УДК 338.48:711.455(470.630)
На правах рукописи
География социальной инфраструктуры
25.00.24- экономическая, социальная,
политическая и рекреационная география
АВТОРЕФЕРАТ
диссертации на соискание ученой степени
кандидата географических наук
Краснодар, 2012
Работа выполнена на кафедре экономической, социальной и политической географии ФГБОУ ВПО «Северо-Осетинский государственный университет им. »
Научный руководитель: доктор географических наук,
доцент СОГУ им.
Официальные оппоненты: доктор географических наук, профессор кафедры экономической, социальной и политической географии ФГБОУ ВПО «Кубанский государственный университет»
кандидат географических наук,
доцент кафедры географии ФГБОУ ВПО «Адыгейский государственный университет»
Ведущая организация : Министерство экономики
Республики Дагестан
Защита состоится «22» марта 2012г. в «13» час. «00» мин. на заседании диссертационного совета Д 212.101.15 по географическим наукам при Кубанском государственном университете по адресу: 49, ауд.211.
С диссертацией можно ознакомиться в библиотеке Кубанского государственного университета (читальный зал), с авторефератом – на сайте ВАК Минобрнауки России http://vak. *****/
Автореферат разослан «17» февраля 2012г.

Ученый секретарь диссертационного совета,
кандидат географических наук
Актуальность. Изучение социальной инфраструктуры (СИ) имеет весьма важное научно-практическое значение. Особую актуальность изучение социальной инфраструктуры приобретает в настоящее время в связи с коренными изменениями политических и социально-экономических условий.
Необходимость изучения СИ определяется следующими обстоятельствами:
· установление путей развития территориальной структуры хозяйства требует исследования его важнейшей составной части – социальной инфраструктуры;
· часто возникающими противоречиями между СИ и другими составными частями территориальной структуры хозяйства;
· обострением социальных проблем и территориальной дифференциацией условий жизни населения.
Так как к сложившейся в настоящее время социальной инфраструктуре со стороны общества предъявляются новые и все более сложные требования, необходимо ее дальнейшее совершенствование. Однако определение дальнейших изменений в СИ, ее изучение немыслимо без анализа всех сторон территориальной организации общества в их взаимосвязи и влиянии на СИ. Кроме того, для повышения надежности прогнозирования необходим ретроспективный анализ предыдущего развития СИ.
СИ складывается на разных уровнях, причем значение региональных исследований на современном этапе резко возрастает. Исследование проблем СИ Северной Осетии приобретает особую актуальность в связи с их слабой изученностью и специфическим положением республики среди других административных образований Северного Кавказа.
С экономической точки зрения весьма важное значение приобретают исследования, связанные с выявлением влияния развития СИ на экономику, на структуру расходования средств, эффективность использования населением свободного времени, занятость населения в производстве.
Необходим анализ особенностей обеспеченности населения предприятиями социальной инфраструктуры, характера их функционирования, доступности для жителей города и села и т. д.
Все это будет способствовать разработке научных основ оптимизации комплексного развития различных по природным, производственным, демографическим и другим условиям районов Северной Осетии.
Все вышеизложенное определяет цель настоящей работы - выявление особенностей формирования, развития и функционирования социальной инфраструктуры Северной Осетии и определение путей ее дальнейшей оптимизации.
Достижение цели обеспечивается постановкой и решением следующих задач:
· выявление методических и методологических основ изучения СИ;
· определение основных географических факторов территориальной организации СИ;
· ретроспективный анализ формирования и развития СИ Северной Осетии;
· анализ функционирования СИ Северной Осетии на современном этапе;
· поиск путей дальнейшего развития СИ.
Методика и методология исследований. При разработке теоретической и методологической базы были использованы труды специалистов в области социальной географии: , , и многих других.
Были использованы общенаучные и социально-географические методы исследования:
– сравнительно-географический метод, то есть метод сопоставления с другими регионами;
– метод пространственного анализа – выявление и объяснение пространственных различий в территориальной организации СИ;
– картографический метод – создание серии карт – и как конечная цель исследования, и как средство для раскрытия пространственных взаимосвязей;
– экономико-статистический анализ, определение средних величин, ранжировка данных и т. д.;
– исторический подход, предметом которого является развитие СИ.
