стратегию формирования цены, фирма должна проанализировать все внешние факторы, влияющие на решения по ценам. Так же как и решения по товародвижению, решения по ценам в значительной степени зависят от факторов внешних по отношению к фирме.
Они отличаются от решений по продуктам и их продвижению, которые в большей степени контролируются фирмой. Иногда внешние факторы существенно влияют на способность фирмы устанавливать цены; в других случаях они оказывают небольшое воздействие. На рис. дается перечень основных факторов, которые рассматриваются ниже.
1. Потребители. Фирма должна понимать взаимоотношения между ценой и покупками потребителей и их представлениями. Эта взаимосвязь объясняется двумя экономическими принципами (законом спроса и ценовой эластичностью спроса) и сегментацией рынков.
Закон спроса гласит, что потребители обычно приобретают больше товаров по низкой цене, чем по высокой. Цеповая эластичность спроса определяет чувствительность покупателей к изменениям в ценах с точки зрения объема товаров, которые они приобретают.
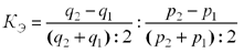
Ценовая эластичность определяется отношением изменения величины спроса (в процентах) к изменению цен (в процентах):
|
|
|
|
где p1 – начальный уровень цены;
p2 – конечный уровень цены;
q1 – начальный уровень объема спроса;
q2 – конечный уровень объема спроса.
Точечный коэффициент эластичности рассчитывается как предельная форма выражения дугового коэффициента эластичности.
Эта формула показывает процентное изменение в величине спроса на каждый процент изменения в цене. В силу того что спрос обычно уменьшается по мере роста цен, эластичность измеряется отрицательными величинами. Однако для упрощения расчеты эластичности в этом разделе выражаются в положительных числах.
Эластичный спрос имеет место в тех случаях, когда ценовая эластичность больше 1: небольшие изменения в ценах приводят к большим изменениям в размерах спроса. При этом общий доход возрастает, когда цены
Потребители |
Правительство |
Участники каналов сбыта |
Конкуренты |
Издержки |
|
| ||||
Общее влияние на решения по ценам | ||||
Рис. Факторы, влияющие на установление цен
снижаются; и уменьшается, когда цены растут. Неэластичный спрос имеет место в тех случаях, когда ценовая эластичность меньше 1: ценовые изменения незначительно влияют на объем спроса. Общий доход возрастает, когда цены повышаются, и падает, когда цены снижаются. Унитарный спрос существует в тех случаях, когда изменения в ценах компенсируются изменениями в размере спроса, так что общий объем реализации остается постоянным. Ценовая эластичность равна 1.
Наличие того или иного типа спроса основывается на двух критериях: доступности замен и важности потребности: Если потребитель считает, что существует множество аналогичных товаров и услуг, из которых можно сделать выбор и нет срочности в совершении покупки, спрос является эластичным и значительно зависит от изменений в цене. Увеличение цен приведет к покупке заменителя или отложенной покупке. Снижение цен увеличит объем реализации, отвлечет покупателей от конкурентов или заставит их раньше совершить покупку. Высокоэластичной для многих потребителей является цена авиабилета при поездках на отдых. Если цены повышаются, потребители могут поехать на автомобилях или отложить поездку.
В тех случаях, когда потребители считают, что предложения фирмы уникальны, или существует острая необходимость в совершении покупки, спрос неэластичен и изменения цены влияют на него незначительно. Ни увеличение, ни понижение цен не окажут существенного воздействия на спрос в следующем случае. Например, в большинстве районов независимо от цен на отопительный мазут спрос относительно постоянен, поскольку нет реальной альтернативы и людям нужно отапливать должным образом свои дома.
Приверженность к марке также создает неэластичный спрос, поскольку потребители рассматривают свою марку как отличительную и могут не соглашаться с заменой. Наконец, чрезвычайные обстоятельства увеличивают неэластичность спроса.
Следует отметить, что эластичность спроса меняется в зависимости от диапазона изменения цен для одного и того же товара или услуги. При очень высоких ценах продажа необходимых товаров падает (например, поездки в общественном транспорте сократятся, если оплата вырастет; это сделает автомобили более разумной альтернативой). При очень низких ценах спрос невозможно стимулировать далее, поскольку рынок насыщается и потребители начинают рассматривать уровень качества как низкий.
