ГЛАВА 11
Человеческий капитал – главное национальное богатство
(С.36-40, 72-73, 78-96, 121, 141-142, 146, 149-150 )
Разработчик:
Много в природе дивных сил,
Но сильней человека нет
Софокл
Истинный показатель цивилизации – не уровень
богатства, не величина городов, не обилие урожая,
а облик человека, воспитываемого страной
Очевидно, что математические, химические,
физические и биологические законы
оказывают огромное влияние на
человеческое поведение, воздействуя на структуру
предпочтений и производственные возможности
Беккер Гарри
Раздел 1. Основные понятия
Кривая Энгеля – взаимосвязь между доходом потребителя и потреблением определенных групп товаров
Человеческий капитал – опыт, образование, здоровье и навыки людей
ГЛАВА 10
Человеческий капитал
(С.79-97, 164)
Раздел 1. Основные понятия
Гастарбайтер - иностранный рабочий, находящийся на заработках в промышленно развитом государстве
Демографический взрыв – сверхвысокие темпы роста численности населения на определенной территории.
Диспансеризация - полное медицинское обследование
Инвестиции - вложение капитала
Миграция рабочей силы - движение (переселение) населения в трудоспособном возрасте в связи с изменениями условий жизни и размещения производства между регионами внутри страны или между государствами.
Миграция капитала - движение капитала между странами или из одной отрасли производства в другую в поисках более прибыльного его применения.
Мобильность – 1. способность к быстрому передвижению; 2. способность быстро ориентироваться в обстановке, находить нужные формы деятельности.
Мобильность рабочей силы – степень готовности работников переезжать из одного региона в другой (территориальная мобильность), менять один вид занятий на другой (межпрофессиональная мобильность).
Образование – 1. получение систематизированных знаний и навыков, обучение, просвещение; 2. совокупность знаний, полученных в результате обучения; 3. отрасль народного хозяйства, предоставляющая гарантированное Конституцией образование.
Патернализм - политика государства, направленная на всестороннее развитие и благополучие всех граждан. Названа так по типу отношений "родители - дети", где родительская роль отводится государству. При проведении патерналистской политики на государственный бюджет ложится очень высокое бремя социальных расходов. Развитый патернализм заметно снижает ответственность граждан за свою судьбу.
Природные ресурсы - часть природных условий существования людей
Профессия - основной род занятий, трудовой деятельности, свидетельство наличия у работника определенного набора знаний, умений, опыта, необходимых для качественного выполнения данной работы
Профессионал - человек, который занимается чем-либо профессионально, мастер своего дела
Трансфертные платежи - одна из форм перераспределения средств государственного бюджета. Их делят на три группы: денежные выплаты на социальны нужды(пенсии, пособия); выплата процентов по внутреннему государственному долгу(государственные займы), субсидии (субвенции) предпринимателям
Труд - процесс, совершающийся между человеком и природой, в котором люди, вооруженные средствами труда воздействуя на предметы природы своей целесообразной деятельностью, приспосабливают их для удовлетворения собственных потребностей
Семья – совместно проживающая и ведущая совместное домашнее хозяйство группа близких родственников, супругов.
Социальная политика - политика правительства, направленная на повышение благосостояния граждан, уровня и качества жизни населения
Человеческий капитал - капитал в форме интеллектуальных способностей и практических навыков, полученных в процессе образования и практической деятельности человека. Инвестиции в человеческий капитал означают затраты на здравоохранение, образование, техническое обучение и другую деятельность, способствующую повышению производительности и качества труда.
Раздел 2. Дидактические задания для учащихся
Подтвердите пословицей, что:
- Сразу не становятся профессионалом, на все нужно время и образование. (Москва не сразу строилась.) Один опытный работник стоит двух неопытных. (За одного битого двух небитых дают.) Специалист не добьется результатов, если возьмется сразу за несколько дел. (За двумя зайцами погонишься, ни одного не поймаешь.) И опытный мастер может ошибаться. ( И на старуху бывает проруха. Конь о четырех ногах, и тот спотыкается. ) Сначала нужно провести маркетинговое исследование, а потом открывать свое дело. (Не зная броду, не суйся в воду.) Нуждающийся в чем-либо человек изобретателен. (Голь на выдумки хитра.) Найдется кто-либо, кто займет вакантное место специалиста. (Свято место пусто не бывает.) От плохого работника следует избавиться. (Худую траву из поля вон.) Качественная работа мастера говорит сама за себя. (Хороший товар сам себя хвалит.)
Подводятся итоги.
2.1 Творческие задания по материалам книги
1. Заполните пропуски в таблице
Установите правильную последовательность факторов, влияющих на развитие страны. Объясните свой выбор. Совпадает ли ваше мнение с точкой зрения автора пособия?
|
Наиболее важные факторы, влияющие развитие страны |
Порядковый номер |
Собственное мнение |
|
Инфляция | ||
|
Добыча нефти и газа | ||
|
Дефицит бюджета | ||
|
«Шоковая терапия» | ||
|
Человеческий капитал |
3. Проблемные ситуации
1. Существует ли в нашей стране проблема перенаселенности? (с.81). Каковы ее последствия для страны в целом и для отдельного гражданина? Найдите в словаре определение термина «демографический взрыв»
2. К 2010 году в России будет жить почти на 8 миллионов человек меньше, чем жило в 1995 году (с.81). Как это может повлиять на экономику страны? Должно ли государство заниматься решением проблем демографического спада? Почему? Поможет ли современная миграционная политика?
3. В. Путин в 2007 году выдвинул предложения по стимулированию рождаемости – резкий рост пособий на детей, выплату начиная со второго ребенка «материнского капитала» (с.81).Является ли это стимулом для решения проблемы демографического спада? Если да - каким образом? Если нет, то почему?
4. В ближайшие годы Россия столкнется с реальной нехваткой рабочих рук. (с.82). Каково ваше отношение к проблеме привлечения новых трудовых мигрантов? Выскажите аргументы «за» и «против»
4. Экономический диктант.
Закончите предложения. Сверьте ваши дополнения с позицией автора книги (с. 81- 83, 92, 94-96).
1. Благодаря _______________ взрыву Индии и Китаю удается показывать впечатляющие результаты, так как они обладают дешевой ___________
силой.
2. В переводе с американского «беби-бум» - это увеличение ________________.
3. Словосочетание «ячейка общества» означает ____________.
4. Участие родителей в школьной жизни сводится к ______________ поддержке различных мероприятий и помощи в ремонте помещений.
5. Государство должно ______________ школы и все, что в них происходит.
6. Чем лучше человек ________________, тем больше у него шансов в жизни преуспеть.
7. Один _______________ в состоянии круто изменить будущее мальчика или девочки.
8. Существует много способов улучшения ____________, которые в состоянии применять каждый человек.
Ответы: 1.демографическому, рабочей; 2. рождаемости;3. семья; 4. финансовой; 5.контролировать; 6.образован; 7. учитель; 8. здоровья.
2.2 Задания для самостоятельной работы
1. Работа с таблицами
1. Проведите сравнительный анализ различных точек зрения на человеческий капитал. Заполните недостающими данными таблицу и сделайте выводы: Таблица
|
№ |
Название теории |
Авторы |
Содержание |
|
1. |
"Чикагская школа" человеческого капитала | ||
|
2. |
Теория «человеческого капитала» разработанная в 20 веке. | ||
|
3. |
Человеческий капитал как сложная категория общественного воспроизводства. | ||
|
4. |
Человеческий капитал – важнейший ресурс постиндустриального общества. | ||
|
5. |
Понятие «символического капитала – знания» | ||
|
6. |
Нетрадиционная оценка человеческого капитала | ||
|
7. |
Формула человеческого капитала | ||
|
8. |
Теория объективной стоимости человеческого капитала | ||
|
9. |
Теория «биологической элиты» | ||
|
10 |
Теория «фильтра». |
2. Вопросы для обсуждения
3. Каковы исторические причины появления концепции человеческого капитала?
4. Можно ли трактовать человеческий капитал как нечто отличное от самого человека?
5. Можно ли говорить о расширении сферы практического использования концепции человеческого капитала? Приведите конкретные примеры и объясните причины этого.
6. Проведите сравнительный анализ различных точек зрения на человеческий капитал.
7. Чем можно объяснить рост интереса ученых-экономистов к исследованию процессов производства и использования человеческого капитала в современных условиях?
8. Каковы особенности и достоинства неоклассического подхода к анализу человеческого капитала?
9. На чем строят критику неоклассической концепции сторонники теории "фильтра"?
10. Какие практические рекомендации по формированию экономической политики правительства можно сделать на основании неоклассической концепции (теории "фильтра", радикальной концепции)?
11. На какие основные группы можно разделить затраты на образование?
12. Как влияет возраст человека на его решение о получении дополнительного образования?
13. Имеются ли принципиальные отличия между критерием настоящей ценности и внутренней нормой отдачи?
