ПРИЛОЖЕНИЕ 12
ОПРЕДЕЛЕНИЕ СТОИМОСТИ НЕМАТЕРИАЛЬНЫХ АКТИВОВ
Общества с ограниченной ответственностью «N»
![]()
1. ОПИСАНИЕ ОЦЕНИВАЕМЫХ НЕМАТЕРИАЛЬНЫХ АКТИВОВ
Полный перечень оцениваемых нематериальных активов приведен в таблице 1.
Таблица 1
ПЕРЕЧЕНЬ НЕМАТЕРИАЛЬНЫХ АКТИВОВ
|
№ п/п |
Наименование объекта нематериальных активов |
Номер заявки |
Приоритет товарного знака / полезной модели / промышленного образца |
Зарегистрировано в Государственном реестре товарных знаков и знаков обслуживания / Государственном реестре полезных моделей / промышленных образцов РФ |
Срок действия регистрации истекает |
|
1. |
Товарный знак (знак обслуживания) № 000. |
29.06.2006 г. |
08.08.2007. г. |
29.06 2016 г. | |
|
2. |
Товарный знак (знак обслуживания) № 000. |
28.02.2007 г. |
27.10.2008 |
28.02 2017 г. | |
|
3. |
Патент на промышленный образец № 000 – печенье (два варианта). |
19.02.2007 г. |
16.05.2008 г. |
19.02.2022 г. | |
|
4. |
Патент на полезную модель № 000 – складная картонная коробка. |
17.11.2006 г. |
27.04.2007 г. |
17.11.2011 г. | |
|
5. |
Патент на полезную модель № 000 – упаковка для кондитерских изделий. |
17.11.2006 г. |
27.04.2007. г. |
17.11.2011 г. | |
|
6. |
Патент на полезную модель № 000 – подложка для кондитерских изделий. |
19.07.2007 г. |
20.01.2008 г. |
19.07 2017 г. | |
|
7. |
Патент на промышленный образец № 000 – упаковка – коробка для кондитерских изделий (два варианта). |
21.11.2006 г. |
16.05.2008 г. |
21.11.2021 г. | |
|
8. |
Патент на промышленный образец № 000 – печенье (пять вариантов). |
19.02.2007 г. |
16.06.2008 г. |
19.02.2022 г. | |
|
9. |
Патент на полезную модель № 000 – упаковка для кондитерских изделий. |
29.03.2006 г. |
27.01.2007 г. |
29.03.2011 г. |
Структура оцениваемых нематериальных активов состоит из товарных знаков, патентов на полезную модель и промышленный образец.
Объектами патентных прав являются результаты интеллектуальной деятельности в научно-технической сфере, отвечающие установленным настоящим Кодексом требованиям к изобретениям и полезным моделям, и результаты интеллектуальной деятельности в сфере художественного конструирования, отвечающие установленным настоящим Кодексом требованиям к промышленным образцам.[1]
Патент на изобретение, полезную модель или промышленный образец удостоверяет приоритет изобретения, полезной модели или промышленного образца, авторство и исключительное право на изобретение, полезную модель или промышленный образец. Охрана интеллектуальных прав на изобретение или полезную модель предоставляется на основании патента в объеме, определяемом содержащейся в патенте формулой изобретения или соответственно полезной модели. Для толкования формулы изобретения и формулы полезной модели могут использоваться описание и чертежи. Охрана интеллектуальных прав на промышленный образец предоставляется на основании патента в объеме, определяемом совокупностью его существенных признаков, нашедших отражение на изображениях изделия и приведенных в перечне существенных признаков промышленного образца.[2]
Срок действия исключительного права на изобретение, полезную модель, промышленный образец и удостоверяющего это право патента исчисляется со дня подачи первоначальной заявки на выдачу патента в федеральный орган исполнительной власти по интеллектуальной собственности и при условии соблюдения требований, установленных Гражданским кодексом РФ, составляет:
двадцать лет – для изобретений;
десять лет – для полезных моделей;
пятнадцать лет – для промышленных образцов.
Защита исключительного права, удостоверенного патентом, может быть осуществлена лишь после государственной регистрации изобретения, полезной модели или промышленного образца и выдачи патента.