Необходимо также понимать важность цен для различных сегментов рынка, поскольку не все потребители одинаково воспринимают их. Согласно исследованию, потребителей можно подразделить на четыре категории или сегмента, в зависимости от ориентации их покупок:
экономные покупатели: основной интерес при покупках касается их ценности, высокая чувствительность к ценам, качеству и ассортименту товаров;
персонифицированные покупатели: упор делается на образ продукции, обслуживание и отношение фирмы, меньшее внимание уделяется ценам;
этичные покупатели: готовы пожертвовать низкими ценами и широтой ассортимента для поддержания небольших фирм;
апатичные покупатели: основное внимание уделяется удобству вне зависимости от цен.
Исследования подтверждают, что не все потребители рассматривают цену как решающий фактор при совершении покупок. Было установлено, что покупатели предпочитают универсальные магазины с широким ассортиментом магазинам сниженных цен с аналогичным ассортиментом. Их привлекают разнообразие продукции, обслуживание и возможность возврата товаров. В другом исследовании отмечалось, что рост рекламы снижает чувствительность к ценам, спрос становится неэластичным благодаря большей приверженности к торговым маркам. Сильнее всего рекламные объявления воздействуют на покупателей, чувствительных к ценам. В третьем случае делается вывод о том, что представления потребителей о высоких и низких ценах, субъективные. Они могут иметь большее значение, чем реальные. Например, потребитель может полагать, что низкая цена представляет собой удачную покупку или характеризует низкое качество, либо что высокая цена говорит о статусе или о несоответствии ценности товара в зависимости от его (или ее) представлений.
Различное влияние на цены оказывают ценовая и неценовая конкуренция.
Через ценовую конкуренцию продавцы влияют на спрос главным образом посредством изменений в цене. Неценовая конкуренция минимизирует цену как фактор потребительского спроса, выделяя товары или услуги посредством продвижения, упаковки, поставки, сервиса, доступности и других маркетинговых факторов. Чем уникальнее предложение продукции, с точки зрения потребителей, тем больше свободы в установлении цен выше, чем у конкурирующих товаров.
При ценовой конкуренции продавцы двигаются по кривой спроса, повышая или понижая свою цену. Это гибкий инструмент маркетинга, поскольку цены можно быстро и легко изменять, учитывая факторы спроса, издержек или конкуренции. Однако из всех контролируемых переменных маркетинга конкурентам легче всего дублировать именно эту, что может привести к стратегии копирования или даже ценовой войне. Более того, правительство следит за ценовыми стратегиями.
При неценовой конкуренции продавцы перемещают кривые спроса потребителей, делая упор на отличительных особенностях своей продукции. Это позволяет фирмам увеличивать сбыт при данной цене или продавать первоначальное количество по более высокой цене. Риск при этом связан с тем, что потребители могут не рассматривать предложения продавца как лучшие, чем у конкурентов.
В этом случае они будут приобретать более дешевые товары, которые, по их мнению, аналогичны более дорогим.
|
|
|
Рис. Воздействие правительства на принятие решений по ценам |
Правительственные меры, связанные с ценообразованием, могут быть подразделены на пять основных групп, показанных на рисунке.
Фиксированные цены. Правительство ограничивает возможности фиксации цен по горизонтали и вертикали. Горизонтальное фиксирование цен порождается соглашениями между производителями, между оптовой или розничной торговлей по установлению цен на данном уровне канала сбыта. Такие соглашения незаконны согласно антитрестовскому законодательству независимо от того, насколько это «разумные» цены.
Когда выявляются такие нарушения, наказания могут быть весьма суровыми.
Чтобы избежать обвинения в фиксировании цен, компания должна тщательно избегать: согласования скидок, условий кредита или условий реализации со своими конкурентами; обсуждения цен, надбавок и издержек на профессиональных отраслевых встречах; договоренностей с конкурентами о публикации прейскурантов в один и тот же срок, о ротации низких предложений по контрактам, о едином ограничении производства для поддержания высоких цен; обмена информацией с конкурентами даже на неформальной основе.