14. Можно ли использовать концепцию человеческого капитала в анализе миграционных процессов?
Раздел 3. Задания для контроля знаний и умений
Тест
Выбрать правильный ответ
1. Семья имеет следующие основные источники доходов:
А) зарплаты, премии, дотации, материальная помощь;
Б) проценты, дивиденды, арендная плата;
В) пенсии, стипендии, пособия, страховые возмещения;
Г) трудовой доход, имущественный доход, трансферты.
2. Американский экономист, лауреат Нобелевской премии по экономике в 1992г, автор книги «Человеческий капитал»:
А) Пол Самуэльсон
Б) Гарри Беккер
В) Василий Леонтьев
Г) Герберт Саймон
1. Предложение труда отдельным человеком зависит от:
А) его предпочтения между трудом и досугом
Б) уровня зарплаты
В) миграции населения
Г) размера трудовых ресурсов
4. Основные факторы, влияющие на различия в уровне зарплаты, следующие:
А) спрос и предложение на труд, уровень образования, региональные различия;
Б) риск и тяжесть труда;
В) регулирование зарплат в государственном секторе;
Г) активность профсоюзов.
5. выводит формулу человеческого капитала, которая имеет следующий вид:
А) 0 = 4 Р – 12
Б) ЧК = Кз + Кк + Ко,
В) M х V = P х O
Г) Кч = Ко + Кб + Кл
Ответы: 1.г, 2.б, 3.в, 4.а, 5б
Раздел 4. Темы рефератов, докладов, сообщений и эссе
2. Дискуссионные вопросы в теории человеческого капитала.
3. Практические приложения концепции человеческого капитала.
4. Методы денежной оценки человека и его способностей.
5. Метод настоящей ценности потока будущих доходов и оценки эффективности инвестиций в человеческий капитал.
6. Влияние способностей человека, величины семейных имущественных активов и налогообложения на накопление человеческого капитала.
7. Структура инвестиций в человеческий капитал и её эволюция.
8. Факторы дифференциации трудовых доходов.
9. Роль и значение наследуемых способностей людей в формировании доходов и их дифференциации.
10. Эффективность инвестиций в человеческий капитал.
11. Спрос на образовательные услуги и определяющие его факторы.
12. Возможности использования концепции человеческого капитала в анализе трудовой и территориальной мобильности.
13. Возможности государственного регулирования накопления человеческого капитала в России.
Эссе
Проблемы семьи в условиях рыночной экономики.
Каково же назначение семьи? Почему происходящие в семье процессы могут влиять на экономику в целом? В чем причины экономического кризиса в семье? Есть ли предпосылки для изменения сложившейся негативной тенденции? Каковы основные пути повышения эффективности государственной помощи семье?
Литература
Беккер Гэри. Человеческий капитал. // США: экономика, политика, идеология
Беккер Гэри. Экономика семьи и макроповедение // США: экономика, политика, идеология. – 1994.
Беккер Гэри. Экономический взгляд на жизнь: Лекция лауреата Нобелевской премии в области экономических наук за 1992 г. // Вестник Санкт-Петербургского университетаСер. 5. - Вып. 3.
Макроэкономика. Европейский текст.- 1999.
, , Цыренова. капитал в транзитивной экономике: формирование, оценка, эффективность использования. СПб.: Наука. 1999.
Американский менеджмент на пороге ХХ1 века. М.: «Экономика». 1999.
Дятлов теории человеческого капитала. - СПб.: СПбУЭФ,1994.
Дятлов капитал России: проблемы эффективности использования в условиях переходной экономики. - СПб.: СПбУЭФ,1995.
Дятлов образования в условиях переходного периода. СПб. :СПбУЭФ, 1995.
Ильинский в будущее: образование в инновационном воспроизводстве. СПб.: Изд. СПбУЭФ. 1996.
. Смещение власти: знание, богатство и принуждение на пороге ХХI века. М.: ИНИОН АН СССР. 1991.
, , Человеческий капитал России - проблемы реабилитации // Общество и экономика. – 1993.
Киреев . Учебник для 10-11 классов, Москва, ВИТА, 2007.
Критский капитал. Л.: Изд. Ленингр. Ун-та. 1991.
Капитал. Т.1,2,3 // и Соч., 2-е изд.
, Разумова труда: экономическая теория труда: Учебное пособие. М.: ИНФА-М. 2000.
Урок – лекция
Тема: Теоретические основы современной концепции человеческого капитала.
План:
1. Основоположники теории человеческого капитала.
2. Дискуссионные вопросы в теории человеческого капитала.
3. Методы денежной оценки человека и его способностей
4. Человеческий капитал и труд.
5. Оценка выгодности инвестиций в образование.
6. Человеческий капитал и трудовая мобильность.
7. Капитал здоровья.
Еще десятки лет назад экономисты и аналитики наиболее важными факторами, влияющими на развитие страны, считали факторы экономические. Лишь недавно стало понятно, что человек - ключевая фигура в развитии экономики. Но эта проблема не нова для экономической науки.
С увеличением роли научно-технического прогресса в экономическом росте изменилось отношение западных экономистов-классиков к проблемам воспроизводства рабочей силы.
В целом неоклассическая теория рынка труда содержит:
(1) теорию спроса на труд, которая включает в себя теорию предельной производительности и связанный с нею аппарат производственных функций;
(2) теорию предложения труда, которая, в общем, состоит из моделей выбора между работой и досугом и моделей инвестирования в человеческий капитал.
Центр внимания ученых сфокусировался на проблемах создания качественно новой рабочей силы, в то время как ранее основными были проблемы использования данной рабочей силы. Структурные изменения в экономике современного капитализма и послужили той объективной основой, на которой возникла современная концепция человеческого капитала.
Классическим сочинением, во многом определившим дальнейшее направление исследований в этой области, считается книга Гаррри Беккера "Человеческий капитал" (первое издание – 1964 г., второе – 1975 г.)
Центральная установка "чикагской школы" человеческого капитала – объяснять экономические процессы на основе принципа максимизируещего поведения индивидуумов – перенесена на самые различные сферы внерыночной деятельности человека. При этом предполагается, что вложения средств в образование, здравоохранение, миграцию и другие виды деятельности производятся на рациональной основе – ради получения больших доходов в будущем. Эти затраты, или инвестиции, на производство человеческого капитала являются исключительно важными для семьи и для всего общества.
Под человеческим капиталом понимаются знания, навыки и способности человека, которые содействуют росту его производительной силы. “Человеческий капитал, - как определяют его большинство экономистов, - состоит из приобретенных знаний, навыков, мотиваций и энергии, которыми наделены человеческие существа и которые могут использоваться в течение определенного периода времени в целях производства товаров и услуг". Он есть форма капитала, потому что является источником будущих заработков, или будущих удовлетворений, или того и другого вместе. Он человеческий, потому что является составной частью человека.
Впервые термин использовал Теодор Шульц, а его последователь — Гарри Беккер развил эту идею, обосновав эффективность вложений в человеческий капитал и сформулировав экономический подход к человеческому поведению.
Применение понятия «человеческого капитала» позволяет понять роль социальных институтов, выяснить не только социальные параметры, но и провести экономический анализ влияния социального фактора на рыночную экономику. В XX в. Была разработана теория «человеческого капитала». Заложенные до этого методологические основы и главные направления теории «человеческого капитала» были сформулированы такими экономистами, как Г. Беккер, У. Боуэн, Э. Дженисон, Т. Шульц.
Суть теории «человеческого капитала» состоит в том, что одной из главных форм богатства являются материализованные в человеке знания, общие и специальные, его способность к производительному труду под понятием «человеческий капитал» нужно видеть:
1) приобретенный запас знаний, умений, навыков;
2) что этот запас целесообразно использовать в той или иной сфере общественной деятельности, и это способствует росту производительности труда и производства;
3) что использование данного запаса приводит к росту заработков (доходов) данного работника в будущем путём отказа от части текущего потребления;
4) что увеличение доходов способствует заинтересованности работника, и это приводит к дальнейшему инвестированию в человеческий капитал;
5) что человеческие способности, дарования, знания и т. д. являются неотъемлемой частью каждого человека;
6) и что мотивация является необходимым элементом для того, чтобы процесс воспроизводства (формирование, накопление, использование) человеческого капитала носил полностью завершенный характер.
Беккер в своей работе «Человеческий капитал» вводит понятие «специального человеческого капитала», то есть под этим понимаются только те навыки, которые представляют интерес для какой-либо одной фирмы, какого-либо одного вида деятельности.
К ожидаемой отдаче от инвестиций в человеческий капитал относятся более высокий уровень заработков, большее удовлетворение от избранной работы в течение жизни, а также более высокая оценка нерыночных видов деятельности.
К затратам на производство человеческого капитала (к инвестициям в человеческий капитал) относятся:
1) прямые затраты, в том числе плата за обучение и другие расходы на образование, смену места жительства и работы;
2) упущенный заработок, являющийся элементом альтернативных издержек, поскольку получение образования, смена места жительства и работы связаны с потерей доходов;
3) моральный ущерб, так как получение образования является трудным и часто неприятным занятием, поиск работы утомляет и истощает нервную систему, а миграция приводит к потере старых друзей и знакомых.