Срок действия исключительного права на полезную модель и удостоверяющего это право патента продлевается федеральным органом исполнительной власти по интеллектуальной собственности по заявлению патентообладателя на срок, указанный в заявлении, но не более чем на три года, а исключительного права на промышленный образец и удостоверяющего это право патента - на срок, указанный в заявлении, но не более чем на десять лет.[3]
В качестве товарных знаков могут быть зарегистрированы словесные, изобразительные, объемные и другие обозначения или их комбинации. Товарный знак может быть зарегистрирован в любом цвете или цветовом сочетанию.[4]
Лицу, на имя которого зарегистрирован товарный знак (правообладателю), принадлежит исключительное право использования товарного знака... Исключительное право на товарный знак может быть осуществлено для индивидуализации товаров, работ или услуг, в отношении которых товарный знак зарегистрирован, в частности путем размещения товарного знака:
на товарах, в том числе на этикетках, упаковках товаров, которые производятся, предлагаются к продаже, продаются, демонстрируются на выставках и ярмарках или иным образом вводятся в гражданский оборот на территории Российской Федерации, либо хранятся или перевозятся с этой целью, либо ввозятся на территорию Российской Федерации;
при выполнении работ, оказании услуг;
на документации, связанной с введением товаров в гражданский оборот;
в предложениях о продаже товаров, о выполнении работ, об оказании услуг, а также в объявлениях, на вывесках и в рекламе;
в сети «Интернет», в том числе в доменном имени и при других способах адресации.
Никто не вправе использовать без разрешения правообладателя сходные с его товарным знаком обозначения в отношении товаров, для индивидуализации которых товарный знак зарегистрирован, или однородных товаров, если в результате такого использования возникнет вероятность смешения.[5]
Исключительное право на товарный знак действует в течение десяти лет со дня подачи заявки на государственную регистрацию товарного знака в федеральный орган исполнительной власти по интеллектуальной собственности.
Срок действия исключительного права на товарный знак может быть продлен на десять лет по заявлению правообладателя, поданному в течение последнего года действия этого права. Продление срока действия исключительного права на товарный знак возможно неограниченное число раз.[6]
2. ПОДХОДЫ К ОЦЕНКЕ НЕМАТЕРИАЛЬНЫХ АКТИВОВ
![]()
В оценочной практике существуют три концептуальных подхода к определению стоимости любого имущества и имущественных прав:
Доходный подход.
Затратный подход.
Сравнительный подход.
Каждый из этих подходов может, в зависимости от цели оценки и ситуации на рынке, привести к получению различных стоимостных величин. Дальнейшее сопоставление полученных оценок позволяет взвесить достоинства и недостатки каждого из примененных подходов и установить окончательную стоимость Объекта оценки на основании данных того подхода или подходов, которые расценены как наиболее надежные.
Что касается нематериальных активов (объектов интеллектуальной собственности), то они, как правило, оцениваются на основании доходного подхода.
2.1. Методология оценки нематериальных активов (интеллектуальной собственности)
Необходимость оценки стоимости интеллектуальной собственности возникает в следующих случаях:
купля – продажа прав интеллектуальной собственности;
заключение лицензионных договоров;
внесение интеллектуальной собственности в уставной капитал хозяйственных товариществ и совместных предприятий;
инвестирование правами интеллектуальной собственности;
при приватизации;
в случае залога;
заключение договоров о совместной научной и научно-технической деятельности;
коммерциализация инноваций;
бухгалтерский учет интеллектуальной собственности;
определение ущерба от нарушения прав интеллектуальной собственности, в частности при недобросовестной конкуренции.
При оценке интеллектуальной собственности определяется стоимость прав интеллектуальной собственности. В соответствии с Конвенцией об основании Всемирной организации интеллектуальной собственности к правам интеллектуальной собственности относятся права на:
изобретения;
полезные модели;
промышленные образцы;
товарные знаки;
знаки обслуживания;
ноу – хау.
Основой оценки прав интеллектуальной собственности является их исключительный характер.