Диссертация основывается на обработке первичных материалов статистического учета, архивов, разработок информационных центров министерств и ведомств республики, разработок министерств здравоохранения, экономического развития, культуры и массовых коммуникаций, образования и науки, труда и социального развития, архитектуры и строительной политики; комитетов жилищно–коммунального хозяйства, занятости населения, охраны окружающей среды и природных ресурсов Республики Северная Осетия-Алания и др.
Научная новизна работы заключается в том, что в ней исследованы особенности СИ Северной Осетии на современном этапе, ее территориальная дифференциация; определены механизмы влияния географических факторов на размещение объектов СИ в республике; разработаны методические и методологические основы географического изучения СИ; выделены основные этапы исторического развития СИ; разработана серия карт и графиков, показывающая особенности развития и размещения СИ в республике; выявлены основные проблемы развития СИ; дан прогноз дальнейшего развития СИ республики.
Основные положения, выносимые на защиту:
1) комплексное исследование формирования, развития и функционирования социальной инфраструктуры Северной Осетии проведено впервые, при этом анализ был выполнен по основным блокам исследования: условиям, связям, структуре и отношениям;
2) применение показателей характеризующих обеспеченность населения учреждениями и специалистами социальной инфраструктуры, в том числе Суммарного коэффициента СИ, позволило получить объективную картину территориальной дифференциации СИ в Северной Осетии;
3) ретроспективный анализ формирования и развития СИ Северной Осетии, выявление основных исторических этапов, оказавших воздействие на территориальную организацию социальной инфраструктуры;
4) переход от плановой к рыночной экономике привел к резкому сокращению объектов СИ, существенному снижению доступности социальных услуг для населения мелких и средних поселений;
5) для обеспечения устойчивого развития социальной инфраструктуры необходима разработка системы рационального развития СИ.
Практическая значимость результатов исследования. Подходы по исследованию закономерностей развития СИ на небольшой по площади, но значительно дифференцированной по условиям проживания и деятельности населения, предложенные автором в работе, могут быть применены при изучении СИ в других близких по природным и социально-экономическим условиям регионах страны. Основные результаты исследования могут быть использованы как при разработке концепции дальнейшего развития СИ и хозяйства республики в целом, так и для некоторых видов перспективного планирования и прогнозирования (социально-экономического, демографического, расселенческого и т. д.). В работе использованы некоторые новые формы изучения СИ. Конкретным практическим результатом работы явилось создание серии карт и подготовка монографии по эволюции республики.
Современное состояние социальной инфраструктуры изобилует многими недостатками. Она запущена, несбалансированна, обострены территориальные диспропорции. Сложившаяся сеть разрушается и вызывает обостренную реакцию населения.
Сравнительно высокие темпы развития получили только отрасли СИ, приносящие высокий, и, главное, быстрый доход (торговля, связь, некоторые виды бытового обслуживания). В то же время практически на грани полного разрушения находится самая материалоемкая отрасль СИ – жилищно-коммунальное хозяйство. По данным Министерства жилищно-коммунального хозяйства РСО-Алания, износ оборудования в этой отрасли составляет 80%.
В нашей республике отдельными работами затрагивались лишь некоторые аспекты функционирования объектов СИ. Таким образом, предлагаемая работа — первая попытка исследования в этом направлении.
Апробация результатов исследования. Основные положения и выводы диссертационного исследования в форме статей, докладов, тезисов обсуждались на международных, всероссийских, региональных, межвузовских и внутривузовских научных конференциях, в том числе на 7-ой Международной научной конференции (г. Владикавказ 14-16 сентября 2010г), Международная заочная научно-практическая конференция «Теоретические и прикладные проблемы науки и образования в 21 веке». (Тамбов 31 января 2012г.), 1-ой Международной дистанционной конференции ученых и аспирантов: «Перспективы развития территорий» (г. Цхинвал, ноябрь)
Количество опубликованных работ по теме диссертации – 11, из них 1– в ведущем рецензируемом научном издании, рекомендованном в перечне ВАК РФ.