Производительные качества и характеристики работника были признаны особой формой капитала на том основании, что их развитие требует значительных затрат времени и материальных ресурсов и что они, подобно физическому капиталу, обеспечивают своему владельцу более высокий доход:
В последние десятилетия идея, что капитал состоит из одних физических активов, была подорвана. На ее месте постепенно утвердился более всеобъемлющий взгляд, согласно которому капиталом является любой актив - физический или человеческий, обладающий способностью генерировать поток будущих доходов.
Человеческий капитал – это сложная категория общественного воспроизводства, имеющая системную структурно-функциональную организацию. находит, что в структуре производительных сил человека необходимо различать две стороны: рабочую силу или (способность к труду) и потребительскую силу (или способность к потреблению). По его мнению, труд есть функция рабочей силы, потребление – функция потребительной силы. Добрынин понимает под человеческим капиталом имеющийся у человека запас здоровья, знаний, навыков, способностей, мотиваций, которые содействуют росту его производительности труда и влияют на рост доходов (заработков).
считает, что важнейшими свойствами живой человеческой личности являются способность к труду и способность к потреблению, входящие в структуру производительных сил человека.
Для постиндустриального общества характерно воспроизводство производительных сил человека не в товарной форме, а в форме человеческого капитала.
Человеческий капитал – это форма выражения производительных сил человека на постиндустриальной стадии развития общества с социально-ориентированной экономикой рыночного типа. По мнению Т. Стоуньер, человеческий капитал – важнейший ресурс постиндустриального общества. Техника, создающая богатства, приходит в жизнь через технологические знания и организационные усовершенствования. И только опытная квалифицированная рабочая сила способна управлять высокотехнологическим процессом. Кроме этого, необходимо знание деловой конъюнктуры, рыночных возможностей, способов их практического применения, но и в этом случае нам необходимы знания человека, его «капитал», используемый в процессе производства для создания богатства общества.
Возникновение теории «человеческого капитала» связано также с расширенной трактовкой понятия национального богатства. Суть теории «человеческого капитала» состоит в том, что «одной из главных форм богатства являются материализованные в человеке знания, общие и специальные, его способность к производительному труду». К нематериальным формам богатства Дж. Кендрик, как и многие американские экономисты, относит накопленные научные знания, которые материализуются в новой технологии. Расширенная концепция национального богатства включает в себя и вложения в здоровье человека.
Для всего общества выгода состоит в том, что происходит дополнительный прирост продукции. Беккер в своей работе «Человеческий капитал» вводит понятие «специального человеческого капитала», то есть под этим понимаются только те навыки, которые представляют интерес для какой-либо одной фирмы, какого-либо одного вида деятельности. О. Тоффлер вводит понятие «символического капитала – знания», который в отличие от традиционных форм капитала неисчерпаемо и одновременно доступно бесконечному числу пользователей без ограничений.
дает нетрадиционную оценку человеческого капитала: «Человеческий капитал исходно выступает как всеобщая конкретная форма жизнедеятельности, ассимилирующая предшествующие формы, и осуществляющаяся как итог исторического движения человеческого общества к его современному состоянию.
Человеческий капитал, являясь частью совокупного капитала представляет собой накопленные затраты на общее образование, специальную подготовку, здравоохранение, перемещение рабочей силы. Виды «человеческого капитала» экономисты классифицируют по видам затрат, инвестиций в «человеческий капитал». выделяет вследствие этого следующие составляющие: капитал образования, капитал здоровья и капитал культуры. Таким образом, по его мнению, формула человеческого капитала принимает следующий вид:
ЧК = Кз + Кк + Ко,
Где ЧК – человеческий капитал;
Ко – капитал образования;
Кз – капитал здоровья;
Кк – капитал культуры.
Рентабельность человеческого капитала исчисляется путем отнесения доходов от него к его стоимости. Показатель этот получил название "норма отдачи". Норма отдачи выполняет те же функции, которые применительно к физическому капиталу выполняет норма прибыли, а именно – измеряет степень эффективности человеческих инвестиций и реализует их распределение.
Различают два вида человеческого капитала:
потребительский, создаваемый потоком услуг, потребляемых непосредственно (творческая и образовательная деятельность); производительный, потребление, которого содействует общественной полезности (создание средств производства, технологий, производственных услуг и продуктов).Человеческий капитал классифицируется по формам, в которых он воплощен:
- живой капитал включает в себя знания, здоровье воплощённое в человеке; неживой капитал создаётся, когда знания воплощаются в физических, материальных формах; институциональный капитал представляет собой институты, содействующие эффективному использованию всех видов человеческого капитала.
Для характеристики качества человеческого капитала (уровня, качества, количества) используется система показателей. Это показатели – интегральные, частные, социальные (натуральные) и экономические (стоимостные).
А Акулин отмечает, что полная динамика затрат и результатов позволяет определить объективную стоимость – цену человеческого капитала по различным видам труда. Пользуясь этими ценами, можно определить объективную стоимость человеческого капитала так же, как стоимость капитала и труда.
Стоимость человеческого капитала экономисты определяют как на макро - так и на микроуровнях.
Микроуровень – это стоимость затрат фирмы по восстановлению человеческого капитала фирмы. А именно:
- повышение квалификации уже принятых работников; медицинское обследование; оплата больничных листов нетрудоспособности; затраты по охране труда; добровольное медицинское страхование, оплаченное фирмой; оплата медицинских и других социальных услуг за работника фирмы; благотворительная помощь социальным институтам и т. п.
Мотивация фирм заключается в том, что доход, получаемый при этом, будет выше, чем произведённые затраты.
На макроуровне мы рассматриваем социальные трансферты, оказываемые населению, как в натуральной, так и в денежной форме, а так же льготное налогообложение, которое является целевыми затратами государства. К таким затратам относятся и затраты домашних хозяйств на сохранение и восстановление человеческого капитала.
Важнейшими формами вложений в человека считаются:
Образование и подготовка на производстве(on – the job training), повышающие уровень знаний человека, т. е. увеличивающие объем человеческого капитала. Охрана здоровья, сокращающая заболеваемость и смертность, продлевающая срок службы человека, а также увеличивающая интенсивность его использования.Образование и здравоохранение - это факторы долговременного действия. Продуктом процесса образования является качественно новая рабочая сила с высоким уровнем квалификации, способная к труду большей сложности. Охрана здоровья делает человека способным к более интенсивному и продолжительному труду.
Миграция и поиск информации, способствующие перемещению рабочей силы в районы и отрасли, где труд лучше оплачивается, т. е. туда, где цена за услуги человеческого капитала выше. Рождение детей и уход за ними, представляющие собой форму воспроизводства человеческого капитала в следующем поколении.В отличие от них миграция и поиск информации выступают как факторы кратковременного действия. Если образование и охрана здоровья связаны с действительным ростом стоимости рабочей силы, то миграция и поиск информации отражают колебания цены рабочей силы вокруг стоимости. Миграция и поиск информации - это процессы распределительного порядка, тогда как образование и здравоохранение представляют собой отдельные моменты в производстве рабочей силы.
Экономисты признают, что создание человеческого капитала (например, процесс обучения) требует активных трудовых усилий от "инвестора": Студенты учатся, что представляет собой работу…Студенты не наслаждаются досугом во время учебы, они не заняты целиком потребительской деятельностью.
Человеческий капитал (т. е. запас знаний и способностей, накопленных работником) может реализоваться только в труде своего обладателя. Напротив, возрастание стоимости капитала не требует от собственника каких-либо затрат труда с его стороны.
Но, отличаясь по своему экономическому содержанию, формирование физического капитала и формирование человеческого капитала (рабочей силы) имеют определенное технико-экономическое сходство: и то, и другое требует отвлечения значительных средств в ущерб текущему потреблению, от обоих зависит уровень развития экономики в будущем, оба типа вложений дают длительный по своему характеру производительный эффект.
Что же тогда означает выдвижение понятия “человеческий капитал”? Не более чем осознание того факта, что навыки и способности людей могут быть запасом, то есть могут быть накапливаемы. Таким образом, западная политэкономия вновь открыла для себя то, что было известно еще Адаму Смиту и Давиду Рикардо и что отмечал Карл Маркс. "Воспроизводство рабочего класса, - писал он, - включает в себя накопление его искусства, передаваемого из поколения в поколение". Более того, К. Маркс подчеркивал, что с точки зрения непосредственного процесса производства развитие человеческих способностей "можно рассматривать как производство основного капитала, причем этим основным капиталом является сам человек".
Вывод: Экономисты при определении понятия «человеческий капитал» учитывают следующие особенности.
1. Человеческий капитал является главной ценностью современного общества, а также основополагающим фактором экономического роста.