Вертикальное фиксирование цен имеет место в тех случаях, когда производители или оптовики пытаются контролировать розничные цены своих товаров или услуг например, в США до 1975 г. Закон Миллера-Тайдинга (наряду с законом Макгира) позволял компаниям при желании строго контролировать и навязывать розничные цены. Эта практика получила название справедливой торговли. Она защищала небольшие розничные магазины и поддерживала образ марочной продукции, заставляла всю розничную торговлю в пределах штатов, придерживающихся принципа справедливой торговли, устанавливать одинаковую цену на соответствующие товары.
Принцип справедливой торговли сильно критиковался группами потребителей, многими розничными организациями и рядом производителей за ограничивающий конкуренцию характер, поддержание цен на искусственно высоком уровне и поддержание неэффективной розничной торговли. 12 декабря 1976 г. президент Джеральд Форд подписал Закон о ценообразовании потребительских товаров. Этот Закон устранил любое использование справедливой торговли или поддержание розничных цен начиная с 11 марта 1976т.
В настоящее время розничную торговлю нельзя заставить соблюдать прейскурантные цены, разрабатываемые производителями или оптовиками. В большинстве случаев она свободна в установлении конечных продажных цен. Производители или оптовики могут контролировать розничные цены только посредством использования одного из следующих методов:
принадлежность производителю или оптовику розничных магазинов;
продажа на условиях консигнации, когда товары до своей продажи принадлежат производителю или оптовику, которые несут расходы, обычно связанные с розничной торговлей, такие, как реклама и продажа;
тщательный отбор розничных магазинов, через которые продаются товары или оказываются услуги;
предложение реальных справочных розничных цен;
нанесение заранее цен на товары; установление привычной цены, которая принимается потребителями.
Ценовая дискриминация. Закон запрещает производителям и
оптовикам во взаимоотношениях с различными покупателями — участниками каналов сбыта по продукции «схожего качества» осуществлять ценовую дискриминацию, если она наносит ущерб конкуренции. Это касается цен, скидок, премий, гарантий по
купонам, поставки, хранения и условий кредита. Условия реализации должны быть доступными для всех конкурирующих участников сбыта на пропорционально равной основе.
Этот закон Робинсона – Патмана был принят в США в 1936 г. для защиты мелких розничных магазинов от нечестной ценовой конкуренции больших фирм розничной торговли. Этот закон остается серьезным юридическим ограничением ценообразования.
Минимальные цены. Запрещается розничной торговле продавать продукцию по ценам ниже издержек плюс фиксированный процент, покрывающий накладные расходы и прибыль. Примерно в половине штатов США существуют такие законы, распространяющиеся на все виды товаров и все виды розничной торговли. В большинстве штатов существуют законы, которые касаются конкретных товаров, таких, как хлеб, молочные продукты и спиртные напитки.
Используя хищническое ценообразование, большие фирмы могут снизить цены ниже своих издержек в отдельных регионах, чтобы устранить небольших местных конкурентов. Подобная практика запрещена законом. Он распространяется на производителей, оптовую и розничную торговлю.
Продажа товаров в убыток используется для привлечения потребителей в магазин и также ограничивается законами о нечестной торговле. Розничная торговля прибегает к подобной практике обычно в отношении хорошо известных и широко рекламируемых торговых марок для увеличения общего объема продаж в магазинах. Она исходит из того, что потребители, привлекаемые подобными предложениями, будут также покупать и другие товары. Поскольку продажа товаров в убыток создает выгоду для покупателей, то указанные законы редко применяются.
Компания не может претендовать или создавать впечатление, что цена снижена, если первоначальная цена в последнее время не предлагалась потребителям на регулярной основе.
Фирма не может претендовать на то, что ее цена ниже цены конкурентов или справочной цены производителя, без подтверждения через сравнение цен на достаточно большие объемы продукции, что цена в других точках на данный товар в этом же регионе действительно, выше.
Предлагаемая прейскурантная или заранее указанная цена не может рекламироваться в качестве сравнения при продаже или сопоставлении с другими товарами, если рекламируемая продукция по этим ценам не продавалась.
