Оценка стоимости лесных земель
06.06.2003 Автор , ,
Конгресс
"10 ЛЕТ ОЦЕНОЧНОЙ ДЕЯТЕЛЬНОСТИ В РОССИИ. ИТОГИ И ПЕРСПЕКТИВЫ"
4-5 июня 2003 года
Центр Международной Торговли
,
д-р экон. наук, д. э.н.,
,
д-р экон. наук,
,
канд. экон. наук,
В настоящее время у нас в стране оборот лесных земель запрещен. Однако лесные земли могут передаваться в аренду и концессию. В связи с этим возникает потребность в оценке прав пользования лесными землями. При оценке лесных земель определяется стоимость прав, дающих возможность их использования в целях получения дохода, а также стоимость запасов лесных ресурсов.
В мировой практике методология оценки лесных ресурсов довольно хорошо развита. В ее основе лежат традиционные технологии оценки недвижимости, адаптированные к такому специфическому объекту как лес и позволяющие учитывать основные особенности формирования лесного дохода. У нас данная методология до настоящего времени не развита в силу объективных причин - отсутствия рынка природных объектов и прав, связанных с их использованием. В рамках работ по созданию методики оценки рыночной стоимости земельных участков и методики государственной кадастровой оценки земель лесного фонда была предпринята попытка выработать основные методические приемы оценки рыночной стоимости лесных земель на основе использования показателя лесной ренты - чистого дохода, генерируемого собственно древостоем. Ниже приводятся основные положения методологии оценки рыночной стоимости лесных земель доходны стоимости лесных ресурсов.
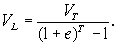
Если предположить, что не существует производственных затрат по выращиванию леса (затрат на посадку леса и уход за ним), то тогда стоимость лесной земли может быть определена из выражения
![]()

где:
Т - оборот рубки или интервал времени, через который можно получать лесной доход от вырубки леса;
VL - стоимость лесной земли;
VT - стоимость запаса леса, получаемого через каждые Т лет;
e - ставка дисконтирования.
Математическое упрощение этого выражения приводит к формуле:

Эта формула применяется при расчете настоящей стоимости последовательно получаемых лесных доходов, имеющих стоимость VT, и возникающих в конце каждого оборота рубки.
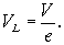
Если период получения будущих доходов ограничен определенным числом лет, например, известно, что на определенном участке лесной земли каждый год в течение ряда лет может вырубаться определенное количество леса, являющееся постоянной величиной, то настоящая стоимость такого участка может определяться по формуле

где:
VL - настоящая стоимость потока доходов за n лет;
V - ожидаемая среднегодовая прибыль от продажи леса;
e - ставка дисконтирования;
n - период получения доходов.
Данная формула может применяться для оценки лесных земель с постоянной величиной расчетной лесосеки - ежегодно вырубаемого запаса леса, если известен срок использования таких земель. Если срок не ограничен, а величина расчетной лесосеки постоянна, то применяется традиционная формула капитализации земельной ренты

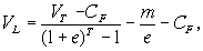
Устойчивое или неистощительное ведение лесного хозяйства связано с вложениями в воспроизводство лесных ресурсов. Эти вложения представляют собой периодические затраты на посадку леса и уход за лесными культурами, а также постоянные текущие затраты, связаннее с управлением лесным хозяйством и охраной лесов. Посадка лесов должна осуществляться после каждой вырубки леса. Промышленное ведение лесного хозяйства практически невозможно без этой стадии. Поэтому при определении земельной ренты или чистого дохода, приходящегося на лесную землю, из стоимости древесного запаса, который может быть вырублен, необходимо вычитать затраты, связанные с его получением, то есть затраты на создание лесного насаждения и ухода за ним на протяжении всей его жизни.
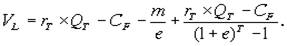
Для расчета стоимости лесных земель, учитывающего затраты на создание лесных насаждений, а также ежегодные затраты, связанные с уходом за лесными культурами, охраной и защитой лесов, проведением иных лесохозяйственных мероприятий (затраты на управление и охрану лесов), применяется формула Фаустмана, предложенная им еще в 1849 году, и не претерпевшая изменений до настоящего времени:

где:
VL - стоимость лесной земли;
VT - стоимость запаса леса, получаемого в конце оборота рубки;
Т - оборот рубки (возраст леса, предназначенного для рубки);
CF - затраты на лесовосстановление (посадка или иное возобновление леса), осуществляемые после каждой рубки;
m - ежегодные затраты на управление и охрану лесов;
е - ставка дисконтирования.
Объектом оценки стоимости лесных ресурсов могут являться: лесные земли с растущим на них лесом или без него, древостой или запас леса на корню, другие виды лесных ресурсов или полезностей, продуцируемых лесом, например, ресурсы дикорастущих грибов, ягод, орехов, охотничье-промысловых животных и т. д.
Исходя из разных возможностей получения дохода от заготовки древесины участки земель лесного фонда подразделяют на три группы:
1) земли, не покрытые лесной растительностью, но предназначенные для ее восстановления (вырубки, гари, погибшие древостои, редины, пустыри, прогалины, несомкнувшиеся лесные культуры и т. п.);
2) лесные земли, занятые насаждениями, которые на момент оценки их стоимости не входят в категорию спелых и перестойных лесов, то есть земли, занятые молодняками, средневозрастными и приспевающими насаждениями;
3) лесные земли, занятые спелыми и перестойными насаждениями.
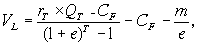
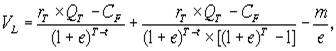
Расчет стоимости первой группы участков лесных земель определяется, по приведенной выше формуле Фаустмана:

где:
QT - эксплуатационный запас древесины на корню в возрасте главной рубки,
rТ - лесная рента, образующаяся при осуществлении рубок главного пользования в насаждении возраста Т,
СF - затраты на лесовосстановление,
m - ежегодные затраты на управление, охрану и защиту лесов, установленные федеральным органом управления лесным хозяйством,
e - ставка дисконтирования.
Для второй группы участков лесных расчет может выполняться по следующей формуле

где:
(T - t) - период времени, разделяющий момент проведения оценки и время проведения первой рубки главного пользования.
Для третьей группы участков лесных земель расчет производится по формуле

Лесная рента или чистый доход от использования лесного насаждения (древостоя) в момент рубки главного пользования может рассчитываться для разных стадий получения и реализации лесной продукции:
а) при переработке древесины в продукцию конечного потребления и ее продаже по формуле:

б) при заготовке и продаже круглых лесоматериалов франко-поставщик по формуле:

в) при заготовке и продаже леса на корню:
![]()
r - лесная рента;
rт - плата за лес на корню, полученная по результатам торгов на участках лесных земель, выбранных в качестве аналога оцениваемого участка;
Po - рыночная цена франко-станция отправления лесной продукции конечного потребления (пиломатериалов, целлюлозы, бумаги, фанеры, плит и др.);
P1 - рыночная цена франко-станция отправления круглых лесоматериалов;
Со - текущие затраты на переработку древесины без стоимости древесного сырья, включая затраты на возмещение основных фондов, (амортизация) и возврат процентов по кредиту;
Ко - удельные капитальные вложения в перерабатывающих производствах (здания сооружения, оборудование и т. д.);
s - расход сырья (круглых лесоматериалов) на единицу продукции деревопереработки;
С1 - текущие затраты на заготовку древесины и ее вывозку из леса на нижний склад, пункт реализации или пункт переработки, включая затраты на возмещение основных фондов (амортизация) и возврат процентов по кредиту;
К1 - основной и оборотный капитал на лесозаготовках, включая удельные капитальные вложения на а строительство лесовозных дорог и вывозку древесины из леса;
i0 - норма прибыли на основной и оборотный капитал в деревопереработке (или коэффициент капитализации);
i1 - норма прибыли на основной и оборотный капитал на лесозаготовках.
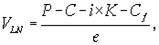
Стоимость участка земель лесного фонда при условии использования только недревесных ресурсов без пользования древесиной определяется по формуле:

где:
VLN - стоимость участка земель лесного фонда при условии использования только недревесных ресурсов;
P - годовой валовой доход от использования недревесных ресурсов (рекреация, заготовка кедровых орехов и т. д.);
С - годовые текущие издержки по заготовке (производству) продукции из недревесных ресурсов леса или их использовании иным способом;
K - удельные капитальные вложения в организацию использования недревесных ресурсов леса;
i - норма прибыли на капитал при использовании недревесных ресурсов леса (или коэффициент капитализации для улучшений, если есть здания и сооружения);
e - коэффициент капитализации для земли;
Сf - издержки по восстановлению, поддержанию и охране недревесных ресурсов леса (помимо тех издержек, которые учитываются в формулах.
В случае если на участке земель лесного фонда возможно взаимодополняющее использование древесных и недревесных ресурсов леса, то стоимость 1 гектара участка определяется капитализированной суммой рентного дохода от лесозаготовок и от использования недревесных ресурсов леса: продукция охоты, доходы от рекреации, заготовки кедровых орехов, торфоразработок и др.)

где:
- стоимость участка земель лесного фонда, на котором возможно комплексное многоресурсное использование древесных и недревесных ресурсов леса;
VLF - стоимость участка земли при заготовке древесины;
VLN - стоимость участка земли при условии использования только недревесных ресурсов.
Материалы доклада (Презентация MS PowerPoint - 41 кб)