2. Формирование человеческого капитала требует значительных затрат как от самого индивидуума так и от общества в целом.
3. Человеческий капитал может быть накоплен, а именно индивидуум может приобретать определённые навыки, способности, может увеличить своё здоровье.
4. Человеческий капитал на протяжении своей жизни не только приобретает знания, но и изнашивается, как физически, так и морально. Устаревают знания индивидуума, т. е. экономически изменяется стоимость человеческого капитала в процессе бытия, человеческий капитал амортизируется.
5. Инвестиции в человеческий капитал дают своему обладателю, как правило, в будущем более высокий доход. Для общества вложения дают более длительный (по времени) и интегральный (по характеру) экономический и социальный эффект.
6. Инвестиции в человеческий капитал носят довольно длительный характер. И если инвестиции в человеческий капитал образования имеют период 12 – 20 лет, то в капитал здоровья человек производит вложения в течение всего периода времени.
7. Человеческий капитал отличается от физического капитала по степени ликвидности. Человеческий капитал не отделим от его носителя – живой человеческой личности.
8. Прямые доходы, получаемые человеком, контролируются им самим независимо от источника инвестиций.
9. От решения человека, от его волеизъявления зависит функционирование человеческого капитала. Степень отдачи от применения человеческого капитала зависит от индивидуальных интересов человека, от его предпочтений, его материальной и моральной заинтересованности, мировоззрений, от общего уровня его культуры.
Особое значение имеет распределительный аспект теории человеческого капитала. Обычно в центре внимания находится так называемое функциональное распределение, т. е. распределение дохода по факторам производства - труду, земле и капиталу.
В концепции человеческого капитала вводится еще один фактор - человеческий капитал. В нем основной аспект сделан на личном распределении доходов, достающихся владельцам этого четвертого фактора.
Два классических фактора производства - капитал и труд могут быть подразделены следующим образом: капитал - на природные ресурсы, воспроизводимые материально-вещественные активы и финансовые активы, а труд - на чистый (однородный) труд, человеческий капитал и природные способности".

Капитал в традиционном смысле ( физический капитал):
Природные ресурсы
традиционная рента.
Воспроизводимые материально-вещественные активы
прибыль на капитал.
Финансовые активы
процент.
Человеческий капитал и труд:
Воспроизводимый человеческий капитал
доход на человеческий капитал.
Природные способности
рента на природные способности.
Чистый труд в узком смысле
чистая заработная плата.
Основная проблема: какова связь между качеством труда и его оплатой и в какой степени эта связь искажается действием различного рода привходящих факторов?
Образование далеко не единственная детерминанта заработков. Мотивации, производственный опыт, уровень способностей, социальное происхождение, состояние здоровья - все это так или иначе отражается на величине зарплаты. Поэтому приписывание образованию всей разницы в заработках между группами с разным уровнем подготовки приводит к завышению действительного экономического эффекта обучения.
Первый фактор - социальное происхождение - объясняет, кто получает высшее образование, но не объясняет, почему заработки этих людей выше.
Второй фактор - различия в уровне здоровья индивидуумов. Состояние здоровья каждого человека трактуется в концепции человеческого капитала как капитал, одна часть которого является унаследованной, а другая - благоприобретенной. В течение всей жизни человека происходит износ этого капитала, все более и более ускоряющийся с возрастом. (Смерть понимается как полное обесценивание фонда здоровья.) Инвестиции, связанные с охраной здоровья, способны замедлять темп данного процесса. Поток услуг, производимых фондом здоровья, сводится, таким образом, к "свободному от болезней времени".
Большинство западных исследователей полагают, что лица с лучшей образовательной подготовкой более эффективны в производстве и использовании своего "капитала здоровья": ведут более здоровый образ жизни, избирают в среднем не такие вредные и опасные профессии, разумнее пользуются медицинскими услугами и т. д.
Вместе с тем высокое образование и хорошее состояние здоровья могут быть независимыми следствиями какой-либо общей для них причины. Например, чем меньше у человека так называемая "субъективная норма предпочтения времени" (т. е. степень его предпочтения настоящих благ будущим), тем активнее он уже сегодня заботится о своем завтрашнем и послезавтрашнем дне.
На практике это может выразиться в большей склонности к сбережениям, в меньшей склонности к приобретению товаров в кредит, а также в готовности больше инвестировать в человеческий капитал - как в форме образовательных вложений, так и в форме вложений в "запас здоровья".
Факторы дифференциации заработков
Сторонники концепции человеческого капитала стремятся объяснить различия в заработках такими традиционно-экономическими причинами, как уровень образования, качество обучения, возраст, объем производственного опыта, продолжительность рабочего времени и т. п.
Программное значение для концепции человеческого капитала получила вышедшая в 1974 г. книга Джорджа Минцера "Образование, опыт и заработки". В ней показывается, что связь заработков с образованием не остается постоянной в течение всей жизни работника.
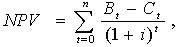
"Чистая приведенная ценность" – (net present value – NPV) – наиболее точная мера экономической ценности образования.

где NPV - "чистая приведенная ценность потока будущих доходов";
Bt - доход от образования в период времени t;
Ct - издержки обучения в период времени t;
n - число периодов времени;
i - рыночная норма процента.
Образование не обязательно должно трактоваться как независимая переменная. Уровень образовательной подготовки во многом зависит от природных способностей человека (его "генетического фонда") и условий его воспитания в семье. Образование, следовательно, может выступать всего лишь как посредник, передающий на заработки воздействия, которые исходят от этих глубинных причин.
Р. Херрнстейн доказывает, что устранение всевозможных социальных привилегий и преимуществ привело бы к выделению некоей "биологической элиты" и к замене существующего экономического неравенства новой, еще более несправедливой его формой, основанной на различиях в генетическом потенциале.
Радикальные экономисты придерживаются прямо противоположной точки зрения. На их взгляд, место работника в иерархии доходов обусловливается не его врожденными качествами и не его собственными усилиями, а его социальным происхождением. В качестве измерителей последнего используются показатели семейного дохода, уровень образования родителей, профессиональный статус главы семьи, передача из поколения в поколение ценностных установок, мотиваций и стереотипов поведения. и т. д. По их мнению, образование выступает просто как посредник, преобразующий неравенство в социальном происхождении в неравенство доходов.
Если на разных уровнях производственной иерархии требуются работники с разными поведенческими характеристиками и если развитие этих характеристик осуществляется в основном в семье, то социальное происхождение может быть важнейшей причиной воспроизводства экономического неравенства, даже помимо его влияния на уровень образования.
Важную роль в понимании роли образования играет теория «фильтра». Один из зачинателей этой теории английский экономист П. Уилс писал, что суть ее заключается в том, что образование - средство отбора, устройство, сортирующее учащихся по их производственным качествам. Центральная идея этой теории - выдвижение на первый план не производительной, а селективной (информационной) функции образования.
Как же образование выполняет свою информационную функцию? Поскольку предполагается, что более одаренные люди достигают в среднем более высоких ступеней образования, то, следовательно, в процессе обучения происходит как бы сортировка учащихся по уровню их способностей.
Естественно, что при найме работников предприниматели будут использовать информацию о потенциальной производительности работника.
Условиями эффективности являются:
- платность получения образования. Если оно будет даровым, то его могут приобретать как более, так и менее способные лица, так что по наличию образования нельзя будет судить о деловых качествах человека; стоимость приобретения образования должна быть обратно пропорциональна производительности работника, т. е. чем способнее человек, тем дешевле должно ему обходиться получение образования. Если же издержки получения образования выше для менее способных, то они будут приобретать его в меньших размерах (например, они будут раньше прекращать учебу).
В теории “фильтра” скептически оцениваются возможности неограниченного роста образования, поскольку важен не абсолютный уровень образовательной подготовки, а его дифференциация между неодинаковыми по своим производственным характеристикам категориям рабочей силы. Поэтому повышение уровня образования само по себе не способно ни ускорять экономический рост, ни сокращать безработицу.
Особое значение в теории “фильтра” получают экзаменационные испытания. В “чистом” виде образовательный фильтр вообще можно представить состоящим из одних экзаменов. Их отмена или ослабление резко снизили бы информационную ценность образования. Узкая специализация расценивается в программе теории “фильтра” как необязательная, ибо предпринимателей интересуют прежде всего природные способности работника, а не объем знаний, полученных во время учебы.
С. Боулс видит главную задачу в том, чтобы образование выполняло две основные функции:
делать будущих работников производительными, наделяя их необходимыми профессиональными знаниями и навыками, причем масштабы образовательной деятельности должны быть достаточны для создания резервной армии квалифицированного труда, что способствует снижению издержек производства; вырабатывать у учащихся эмоциональные характеристики и стереотипы поведения, необходимые для работы на предприятии.Оценка выгодности инвестиций в образование
Выгоды от образования могут выступать в виде:
- более высоких заработков в будущем; более широкого доступа к интересной, приятной и перспективной работе; высокого престижа профессии или повышенного удовольствия от нерыночных видов деятельности в будущем.