Выгодные предложения, такие, как «бесплатно», «покупай один, второй получишь бесплатно», «продажа двух по цене одного», «продажа по половинной цене» и «продажа за один цент», часто используются компаниями. Эта практика считается нечестной, если условия данного предложения не описываются в начале сбытовой презентации или в рекламном объявлении, если указанная нормальная цена товара завышена, чтобы создать впечатление экономии, или если качество продукции снижено без оповещения об этом потребителя. Фирма не может постоянно рекламировать распродажу одного и того же товара.
Реклама по принципу «заманивания и переключения» представляет собой незаконную практику, при которой потребителей завлекают в магазин при помощи рекламы товаров по необычно низким ценам, а затем ему говорят, что данный товар кончился или он низкого качества. В этом случае продавец пытается «переключить» покупателя на более дорогостоящие заменители, при этом нет намерения продавать рекламируемый товар. Признаками такой практики являются отказ в показе требуемых товаров, их всяческое умаление, отсутствие достаточного количества для удовлетворения разумного спроса, отказ в принятии заказов, демонстрация дефектной продукции и система вознаграждений, стимулирующая продавцов заниматься подобной практикой.
Все это требует от компании тщательного ведения отчетности и документации.
3. Участники каналов сбыта. Каждый участник каналов товародвижения стремится играть важную роль в установлении цены в целях увеличения объема реализации, получения достаточной доли прибыли, создания подходящего образа, обеспечения повторных покупок и достижения специально поставленных целей.
Производитель может получить больший контроль над ценой: используя систему монопольного товародвижения или минимизируя сбыт через розничную торговлю, продающую товары по сниженным ценам; заранее устанавливая цены на товары; открывая собственные розничные магазины; поставляя товары на условиях консигнации; обеспечивая достаточную долю прибыли для участников каналов сбыта и, что наиболее важно, посредством разработки хорошо известных в рамках всей страны торговых марок, к которым покупатели испытывают приверженность и за которые готовы платить любую конечную цену.
Оптовая или розничная торговля может добиться большего контроля над ценами, подчеркивая производителю свою важность как потребителя, связывая поддержку перепродажи (витрины, персональный сбыт) с долей прибыли, отказываясь реализовать невыгодные товары, сбывая конкурирующую продукцию и разрабатывая сильные дилерские марки, с тем чтобы добиться лояльности потребителей к продавцу, а не к производителю. Иногда розничная торговля осуществляет продажу против марки: держит продукцию, устанавливает на нее высокие цены и продает другие марки по более низким ценам. Это часто делается для увеличения сбыта собственных марок. Подобная практика вызывает негативное отношение со стороны производителей, поскольку уменьшает реализацию их марок.
Чтобы обеспечить согласие участников каналов сбыта с решениями по ценам, производитель должен учитывать четыре фактора: доли прибыли участников каналов, ценовые гарантии, особые соглашения и воздействие путем повышения цен. Оптовой и розничной торговле требуется определенная доля прибыли, чтобы покрыть свои расходы (транспортировка, хранение, реклама, кредит и т. д.), а также получить разумный доход. Цены, которые с них берут производители, должны это учитывать. Попытка уменьшить существующие доли оптовой или розничной торговли может привести к потере сотрудничества с их стороны или возможности иметь дело с данным товаром.
В некоторых случаях оптовая и розничная торговля стремится получить для поддержания стоимости запасов и прибыли ценовые гарантии, которые обеспечивают им то, что они платят самые низкие из существующих цен. Любые скидки, предоставленные их конкурентам, даются также первоначальным покупателям. Гарантии наиболее часто предоставляются новыми фирмами или на новые товары, которые они хотят внедрить в существующие каналы сбыта.
Часто производители предлагают особые соглашения, включающие скидки, предоставляемые на ограниченный период времени, и/или бесплатные товары, для стимулирования закупок оптовой и розничной торговлей. Сделки требуют, чтобы участники каналов передавали эту выгоду конечным потребителям для увеличения спроса последних.
Наконец, следует оценивать воздействие роста цен на поведение участников каналов сбыта. Обычно если производители повышают для них цены, этот рост передается конечным потребителям. Подобная практика затруднена для товаров с традиционной ценой, например газет, где небольшие повышения в ценах могут брать на себя участники каналов. В любом случае сотрудничество зависит от справедливого распределения издержек и прибыли между участниками каналов сбыта.