Внедрение. Результаты работы используются Министерством образования и науки РСО-Алания, Министерством труда и социального развития РСО-Алания, Парламентом РСО-Алания. Материалы диссертации вошли в учебно-методические комплексы по «Рекреационной географии», «Северо-Кавказский экономический район», «Социальная география», «Социальное развитие регионов»», и были представлены в качестве лекций студентам географического факультета ГОУ ВПО «Северо-Осетинского государственного университета им. К.Л. Хетагурова» по специальности 020401 «География»
СОДЕРЖАНИЕ РАБОТЫ
Во введении отражены актуальность, цель и решаемые задачи исследования, его научная новизна и практическая значимость.
Глава 1. Методические и методологические основы изучения социальной инфраструктуры
Примененные методы изучения СИ соответствуют особенностям и рангу исследуемой территории. Как городская, так и сельская инфраструктура, как горная, так и равнинная, была рассмотрена во взаимосвязи и взаиморазвитии, что позволило включить в характеристику СИ большое число параметров, выявить основные факторы формирования и развития СИ, ее главные современные особенности и территориальную дифференциацию, определить пути дальнейшего развития социальной инфраструктуры. Ход изучения шел по пути рассмотрения общих характеристик, изучения их различных сторон, выявления взаимосвязей и взаимозависимостей и обобщения полученных результатов.
Проведенное исследование СИ на небольшой по площади, но значительно дифференцированной по условиям проживания и деятельности населения Северной Осетии позволяет выделить его основные результаты.
Проведенные исследования позволили существенно приблизиться к пониманию весьма сложных процессов происходящих в СИ Республики Северная Осетия – Алания. Ряд наиболее важных итогов исследования, которые служат предметом защиты, можно свести к следующим положениям.
СИ играет большую роль в развитии территориальной структуры хозяйства. Сравнительно с другими регионами Северного Кавказа СИ в Северной Осетии получила наибольшее развитие. Однако в настоящее время в СИ происходят существенные изменения. В связи с этим возникает необходимость углубленного изучения СИ географическими методами. При исследовании уровня развития отраслей СИ и обеспеченности населения предприятиями и учреждениями применяется множество различных показателей. Среди них можно выделить: показатели характеризующие обеспеченность населения учреждениями социальной инфраструктуры социальной ; оценку динамики развития социальной инфраструктуры за год или исследуемый период, а так же в среднем за год; характеристики исследующие территориальную организацию сферы обслуживания; характеристики оценивающие наличие кадров; характеристики деятельности предприятий и учреждений. Кроме того, нами предложен Суммарный коэффициент социальной инфраструктуры, который рассчитывается по формуле: СКСИ= КУ+КД+КВ+КМ+КБ+КТ+КЖ+КА, (ф.1).
Где СКСИ – суммарный коэффициент социальной инфраструктуры, КУ – коэффициент числа учеников на 1 учителя в школах; КД – коэффициент числа детей на 1 воспитателя в детских дошкольных учреждениях; КВ – коэффициент числа врачей на 10 тыс. населения; КМ – коэффициент численности среднего медицинского персонала на 10 тыс. населения; КБ – коэффициент числа посещений библиотек на душу населения; КТ – коэффициент торговой площади на 1 жителя; КЖ – общая площадь жилья на 1 жителя; КА – число человек на 1 аптеку.
Глава 2. Основные факторы территориальной организации социальной инфраструктуры
На формирование и развитие СИ в том или в ином регионе оказывает влияние целый комплекс факторов, среди которых выделяются: природные условия и ресурсы, население, расселение, экономические, транспортные.
Природные условия и ресурсы во многом предопределили многие стороны жизнедеятельности населения Северной Осетии. В соответствии с ними размещались по территории практически все поселения, хозяйственные объекты, транспортные коммуникации, линии связи, объекты социальной инфраструктуры и пр. Влияние природных условий и ресурсов сказывается и в настоящее время. Во-первых, практически все крупные поселения республики приурочены к природным рубежам: на стыке горной и равнинной частей или в долинах рек. Во-вторых, природно-климатические условия во многом предопределили направление инвестиций, вкладываемых в развитие хозяйства и на социальные нужды. В-третьих, природные условия, на ряду с социально-экономическими, можно считать одной из главных причин неравномерного размещения населения по территории оттока населения из горной части республики в равнинную. Горная часть республики значительно отстает от равнинной в социально – экономическом развитие в связи со сложностями размещения высокорентабельных промышленных и сельскохозяйственных предприятий, развития транспортной сети и СИ.