Некоторые люди рассматривают образование как потребительское благо, им нравится посещение лекций и образ жизни студентов. Одни удовлетворяют свою любознательность, получают удовольствие от самого процесса обучения, другие стремятся к образованию из-за долгосрочных выгод.
Так или иначе, выгоды от образования можно получать длительное время, практически всю жизнь. Выгоды в будущем имеют меньшую ценность по сравнению с такими же выгодами, получаемыми сегодня.
Во-первых, если расходовать доходы на потребление, то желательно это сделать раньше. Существует психологическое предпочтение потребления во времени, выражаемое высказыванием “лучше синица в руках, чем журавль в небе”. Будущие удовольствия проблематичны из-за превратностей жизни.
Во-вторых, если дополнительные доходы использовать как инвестиции в физический капитал с целью получения прибылей в будущем, то и это лучше сделать раньше, чем позже.
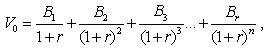
Поэтому в любом случае будущие выгоды необходимо дисконтировать, приводя к одному моменту времени.
В настоящий момент времени текущая стоимость потока будущих ежегодных выгод в течение N периодов может быть рассчитана по формуле

где V0 – текущая стоимость;
r – процентная ставка (ставка дисконтирования);
Вn – выгода (доход), получаемая в период n;
Если r = 0,06, то выгода, получаемая через 30 лет, будет составлять только 17% от выгоды, получаемой немедленно. Чем меньше r, тем больше вес будущих выгод: например, если r = 0,02, то выгода, получаемая через 30 лет, составит 55% от выгоды, получаемой немедленно.
Затраты на образование студента колледжа в США составляли в начале 90-х годов от 16 до 30 тыс. долл. в год (прямые затраты плюс упущенный заработок).
Человек, поступающий в институт, выбирает один из двух альтернативных потоков заработков: поток А начинается сразу после окончания школы, но при этом не очень велик; поток В (выпускники институтов) первые пять лет отрицательный (из-за расходов на обучение), но затем становится положительным и быстро растет, превышая заработки выпускников школ.
Рис. 4.1. Альтернативные потоки доходов выпускников школ и высших учебных заведений

Очевидно, что суммарные заработки за время жизни работников с высшим образованием должны превзойти заработки работников со средним общим образованием.
Дополнительные доходы от высшего образования для многих людей являются стимулом для инвестиций в образование. Суммарные дополнительные доходы, связанные с полученным образованием, должны намного превышать инвестиции в образование, поскольку дисконтирование будущих доходов уменьшает их величину при приведении к настоящему моменту времени. Таким образом, инвестиции в образование выгодны, если текущая стоимость (V0) потока будущих дополнительных доходов превышает инвестиции в образование, то есть

где С – общие затраты на высшее образование;
Вn – ежегодная разница в заработках выпускников высших учебных заведений и общеобразовательных школ.
Существуют два критерия оценки эффективности инвестиций в образование:
- Метод расчета настоящей (текущей) ценности потока будущих доходов и сравнения с ней объема инвестиций в образование. Метод внутренней нормы отдачи, показывающий, при какой ставке процента текущая ценность потока будущих доходов равна инвестициям в образование.
В реальной жизни вряд ли кто-нибудь принимает решение о поступлении в высшее учебное заведение на основе расчетов об эффективности инвестиций в высшее образование. Тем не менее абитуриенты используют те или иные оценки (свои собственные, родителей и знакомых) и принимают во внимание возможность получения дополнительных доходов после завершения образования и необходимость осуществления затрат на него.
Поэтому можно сделать четыре предположения, касающихся спроса на высшее образование:
- в большинстве случаев студентами становятся люди в молодом возрасте; вероятность поступления в высшее учебное заведение людей, ориентированных на текущее потребление, меньше, чем людей, ориентированных на получение доходов в будущем (при прочих равных условиях); количество обучающихся в платных высших учебных заведениях уменьшается при увеличении расходов на обучение (при прочих равных условиях); количество обучающихся в высших учебных заведениях возрастет, если различия в заработках лиц с высшим образованием и выпускников школ увеличатся (снова при прочих равных условиях).
Ориентация на будущее и на настоящий момент.
Психологи используют термин “ориентированные на настоящее” для людей, которые не просчитывают последствия своих поступков или решений на будущее. Эти люди или полностью игнорируют будущее, или имеют норму дисконтирования выше среднего, что приводит к занижению оценок будущих доходов (или затрат).
Человек, ориентированный на настоящее, ниже оценивает выгоды, связанные с получением образования. Такие люди гораздо реже принимают решения о получении высшего образования, чем люди, ориентированные на будущее. Это утверждение трудно подтвердить или опровергнуть.
Хотя логика теории человеческого капитала приводит к выводу, что люди, склонные к инвестициям в образование, занимаются также и другой деятельностью, ориентированной на будущее (например, больше заботятся о своём здоровье). Медицинские статистические данные подтверждают этот вывод. Для людей, получивших высшее образование, характерны более низкий уровень смертности, меньшее количество симптомов различных заболеваний (например, высокое кровяное давление, высокий уровень холестерина в крови и плохие рентгеновские снимки) и хорошее здоровье (по их оценке).
Причиной такой корреляции может быть более серьезное отношение к будущему людей с высшим образованием. Люди с низкими индивидуальными ставками дисконтирования с большей вероятностью будут стремиться к обучению в высших учебных заведениях и в большей степени заботиться о своем здоровье (чаще выбирать здоровую диету, заниматься спортом, вести здоровый образ жизни и избегать ненужного риска). Можно считать, что люди, вкладывающие капитал в образование, также контролируют свое поведение с учетом будущего.
Влияние возраста.
При одинаковых (или даже меньших) затратах на образование у молодых людей впереди более долгая трудовая жизнь поэтому при одинаковых ежегодных дополнительных доходах от образования выше текущая ценность потока будущих доходов и, соответственно, выше эффективность инвестиций в образование, чем у людей старших возрастов.
Издержки, связанные с образованием.
Инвестиции в человеческий капитал тем более вероятны, чем ниже затраты, связанные с образованием.
Затратами, связанными с получением образования, являются расходы на оплату обучения и учебников, питание, одежду, жилище и транспорт. Кроме того, необходимо учитывать упущенные заработки и моральные издержки. Последние издержки, тем выше, чем старше человек, получающий образование. С возрастом увеличиваются опыт и производственные навыки и, соответственно, заработная плата, поэтому альтернативные издержки выше, чем у молодежи.
Моральные издержки связаны с возрастом и способностями. Для людей, не относящихся по возрасту к молодёжи, получение образования связано с большими моральными издержками, им труднее выделять время на обучение, отрывая его от исполнения семейных обязанностей (или отказываясь от семейной жизни). Они отвыкли от учебного процесса, и многое забыли, давно закончив школу, менее комфортно чувствуют себя в студенческой аудитории.
Более способным студентам, легко и хорошо учившимся в школе, учеба в высшем учебном заведении также дается легче и приносит больше радости, чем менее способным. Кроме того, более способные тратят на учёбу меньше времени и меньше денег. При повышении издержек, связанных с получением образования, чаще отказываются от поступления в колледжи люди со средними способностями и люди, для которых моральные издержки при обучении и на экзаменах оказываются сравнительно высокими. Например, в исследованиях, посвященных анализу влияния на решение учиться наличия колледжа в городе, показано, что это влияние сильнее для студентов средних способностей, чем для студентов с большими способностями.
Влияние различий в заработках у лиц с высшим и средним общим образованием на принятие решения о получении образования.
Спрос на образование растет с увеличением разрыва в заработках у лиц с высшим и средним образованием. В экономической теории ожидаемые выгоды являются главным мотивом при принятии тех или иных решений. Но будущие заработки любого человека трудно предсказать с достаточной степенью определенности, кроме того, студенты не могут быть полностью уверены в правильности выбора профессии и успешности завершения программы обучения. Ряд американских экономистов провели интересные исследования о роли фактора неопределенности в модели выбора, а также анализ умственных способностей студентов и выбора колледжа.
Можно предположить, что средние доходы, получаемые выпускниками высших учебных заведений, влияют на решения студентов.
Если различие в средних доходах выпускников вузов и средних школ невелико, то можно ожидать невысокого спроса на высшее образование. Если эти различия велики, то можно ожидать увеличения числа желающих обучаться в вузах.
Различия в заработках и спрос на образование. Паутинообразная модель
Спрос на платное образование зависит от различий в заработках лиц с разным его уровнем. Получение образования связано с вложениями капитала, то есть с явными и неявными издержками. Но на уровень доходов от образования влияет количество людей, получивших его и предлагающих свои услуги на рынке труда.
Рис.4.2. Рынок для выпускников высших учебных заведений с учетом изменений в спросе

Для анализа взаимосвязей между доходами от образования и числом специалистов на рынке труда рассмотрим простую модель рынка труда (рис. 4.2).