4. Конкуренция. Еще одним фактором, определяющим степень контроля фирмы над ценами, является та конкурентная среда, в которой она функционирует.

Рис. Ценообразование в конкурентной среде
Имеются три вида конкурентных сред.
1. Среда, в которой цена контролируется рынком. Она характеризуется высокой степенью конкуренции, сходством товаров и услуг. Фирмы, пытающиеся установить цены выше, чем существующая конкурентная цена, привлекут немногих потребителей, поскольку спрос на любую конкретную фирму достаточно незначителен и потребители переключатся на конкурентов. Аналогично фирма достигнет немного и при снижении цен, поскольку конкуренты ответят на это тем же.
2. Среда, цена в которой контролируется фирмами. Она характеризуется ограниченной конкуренцией, четко различающимися товарами и услугами. Компании могут добиться успеха при высоких ценах, поскольку потребители рассматривают их предложения как уникальные. Дифференциация может основываться на образе товарной марки, параметрах, соответствующем сервисе, ассортименте и других факторах. Фирмы, продающие продукцию по сниженным ценам, также могут найти свою нишу в этой среде, привлекая потребителей, заинтересованных в низких ценах. Выбор цены зависит от стратегии и целевого рынка.
3. Среда, цена в которой контролируется правительством. К ней относятся, например, электроэнергия, газ, коммунальные услуги, автобусные перевозки, такси и т. д. В каждом из этих случаев правительственные организации определяют цену после получения информации от компаний, организаций или отраслей, на которые влияет это решение, а также от заинтересованных сторон (например, потребительских групп).
У фирм может возникнуть необходимость приспособиться к изменениям в конкурентном окружении в своей отрасли. Например, условия ценообразования на транспорте (авиалинии, грузовые автоперевозки, железные дороги и междугородные автобусные перевозки), в телекоммуникациях (телефонная связь) и финансовых рынках (банковских и брокерских фирмах) могут смениться с контролируемых правительством на контролируемые рынком.
В силу того, что стратегии ценообразования относительно легко и быстро копируются, можно предсказать реакцию конкурентов, если фирма, начинающая менять цены, добьется успеха. Соответственно фирма должна рассматривать цену как в краткосрочной, так и в долгосрочной перспективе. Излишняя конкуренция в ценах может привести к длительным и дорогостоящим ценовым войнам, в ходе которых различные фирмы постоянно пытаются установить цены ниже цен конкурентов для привлечения потребителей. Эти войны обычно приводят к низким прибылям или даже убыткам для участников, и некоторым фирмам приходится прекращать свою деятельность.
4. Издержки. Издержки на сырье, компоненты, рабочую силу, рекламу, транспорт и другие часто не могут контролироваться фирмой. Тем не менее эти расходы сильно влияют на конечные цены.
В период быстрого роста цен компании могут вести себя по-разному. Они могут не менять продукцию и перекладывать весь рост своих издержек на потребителей; не менять продукцию и переносить часть увеличения издержек на потребителей, а часть брать на себя; модифицировать продукцию так, чтобы уменьшить свои расходы и сохранить уровень цен (уменьшая размер, предлагая меньшее число вариантов или используя материалы более низкого качества); модифицировать продукцию так, чтобы потребители не возражали против более высоких цен (увеличивая размеры, предлагая больше вариантов или используя более качественные материалы), и /или прекратить выпуск невыгодной продукции.
Иногда, несмотря на самые лучшие намерения фирмы или отрасли, может потребоваться несколько лет для того, чтобы установить контроль над стремительно, растущими издержками (и ценами). В результате решения по ценам должны приниматься заранее, возможна лишь незначительная гибкость.
Если издержки уменьшаются, фирмы могут снизить цены или увеличить свою долю прибыли.
Вопросы для самопроверки.
1. Каковы главные факторы, которые определяют роль цены на рынке?
2. Дайте характеристику ценовой эластичности спроса.
3. Перечислите основные факторы, влияющие на уровень цен и дайте им краткую характеристику.