Население выступает и как потребитель продукции СИ, и как главная производительная сила. Население как потребитель оказывает самое непосредственное влияние на СИ. Численность населения и его динамика, естественный прирост, миграционные движения, возрастной и половой состав, образовательный уровень, профессиональный состав, занятость населения и т. д. – все эти аспекты определяют те или иные направления развития СИ.
Сложившиеся под влиянием комплекса социально-экономических, исторических и природных факторов расселения Северной Осетии к началу XXI века представляет из себя сложную сеть взаимосвязанных городских и сельских поселений, имеющих, как правило, хорошую транспортную доступность. Расселение оказало существенное влияние на развитие СИ. Так, подавляющее большинство объектов СИ сосредоточено во Владикавказе и вокруг него. Это относится не только к системе образования и здравоохранения, но и к другим объектам СИ. В мелких населенных пунктах объектов СИ практически нет.
Северная Осетия является одним из наиболее экономически развитых регионов Северо-Кавказского ФО. Развитие промышленности и сельского хозяйства «потянули» за собой социальную инфраструктуру. Многие градообразующие предприятия в городах, колхозы и совхозы в сельской местности строили и содержали объекты СИ. Переход к рыночной экономике нарушил сравнительно стройную систему по линии «хозяйствующий субъект – объекты СИ». Сравнительно богатый Владикавказ сумел поддержать отраслевые объекты СИ, чего не наблюдалось в других поселениях. В результате усилилась территориальная дифференциация в размещении социальной инфраструктуры: существенная концентрация во Владикавказе и сокращение в других районах республики.
Транспортный фактор в условиях Северной Осетии играет исключительно важную роль в развитии СИ. Транзитное положение республики и наличие горной части еще более поднимают значение транспорта. Эти обстоятельства способствовали развитию транспортной системы с различными видами передвижения, разветвленной инфраструктуры. В пассажирских перевозках ведущую роль играет автомобильный транспорт. Это обусловлено разнообразием форм рельефа и большим перепадом высот. Наличие естественных преград затрудняет развитие железнодорожного транспорта. Однако для обеспечения связи республики с другими регионами России и зарубежными странами роль других видов транспорта значительно возрастает.
Выявленные характерные особенности СИ показали ее большую зависимость от природных, демографических и социально-экономических условий.
Горная и равнинная СИ существенным образом отличаются друг от друга: равнинная – сложная, разветвленная, представленная практически полным набором видов деятельности и услуг; горная – упрощенная, с крайне ограниченным набором. Чем крупнее населенный пункт, тем сложнее и разветвленнее система СИ.
Глава 3. Особенности формирования и развития социальной инфраструктуры
В условиях перехода к рыночной экономике происходят значительные изменения в структуре потребностей населения и соответственно в составе отраслей социальной инфраструктуры. Анализ формирования, развития и функционирования социальной инфраструктуры позволяет выделить несколько этапов, каждый из которых оказал воздействие на территориальную организацию социальной инфраструктуры. Этапы имеют следующую характеристику:
Дореволюционный этап (до 1917 г.) ограниченного развития отдельных видов социальной инфраструктуры (здравоохранение, образование, общественный транспорт, торговля). Становление системы начального образования, возникновение ограниченного числа учреждений среднего образования, организация системы первичной медицинской помощи.
Советский этап ( гг.) бурного развития социальной инфраструктуры. Формирование и развитие широкой и разветвленной системы образования, здравоохранения, общественного транспорта, бытовых услуг, туризма и т. д.
Постсоветский этап ( гг.) развития социальной инфраструктуры. Кризисные явления в СИ: резкое снижение вложений в развитие СИ, практически полное разрушение рекреационного хозяйства, системы клубных учреждений, кинотеатров и т. д. Рост отдельных видов бытовых услуг.
Современный этап (с 2003 г.) развития социальной инфраструктуры. Реформы в основных структурных подразделениях СИ. Рост объектов торговли, питания, аптек, парикмахерских и т. д. Сокращение числа школ.