Кривая предложения труда S на рис. 4.2 направлена вверх, так как с ростом заработной платы специалистов с высшим образованием увеличивается количество желающих получить его и, соответственно через некоторое время, растёт число специалистов.
Кривая спроса D наклонена вниз, так как с уменьшением заработной платы растет спрос на специалистов. Если данная сфера применения труда быстро расширяется, как, например, число коммерческих банков и прием на работу в них бухгалтеров и финансистов в России в 1991 – 1995 гг., то кривая спроса на специалистов данного профиля сдвигается вправо – вверх, до D2, что сопровождается ростом и заработной платы и их численности. Но поскольку подготовка специалистов происходит с запаздыванием, так как на получение образования уходит 4 - 5 лет, резкое повышение заработной платы банковских служащих не сопровождается быстрым ростом их предложения на рынке труда. Более того, быстрое увеличение спроса на финансовое образование (как это было в России в первой половине 90-х годов) может привести в последующие годы к перепроизводству работников.
Неспособность системы высшего образования быстро реагировать на изменения спроса на специалистов может стать причиной возникновения циклов на рынке труда, состоящих из бумов и спадов. Например, первоначальная нехватка банковских служащих привела к росту их заработной платы и спроса на услуги образования по финансовым дисциплинам. Затем, через 5 - 6 лет, пришедшие на рынок труда молодые специалисты создали избыток предложения работников с высшим образованием по финансам и банковскому делу. Заработная плата банковских служащих снизилась, и привлекательность получения данной профессии упала, что уменьшило спрос на этот вид образования. Но большая часть студентов, уже обучающихся по специальности “Финансы и банковское дело”, скорее всего, будет продолжать учебу, и избыточное предложение на рынке труда финансистов сохранится еще несколько лет. Однако со временем число учащихся по данной специальности студентов будет все уменьшаться, и приток финансистов труда на рынок окажется ниже спроса на них. Результатом станет новое повышение заработной платы банковских служащих и новый виток роста спроса на этот вид образования.
Описанный циклический процесс изменения заработной платы и числа специалистов, предлагающих свои услуги на рынке труда финансистов, иллюстрируется на рис. 4.3.
Исходное состояние (N0 , W0) - в точке А0, затем произошел сдвиг кривой спроса на финансистов от D до D1. Это привело к повышению заработной платы от уровня W0 до W1 и достижению равновесия рынка труда в точке А1, в которой пересекаются предложение финансистов N0 и новая кривая спроса на них D1. После расширения подготовки финансистов предложение их услуг на рынке труда повышается до N1. В результате заработная плата финансистов снижается до уровня W2,что приводит через несколько лет к сокращению подготовки финансистов и их нехватке на рынке труда. Снижение предложения до уровня N2 влечет повышение заработной платы финансистов до уровня большего W*. что создает дополнительные стимулы для расширения их подготовки.
После нескольких таких циклических колебаний достигается новая точка равновесия на рынке труда с заработной платой W* и числом финансистов на рынке труда N*.
В данном случае амплитуда колебаний заработной платы и числа специалистов постепенно уменьшается, а процесс достижения равновесия заканчивается. Данный график процесса приспособления рынка к сдвигу кривых спроса (или предложения) называют паутинообразной моделью. Для достижения равновесия в паутинообразной модели необходимо, чтобы кривая спроса была менее крутой, чем кривая предложения. В ином случае амплитуда колебаний будет с каждым циклом увеличиваться и рынок труда никогда не придет к равновесию. Такая ситуация "хаоса" может возникнуть на рынке товаров с неэластичным спросом, когда "рынок идет вразнос" при небольших нарушениях первоначального рыночного равновесия.
Рис. 4.3. Рынок труда финансистов: паутинообразная модель

Человеческий капитал и трудовая мобильность
Во всех странах люди довольно часто меняют работу и место жительства. Кроме переездов из города в город внутри одного государства существует и международная миграция. В какой степени текучесть кадров и миграция вызываются экономическими причинами и как она сказывается на величине человеческого капитала отдельных людей и общества в целом?
Смена места работы (мобильность) сопровождается определенными затратами, как материальными, так и моральными (временная потеря дохода, поиск новой работы, а иногда и переезд на новое место жительства и т. д.). Поэтому смена места работы связана со значительными краткосрочными инвестициями в человеческий капитал. Выгоды при этом могут иметь долгосрочный характер, если человек получит более высокооплачиваемую работу.
Модель человеческого капитала рассматривает добровольную мобильность как инвестиции, при которых краткосрочные затраты осуществляются с целью получения долгосрочных выгод. Если текущая ценность (приведенная к текущему моменту времени) выгод, связанных с мобильностью, превышает денежные и моральные издержки, то решение о смене работы или переезде рационально. Если же дисконтированный поток выгод не компенсирует издержки, то люди будут воздерживаться от таких действий.
Следовательно, любое решение о смене места работы зависит от текущей стоимости чистых выгод от мобильности большей нуля. Для расчетов текущей стоимости чистых выгод применяется следующая формула:

где W1 - текущая стоимость чистых выгод в году t=1;
Bjt - полезность (денежная или моральная), полученная от j–й работы в году;
Вit - полезность (денежная и моральная), полученная от i–й работы в году;
С - полезность, потерянная при переезде и смене работы (инвестиции в мобильность);
r - ставка процента;
Т - время (в годах), в течение которого получается полезность от мобильности.
Чем меньше затраты на смену работы и переезд и больше разница в выгодах от старой и новой работы, тем больше пользы от мобильности и тем больше людей будут принимать решение о смене работы или места жительства. На основании наблюдений за этими параметрами можно четко прогнозировать, какие социальные слои и профессиональные группы более склонны к смене места работы или места жительства и в каких направлениях будут идти потоки мигрантов.
Территориальная мобильность
Подавляющее большинство людей принимают решения о переезде по экономическим причинам. Об этом свидетельствуют данные социологических опросов в разных странах. Примерно половина всех переездов, по данным американских социологов, вызвана решением сменить работу. Следовательно, выводы теории человеческого капитала для миграции могут быть проверены на рынке труда.
Если выгоды от повышения заработной платы после переезда являются главным стимулом миграции, то мы должны наблюдать миграцию населения из районов с низким уровнем оплаты труда и узкими возможностями трудоустройства в те регионы, где эти факторы существенно выше. В Советском Союзе в течение десятилетий шли два потока миграции: из сельской местности в города и из давно освоенных регионов в Сибирь и другие районы нового освоения в основном на Север и на Дальний Восток). После распада СССР проявились новые тенденции - потоки беженцев и вынужденных переселенцев идут в Россию из бывших союзных республик, а внутри России - с европейского севера, Сибири и Дальнего Востока в южные и западные районы России. Большие масштабы приняла и эмиграция из России в развитые и развивающиеся страны, например в Германию, Израиль, США и т. п.
Теория человеческого капитала предсказывает, что люди будут перемещаться из регионов с относительно низкими доходами в районы с более высокими уровнями заработков и благоприятными условиями для проживания. Исследования американских экономистов и социологов показывают, что притягательность "хороших" регионов перевешивает эффект "выталкивания" районов с "плохими" условиями, то есть если наиболее интенсивные потоки мигрантов идут в районы с наилучшими возможностями для получения работы и высокими доходами, то они не всегда идут из районов с наиболее низкими заработками. Причиной такого результата является тот факт, что в беднейших районах проживают люди с более низким уровнем не только благосостояния, но и образования и профессиональной подготовки, то есть имеющие меньшие возможности переехать и трудоустроиться после переезда, Поэтому, помимо вопроса о том, куда люди стремятся переехать, важным является вопрос, кто именно с большей вероятностью переедет.
Индивидуальные характеристики мигрантов
Мобильность, согласно теории человеческого капитала, более высока среди молодежи и образованных людей.
Чем моложе человек, тем больше временной горизонт, на котором он может получать выгоды от инвестиций в свой человеческий капитал. Поэтому у молодых людей выше отдача от любых инвестиций в человеческий капитал.
Значительная часть затрат на миграцию - это моральные затраты. Они связаны с потерей друзей и знакомых, выгод от деловых и личных связей, знаний, необходимых для работы, и окружающей обстановки. У молодежи эти потери существенно меньше, чем у людей старшего возраста.
Для одной возрастной группы более вероятна миграция хорошо образованных, чем малообразованных. Это вызвано тем, что рынок труда для лиц с высоким уровнем образования значительно шире, чем для малообразованных, и фактически является в последние годы международным для людей с высшим образованием, знающих языки.
Миграция требует издержек:
Во-первых, необходимы затраты на сбор информации о районах с наилучшими возможностями для заработков и об условиях трудоустройства.
Во-вторых, денежные затраты на переезд увеличиваются с ростом расстояния, поэтому люди чаще переезжают на небольшие расстояния и реже на дальние. Кроме того, люди стремятся переехать в районы, где у них имеются родственники и знакомые или, по крайней мере, где живут люди, говорящие на одном с ними языке и имеющие одинаковые обычаи. Это позволяет снизить моральные и информационные издержки мигрантов.
Капитал здоровья
Капитал здоровья представляет собой инвестиции в человека, осуществляемые с целью формирования, поддержания и совершенствования его здоровья и работоспособности. Капитал здоровья является несущей конструкцией, основой для человеческого капитала вообще. Инвестиции в здоровье, его охрана, способствующие сокращению заболеваний и смертности, продлевают трудоспособную жизнь человека, следовательно, и время функционирования человеческого капитала.
Состояние здоровья человека - это его естественный капитал, часть которого является наследственной. Другая часть является приобретённой в результате затрат самого человека и общества. В течение жизни человека происходит износ человеческого капитала. Инвестиции, связанные с охраной здоровья, способны замедлить данный процесс. Не всякие инвестиции в человека могут быть признаны вложениями в человеческий капитал, а лишь те, которые общественно целесообразны и экономически необходимы. Капитал здоровья является национальным достоянием.
в понятии капитала здоровья выделяет базовый и приобретенный капитал. Первый, по его мнению, определяется совокупностью физиологических свойств человека, получаемых наследственным путём. Эти свойства во много определены заранее, хотя при современной генной инженерии возможны довольно успешные корректировки.
Приобретенный капитал образуется в процессе формирования и потребления физических свойств человека, осуществляемом в производственной деятельности. В условиях инновационного производства от человека требуется высокая скорость обработки информации, выносливость, быстрота реакции, скорость принятия решений.
Образец заполнения таблицы
|
№ |
Название теории |
Авторы |
Содержание |
|
1. |
"чикагская школа" человеческого капитала |
Гарри Беккер американский экономист, лауреат Нобелевской премии по экономике в 1992г, автор книги «Человеческий капитал»: |
Человеческий капитал — совокупность знаний, умений, навыков, использующихся для удовлетворения многообразных потребностей человека и общества в целом. Впервые термин использовал Теодор Шульц, а его последователь — Гарри Беккер развил эту идею, обосновав эффективность вложений в человеческий капитал и сформулировав экономический подход к человеческому поведению. При этом предполагается, что вложения средств в образование, здравоохранение, миграцию и другие виды деятельности производятся на рациональной основе – ради получения больших доходов в будущем. Эти затраты, или инвестиции, на производство человеческого капитала являются исключительно важными для семьи и для всего общества. |
|
2. |
Теория «человеческого капитала» разработаная в 20 веке. |
У. Боуэн, Э. Дженисон, Т. Шульц. |
Суть теории «человеческого капитала» состоит в том, что одной из главных форм богатства являются материализованные в человеке знания, общие и специальные, его способность к производительному труду под понятием «человеческий капитал» нужно видеть: 1) приобретенный запас знаний, умений, навыков; 2) что этот запас целесообразно использовать в той или иной сфере общественной деятельности, и это способствует росту производительности труда и производства; 3) что использование данного запаса приводит к росту заработков (доходов) данного работника в будущем путём отказа от части текущего потребления; 4) что увеличение доходов способствует заинтересованности работника, и это приводит к дальнейшему инвестированию в человеческий капитал; 5) что человеческие способности, дарования, знания и т. д. являются неотъемлемой частью каждого человека; 6) и что мотивация является необходимым элементом для того, чтобы процесс воспроизводства (формирование, накопление, использование) человеческого капитала носил полностью завершенный характер. |
|
3. |
Человеческий капитал как сложная категория общественного воспроизводства, имеющая системную структурно-функциональную организацию |
, |
находит, что в структуре производительных сил человека необходимо различать две стороны: рабочую силу или (способность к труду) и потребительскую силу (или способность к потреблению). По его мнению, труд есть функция рабочей силы, потребление – функция потребительной силы. считает, что важнейшими свойствами живой человеческой личности являются способность к труду и способность к потреблению, входящие в структуру производительных сил человека. понимает под человеческим капиталом имеющийся у человека запас здоровья, знаний, навыков, способностей, мотиваций, которые содействуют росту его производительности труда и влияют на рост доходов (заработков). Для постиндустриального общества характерно воспроизводство производительных сил человека не в товарной форме, а в форме человеческого капитала. |
|
4. |
Человеческий капитал – важнейший ресурс постиндустриального общества. |
Т. Стоуньер |
Техника, создающая богатства, приходит в жизнь через технологические знания и организационные усовершенствования. И только опытная квалифицированная рабочая сила способна управлять высокотехнологическим процессом. Кроме этого, необходимо знание деловой конъюнктуры, рыночных возможностей, способов их практического применения, но и в этом случае нам необходимы знания человека, его «капитал», используемый в процессе производства для создания богатства общества |
|
5. |
понятие «символического капитала – знания» |
О. Тоффлер |
О. Тоффлер вводит понятие «символического капитала – знания», который в отличие от традиционных форм капитала неисчерпаемо и одновременно доступно бесконечному числу пользователей без ограничений. |
|
6. |
нетрадиционная оценка человеческого капитала |
дает нетрадиционную оценку человеческого капитала: «Человеческий капитал исходно выступает как всеобщая конкретная форма жизнедеятельности, ассимилирующая предшествующие формы, и осуществляющаяся как итог исторического движения человеческого общества к его современному состоянию.» | |
|
7. |
Формула человеческого капитала |
Виды «человеческого капитала» экономисты классифицируют по видам затрат, инвестиций в «человеческий капитал». выделяет вследствие этого следующие составляющие: капитал образования, капитал здоровья и капитал культуры. Таким образом, по его мнению, формула человеческого капитала принимает следующий вид: ЧК = Кз + Кк + Ко. | |
|
8. |
Теория объективной стоимости человеческого капитала |
А Акулин |
Для характеристики качества человеческого капитала (уровня, качества, количества) используется система показателей. Это показатели – интегральные, частные, социальные (натуральные) и экономические (стоимостные). А Акулин отмечает, что полная динамика затрат и результатов позволяет определить объективную стоимость – цену человеческого капитала по различным видам труда. Пользуясь этими ценами, можно определить объективную стоимость человеческого капитала так же, как стоимость капитала и труда. |
|
9. |
Теория «биологической элиты» |
Р. Херрнстейн |
Р. Херрнстейн доказывает, что устранение всевозможных социальных привилегий и преимуществ привело бы к выделению некоей "биологической элиты" и к замене существующего экономического неравенства новой, еще более несправедливой его формой, основанной на различиях в генетическом потенциале. |
|
10 |
Теория «фильтра». |
Английский экономист П. Уилс |
Суть ее заключается в том, что образование - средство отбора, устройство, сортирующее учащихся по их производственным качествам. Центральная идея этой теории - выдвижение на первый план не производительной, а селективной (информационной) функции образования. |
Деловая игра "Подбор персонала"
Цель игры - сформулировать профессиональные требования к работнику, исходя из особенностей предприятия, и подобрать из нескольких кандидатур наиболее подходящую для замещения вакантной должности.
Элементы игры и их продолжительность
Сформировать команды по 4-8 чел., исходя из профессиональных интересов (5 мин). Наиболее рационально иметь не более 6 команд.
Определить тип предприятия и его организационно-правовую форму (2 мин).
Определить вакантную должность персонала, для которой будет вестись подбор работников (3 мин).
Распределить роли между членами команды (3 мин).
Построить методом "мозгового штурма" профессиональную модель работника по форме модели руководителя, приведенной в табл. (40 мин).
Подготовить оригинальное рекламное объявление в газету объемом не более 30 слов (10 мин).
Разработать модель служебной карьеры работника в виде таблицы(10 мин).
Подготовить вопросы для команд конкурентов (10 мин).
Подготовить итоговые доклады команды по модели, рекламе и карьере, продолжительностью не более 5 мин. Доклад делает "генератор идей" или организатор.
Выделить из команды члена жюри и дать экспертную оценку результатам работы команд конкурентов.
Подвести итоги игры и дать оценки работы команд.
Методика проведения игры
Рекомендуется сначала распределить роли внутри команды путем выделения из нее генератора идей, критика, эксперта, организатора и делопроизводителя и зафиксировать их в листе экспертной оценки. Команды рассаживаются вокруг стола в разных концах аудитории.
Затем необходимо сконцентрировать работу команд над разработкой профессиональной модели. Основной метод работы - "мозговой штурм". В этот период преподаватель в каждой группе поочередно выполняет функции консультанта, с тем, чтобы начать эффективную дискуссию. На это обычно уходит до 40 мин. Рекомендуется работать коллегиально, а конфликты разрешать путем голосования.
После разработки профессиональной модели целесообразно организовать параллельную работу в команде над моделью служебной карьеры (2 чел.), а критика попросить подготовить сложные вопросы для команд-конкурентов. На это отводится до 10 мин.