Глава 4. Функционирование социальной инфраструктуры на современном этапе
Проводимые на современном этапе реформы не всегда приносят положительные результаты. Это наглядно проявляется в системе образования. Сокращение числа детских дошкольных учреждений и мест в них, предпринятое в период спада уровня рождаемости, привело к существенному дефициту мест в ДОУ в настоящее время, когда уровень рождаемости поднялся. Идущее на современном этапе сокращение учебных и рабочих мест в школах, ссузах и вузах может привести к их дефициту в недалеком будущем. Так, в пореформенный период во Владикавказе были закрыты высшее ракетное училище, высшее общевойсковое училище и Институт внутренних войск МВД.
Существенные проблемы возникают в системе здравоохранения. Закупленное по нацпроекту оборудование в ряде мест до сих пор не установлено, либо простаивает. Это связано с тем, что в районных учреждениях не хватает специалистов, часто отсутствуют расходные материалы.
Особенно большие проблемы возникают в сельских районах республики. Резкий спад сельскохозяйственного производства и ухудшение финансового положения отрасли, перевод сельских поселений на самофинансирование и ликвидация старых организационно-экономических механизмов социального развития села и социальной защиты населения привели к явному упадку этой сферы. Сложившаяся практика инвестирования сельских территорий республики в силу ограниченности бюджетных средств не отвечает потребностям местного населения. Большинство сельских домовладений не имеет элементарных удобств. За последнее десятилетие практически не расширилась сеть участковых больниц, сокращается число школ и дошкольных образовательных учреждений. Большинство школ и детских садов требует ремонта и значительных затрат на содержание. Часть пришедших в ветхость клубов, домов культуры и библиотек закрыта, часть действует не в полную силу, их оборудование морально и физически изношено. Практически прекратила деятельность в сельских поселениях сеть предприятий бытового обслуживания. Многие линии электропередачи находятся в технически непригодном состоянии, вследствие чего потери в электросетях возросли на 15-20%. Вследствие хронической неплатежеспособности отключаются целые села. Большинство систем водоснабжения не имеет необходимых сооружений и технического оборудования для улучшения качества воды или работает неэффективно. 55% локальных водопроводов нуждается в реконструкции, а 25% – в полном восстановлении. В 2004 г. была принята целевая программа «Социальное развитие села в РСО-А до 2010 г.». Однако она выполнена не была и сроки ее реализации продлили до 2012 г.
Одна из важнейших проблем социального развития республики – нехватка медицинских и педагогических кадров. При том что подготовкой этих кадров в республике занимаются Северо-Осетинский госуниверситет им. , Северо-Осетинский госмединститут, Пединститут, Педучилище, Педколледж и Медучилище, в школах и медицинских учреждениях не хватает учителей, врачей и медицинских сестер. При этом речь идет не только об отдаленных селах, но и о Владикавказе. Ежегодно в вузах и ссузах Владикавказа обучается значительное число студентов, принятых по целевым направлениям, а возвращаются в родные села единицы. Так, только в СОГМА в 2008 г. окончили обучение 46 «целевиков», вернулись на места 4 человека; в 2009 г. – из 34 «целевиков» вернулось на места 3 чел. Аналогичная ситуация наблюдается и по другим учебным заведениям.
В сторону увеличения доли индивидуальных домов произошли изменения в соотношении типов жилья, в котором проживает население.
В структуре расходов населения значительно увеличились расходы на ремонт и обслуживание автомобилей, образование и лечение. В то же время, сократилась доля расходов на услуги системы бытового обслуживания, туризм и отдых. В структуре затрат на покупки соотношение между продовольственными и непродовольственными товарами изменилось в сторону первых.
Отмечается значительная территориальная дифференциация развития социальной инфраструктуры: подавляющее большинство ее объектов расположено во Владикавказе.