Затем необходимо сосредоточить усилия всей команды на подготовке итогового доклада, который делает обычно генератор идей или организатор. Следует рекомендовать команде подготовить сжатый и оригинальный доклад, а не читать готовый текст. Доклад лучше прорепетировать и строго контролировать, чтобы время доклада было не более 5 мин.
После доклада каждой команды организуется дискуссия в режиме "вопрос - ответ", при этом вопросы задают докладчику критики других команд. Важно, чтобы это были точные и остроумные вопросы, например: "Может ли учредитель полного товарищества быть соучредителем других предприятий?" или "Вы пьете кофе с коньяком после работы с секретарем, внезапно в кабинет заходит Ваша жена. Что Вы будете делать?"
Для оценки результатов игры и рейтинга слушателей важно организовать оценку участников игры. Это делается следующим образом. Организуется жюри из экспертов перед итоговыми докладами команд, которым выдается лист экспертной оценки с предложением дать оценку по пятибалльной шкале результатов работы команд (внешняя экспертиза) и работы игроков внутри команды. Путем сложения двух оценок Вы получаете командно-индивидуальный рейтинг игрока.
В конце игры преподаватель подводит итоги игры по командам, сообщает сценки команд и игроков и награждает победителя игры (лучшую команду и игрока) сувенирами (книгой, ручкой, брелком).
Общее время деловой игры 4 академических часа (3 астрономических), в том числе:
q введение в игру, раздача исходных документов, организация команд - 15 мин;
q внутрикомандная работа - 1 час 45 мин;
q доклады команд и обсуждение моделей - 45 мин;
q подведение итогов игры, оценки жюри, награждение - 15 минут.
Документы и тексты для проведения игры
Профессиональная модель рабочего места
|
Элементы модели |
Основные характеристики |
Весовой коэффициент |
|
1. Кадровые данные | ||
|
2.Опыт работника | ||
|
3. Профессиональные знания | ||
|
4. Профессиональные умения | ||
|
5. Личностные качества | ||
|
6. Психология личности | ||
|
7. Здоровье и работоспособность | ||
|
8. Уровень квалификации | ||
|
9. Служебная карьера | ||
|
10. Хобби (увлечения) | ||
|
11. Вредные привычки и недостатки | ||
|
12. Организация труда | ||
|
13. Оплата труда | ||
|
14. Социальные блага | ||
|
15. Социальные гарантии | ||
|
Итого: |
Модель служебной карьеры
|
Должность |
Возраст |
Оплата |
Способ занятия |
Обучение |
Рекламное объявление
Предприятие ____________________________________
Должность _____________________________________
Требования к должности __________________________
Условия оплаты труда ____________________________
Координаты предприятия _________________________
Вопросы для команд конкурентов
Лист экспертной оценки команды N ____
Внешняя экспертная оценка работы команд
|
Раздел игры |
Команда | ||||
|
1 |
2 |
3 |
4 |
5 | |
|
Профессиональная модель | |||||
|
Рекламное объявление | |||||
|
Модель служебной карьеры | |||||
|
Итого по 5-балльной системе |
Внутренняя оценка игроков команды
|
Роль в команде |
Оценка по 5-балльной шкале |
Подпись члена команды |
|
Генератор идей | ||
|
Организатор | ||
|
Критик | ||
|
Эксперт | ||
|
Делопроизводитель |
Тест для начинающего миллионера
Сможете ли Вы заработать миллион? Не знаете? Тогда пройдите этот короткий тест, отмечая подходящие варианты ответа.
1. Каким способом легче всего делать деньги:
а) много работать, быть хорошо информированным, рисковать и, конечно же, вкладывать имеющиеся деньги в дело;
б) надеяться на «дядюшкино наследство», пытать счастья в лотерее;
в) постепенно делать карьеру, пройдя все ступени вплоть до руководящей, или же заняться политикой.
2. Какой персонаж Уолта Диснея вызывает у вас самую большую улыбку:
а) Дональд Дак;
б) Густав Ганс;
в) Догоберт Дак.
3. Какой размер прибыли может, по вашему мнению, побудить богатейших людей мира заключить сделку:
а) от полумиллиона до миллиона;
б) до десяти миллионов;
в) десятки миллионов и выше.
4. С каким высказыванием вы согласны:
а) чем больше денег, тем больше удовольствия;
б) деньги означают власть;
в) деньги вызывают много зависти.
5. Известна ли вам так называемая игра «по письму»? Вы кладете в конверт небольшую сумму, ищете жертву, которая также платит, и в конечном счете ваше капиталовложение возвращается к вам в многократном размере. Какую роль вы готовы при этом играть:
а) не участвовать;
б) участвовать и зарабатывать при этом;
в) быть инициатором игры.
6. Придаете ли вы значение тому, чтобы о вас упоминали в разделе «Светская жизнь» в различных газетах:
а) я был бы очень этому рад;
б) нет;
в) обо мне и так часто пишут.
7. Каким способом можно выигрывать на скачках:
а) рисковать высокими ставками;
б) экономить деньги, ограничиваясь лишь присутствием на скачках;
в) купить лошадь-победителя.
8. Кто, по вашему мнению, имеет наибольший шанс быстро и надежно стать богачом:
а) режиссер, актер, писатель, художник, спортсмен-рекордсмен;
б) адвокат, врач, маклер, политик;
в) глава фирмы, издатель.
9. Как вы относитесь к бизнесу между приятелями:
а) я готов ссужать своих приятелей деньгами. Когда-нибудь и они дадут мне взаймы;
б) деньги и дружба несовместимы;
в) я готов брать взаймы у друзей, но не давать. 10. Будьте откровенны. Если бы вам удалось стать миллионером, наслаждались бы вы этим ощущением:
а) разумеется, я бы наслаждался этим;
б) я бы продемонстрировал свое наслаждение всем тем, кто мне не доверял или смотрел на меня свысока;
в) нет.
11. Куда вложили бы вы свои миллионы:
а) в недвижимость, имущество, собрание предметов искусства;
б) в акции и другие ценные бумаги;
в) я сделаю так, как решит моя жена (муж). 12. Если у вас уже есть пара миллионов, будете ли вы стремиться заработать дополнительно:
а) не обязательно мелкую сумму, но от крупной не откажусь;
б) конечно;
в) нет, поскольку мне хватает.
Если вы выбрали ответ, пометьте «заработанные» очки.
Первый вопрос: а) 6 б) 0 в) 3
Второй вопрос: а) 3 б) 0 в) 6
Третий вопрос: а) 0 б) 3 в) 6
Четвертый вопрос: а) 6 б) 3 в) 0
Пятый вопрос: а) 3 б) 0 в) 6
Шестой вопрос: а) 0 б) 6 в) 3
Седьмой вопрос: а) 0 б) 3 в) 6
Восьмой вопрос: а) 0 б) 3 в) 6
Девятый вопрос: а) 3 б) 6 в) 0
Десятый вопрос: а) 0 б) 3 в) 6
Одиннадцатый вопрос: а) 3 б) 6 в) 0
Двенадцатый вопрос: а) 3 б) 6 в) 0
Сложите все набранные очки.
От 0 до 23 очков. Лучший способ разбогатеть для вас лично — это либо удачно жениться, либо стать наследником, либо, наконец, играть в лотерею.
От 24 до 48 очков. Богатство связано доя вас с трудом. Избегайте финансовых спекуляций. Лучше всего делайте карьеру и займите кресло шефа, даже если это не принесет вам желаемых миллионов, ваша жизнь все равно будет обеспечена в материальном аспекте.
От 49 до 72 очков. У вас самые лучшие шансы когда-нибудь стать миллионером (если вы уже таковым не являетесь). У вас коммерческий склад ума, вы разделяете деньги и службу. Вы не намерены хвастаться своим роскошным образом жизни, а склонны терпеливо умножать свое богатство.
Раздел 2. Дидактические задания для учащихся
2.1 Творческие задания по материалам книги
2.2 Задания для самостоятельной работы
1. Дискуссионный клуб
Вопросы для обсуждения
1. В чем сущность человеческого капитала?
2. Каковы социально-экономические различия между рыночным и домашним секторами экономики?
3. Согласны ли вы с утверждением ряда экономистов о том, что в семье действуют экономические законы, существенно отличающиеся от чисто рыночных?
4. Лауреат Нобелевской премии по экономике, автор книги «Человеческий капитал» Г. Беккер отождествляет семью с фирмой. В чем специфика такой фирмы?
5. В чем различия товаров, приобретаемых на рынке, и потребительских благ, являющихся конечным продуктом деятельности в домашнем секторе?
6. Какие факторы необходимы для производства потребительских благ членами семьи?
7. Существуют ли различия в характере разделения труда в семье и обычной фирме? Почему?
8. Как рассчитать цену на произведенные в семье потребительские блага?
9. Из чего складывается альтернативная стоимость одного из супругов, занимающегося только домашним трудом?
Литература
Экономика: Для 10-11 классов. – М.: Вита-Пресс, 2007, гл. 1.1; 2.14.