Рассчет СКСИ показал следующие результаты (см. табл. 1).
|
КУ |
КД |
КВ |
КМ |
КБ |
КТ |
КЖ |
КА |
СКСИ | |
|
Владикавказ |
5 |
9 |
10 |
10 |
5 |
10 |
8 |
8 |
65 |
|
Алагирский |
8 |
8 |
5 |
6 |
7 |
4 |
10 |
9 |
57 |
|
Ардонский |
7 |
8 |
5 |
6 |
6 |
4 |
10 |
8 |
54 |
|
Дигорский |
9 |
8 |
5 |
6 |
6 |
4 |
10 |
7 |
55 |
|
Ирафский |
10 |
8 |
5 |
6 |
10 |
4 |
6 |
10 |
59 |
|
Кировский |
8 |
7 |
5 |
7 |
6 |
4 |
7 |
8 |
52 |
|
Моздокский |
6 |
8 |
5 |
7 |
5 |
5 |
8 |
7 |
50 |
|
Правобережный |
7 |
10 |
6 |
7 |
5 |
5 |
8 |
8 |
56 |
|
Пригородный |
7 |
8 |
5 |
6 |
5 |
4 |
8 |
7 |
50 |
Таблица 1
Суммарный коэффициент социальной инфраструктуры РСО-А
Таким образом, наивысший СКСИ в 2007 г. наблюдался во Владикавказе, а низкий – в Моздокском и Пригородном районе. Однако преобладание Владикавказа над остальными районами не столь значительно как можно было бы предположить. Это связано с низкими коэффициентами во Владикавказе в части К учителей, К посещаемости библиотек. Последний К города недопустимо низкий. Однако это можно объяснить, что при расчете данного коэффициента учитывались только библиотеки подчиненные Министерству культуры и не учитывались отраслевые библиотеки, каких во Владикавказе большинство (библиотеки вузов, НИИ, крупных предприятий, госархив и т. п.).
В целом районы Северной Осетии можно подразделить на несколько групп: 1) с очень высоким СКСИ (более 60 баллов) – Владикавказская администрация; 2) с высоким СКСИ (55-59 баллов) – Ирафский и Алагирский районы; 3) со средним СКСИ (54-50 баллов) – Правобережный, Дигорский и Ардонский районы; 4) с низким СКСИ (50-52 балла) – Кировский, Моздокский и Пригородный районы.
Следовательно, наряду с дальнейшим развитием всех районов республики, особое внимание необходимо уделить развитию социальной инфраструктуры Кировского, Моздокского и Пригородного районов.
Выполненное нами исследование позволяет сделать следующие выводы и предложения.
1. Изучение тенденций развития социальной инфраструктуры Северной Осетии позволяет предположить, что изменения социально-демографических условий не приведут к равномерному размещению объектов социальной инфраструктуры, а, наоборот, посредством углубления дифференциации социальных условий жизни населения, усилят процессы концентрации населения и объектов социальной инфраструктуры.
2. Поскольку с переходом к рыночным отношениям территориальная дифференциация уровня жизни населения усилится, необходима выработка механизма действия, очередности и приоритетности направлений социально-экономической поддержки отстающих районов.
3. Проведенное районирование размещения СИ на основе расчета суммарного коэффициента социальной инфраструктуры РСО-А показало, что на размещение объектов СИ значительное влияние оказывают природный, демографический, расселенческий, экономический и др. факторы. Особое внимание необходимо уделить развитию социальной инфраструктуры Кировского, Моздокского и Пригородного районов.
4. В современных условиях происходит не только углубление территориальной дифференциации в размещении объектов СИ, но и изменение ее состава и конфигурации, увеличение доли платных услуг. Это приводит к резкому ухудшению социального обслуживания населения. При этом, изменения структуры социальной сферы происходят не только в связи с техническим прогрессом. Часть населения вынуждена экономить на ряде востребованных ранее услугах (культура, искусство, услуги прачечных, химчисток и т. д.).
5. Выявленные особенности взаимодействия социальной сферы и всех остальных компонентов географической среды, как то природные условия и ресурсы, население, расселение, экономика и транспорт показали, что между этими компонентами происходят сложнейшие процессы взаимовлияния и взаимозависимости, в которых социальная сфера играет одну из ведущих, ключевых ролей. Так, например, закрытие школ, медицинских учреждений, клубов, магазинов и т. п. ведет к депопуляции населенных пунктов.
6. Наблюдается не только «сползание» населения с гор на равнину, но и резкое сокращение объектов СИ в горах.
7. Переход от отраслевой к территориальной собственности объектами СИ приводит к сокращению числа последних, снижению качества социального обслуживания населения.
8. Объекты СИ приурочены, как правило, к крупным населенным пунктам; при этом наблюдается дальнейшее сокращение объектов СИ в мелких и средних СНП, снижение их доступности для населения (школ, детских садов, объектов здравоохранения, бытовых услуг, кредитно-банковской системы, торговли и т. п.).
9. В крупных населенных пунктах наблюдается хаотичный рост числа ряда наиболее прибыльных объектов СИ (парикмахерских, аптек, стоматологических кабинетов, магазинов). Так во Владикавказе их количество на душу населения уже давно превысило все нормы.
10. Настоящее исследование показало необходимость дальнейшего внедрения географических методов исследований в изучение социальной инфраструктуры, поскольку именно география обладает набором инструментов позволяющих выявить взаимосвязи между географическими условиями и социальной сферой. При определении стратегии и тактики развития социальной инфраструктуры необходимы разномасштабные исследования, которые возможны лишь с применением географических методов.
По теме диссертации опубликованы следующие работы:
1. Цуциева анализ формирования и развития системы здравоохранения Северной Осетии. Вестник Северо-Осетинского отдела Русского географического общества.№13.Владикавказ.2010.с.49-52.
2. , , Социально-демографические проблемы населения Верхней Дигории. Материалы 7-ой Международной научной конференции.14-16 сентября 2010г. «Устойчивое развитие в условиях глобальных изменений». Владикавказ. Изд-во «Терек». 2010г. с.271-273.
3. , Современное рекреационное хозяйство. Материалы IX научно-практической конференции по рекреационной географии. Владикавказ.2011.с.28-29.
4. , Доева туризма в РСО-А. Современное рекреационное хозяйство. Материалы IX научно-практической конференции по рекреационной географии. Владикавказ.2011.с.29-30.
5. , , Тавасиев система образования Северной Осетии. Вестник Краснодарского регионального отделения Русского географического общества. Краснодар.2011.Вып.6.С 351-356.
6. Цуциева социальная инфраструктура Северной Осетии. Горные регионы: XXI век: Сборник научных трудов; Сев.-Осет. гос. ун-т. Им. К.Л. Хетагурова. Владикавказ: Изд-во СОГУ, 2011.с.391-397.
7. Цуциева географического изучение социальной инфраструктуры. Горные регионы: XXI век: Сборник научных трудов; Сев.-Осет. гос. ун-т. Им. К.Л. Хетагурова. Владикавказ: Изд-во СОГУ, 2011.с.398-407.
8. Цуциева развития социальной инфраструктуры РСО-Алания. Материалы 1-ой Международной дистанционной конференции ученых и аспирантов: «Перспективы развития территорий». Юго-Осетинский государственный университет совместно с Аппаратом Правительства Республики Южная Осетия. г. Цхинвал. 2011г. с.401-403.
9. Цуциева и бытовое обслуживание как элементы современной социальной инфраструктуры РСО-Алания. Международная заочная научно-практическая конференция «Теоретические и прикладные проблемы науки и образования в 21 веке». Тамбов. 2012.с.155-157.
10. , Битиев системы образования Северной Осетии. В мире научных открытий. Серия: Проблемы науки и образования. Красноярск. №2.2, 2012. с. 172-175.
11. , Битиев жилищно-коммунального хозяйства РСО-Алания. //География: история, современность, перспективы. Сб. научных трудов под ред. . Краснодар. Изд-во Кубанский государственный университет. 2012.с. 498-501.
Статья № 10 опубликована в издании, рекомендованном ВАК РФ








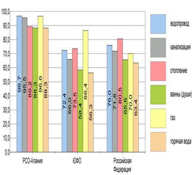
Динамика общей площади жилых помещений, Основные показатели благоустройства жилищного
приходящихся в среднем на одного жителя в фонда РСО-Алания в сравнении с ЮФО и РФ, 2006г., %.
Республике РСО-Алания в сравнении с ЮФО и
Российской Федерацией, м?


Ввод в действие жилых домов в 2000- Рис. 10. Суммарный коэффициент социальной инфраструктуры
2009 гг. (тыс. кв. м) в баллах.