Практически интеллектуальная собственность позволяет монополизировать рынок нового продукта или технологию производства продукта, то есть предприятие может стать монополистом на период действия прав интеллектуальной собственности, если не появится более эффективное техническое решение по производству данного продукта.
Всю совокупность методов, применяемых для оценки нематериальных активов, так же, как и в случае с другими видами собственности, можно разделить на три группы: доходный подход (основанный на учете чистого дохода), затратный подход (основанный на учете затрат на воссоздание объекта интеллектуальной собственности) и сравнительный подход.
Таблица 2
ПРЕДПОЧТИТЕЛЬНОСТЬ ПРИМЕНЕНИЯ
подходов к оценке интеллектуальной собственности
|
№ п/п |
Объекты интеллектуальной собственности |
В первую очередь |
Во вторую очередь |
Слабо применим |
|
1. |
Патенты и технологии |
Доходный |
Сравнительный |
Затратный |
|
2. |
Товарные знаки |
Доходный |
Сравнительный |
Затратный |
|
3. |
Объекты авторского права |
Доходный |
Сравнительный |
Затратный |
|
4. |
Квалифицированная рабочая сила |
Затратный |
Доходный |
Сравнительный |
|
5. |
Информационное программное обеспечение менеджмента |
Затратный |
Сравнительный |
Доходный |
|
6. |
Программные продукты |
Доходный |
Сравнительный |
Затратный |
|
7. |
Дистрибьюторские сети |
Затратный |
Доходный |
Сравнительный |
|
8. |
Месторождения (Core deposits) |
Доходный |
Сравнительный |
Затратный |
|
9. |
Права по франчайзингу |
Доходный |
Сравнительный |
Затратный |
|
10. |
Корпоративная практика и процедуры |
Затратный |
Доходный |
Сравнительный |
Основным подходом к стоимостной оценке нематериальных активов считается доходный подход. Методы на основе сравнительного и затратного подходов могут использоваться лишь в качестве дополнения к доходным методам.
2.1.1. Доходный подход к оценке
В основе методов этой группы лежит отождествление объекта интеллектуальной собственности с активом, приносящим доход. То есть рассматривается как средство, способное генерировать денежные потоки.
Группа методов доходного подхода должна учитывать следующие факторы: определение годового чистого денежного потока, генерируемого интеллектуальной собственностью; прогнозирование значений годового чистого денежного потока на будущие периоды использования интеллектуальной собственности; учет рисков, влияющих на будущие размеры денежных потоков; приведение значений денежных потоков к единому моменту времени.
Стоимость при использовании доходного подхода может определяться несколькими способами:
методом «Освобождение от роялти»;
методом «Дисконтирование/капитализация преимуществ в доходах»;
методом «Дисконтирование/капитализация экономии затрат».
Каждый из трех перечисленных методов может быть реализован в двух модификациях, основанных:
на капитализации усредненной прибыли (денежного потока),
на дисконтировании ожидаемых денежных потоков (ожидаемых прибылей).
Метод освобождения от роялти предполагает, что оцениваемый объект интеллектуальной собственности не принадлежит истинному владельцу, а предоставлен ему на лицензионной основе за определенные процентные отчисления от выручки – роялти.
В этом методе делается допущение, что объектом интеллектуальной собственности владеет третья сторона и, следовательно, истинный владелец должен платить роялти за право пользования объектом интеллектуальной собственности (ОИС).
Суть метода освобождения от роялти заключается в том, что стоимость объекта собственности, по которому заключено лицензионное соглашение, рассматривается как текущая сумма всех лицензионных платежей (роялти) по данному лицензионному соглашению.
Вопрос определения ставки роялти обычно рассматривается при составлении лицензионных договоров, закрепляющих за лицензиатом (покупателем, правополучателем) право использования объектов интеллектуальной собственности в рамках условий, оговоренных с лицензиаром (продавцом, правообладателем).
В этом случае ставка роялти характеризует периодически осуществляемую лицензиатом выплату лицензиару денежных сумм в размерах, зависящих от результатов, получаемых лицензиатом при использовании интеллектуальной собственности (нематериальных активов).
Ставка роялти зависит от реального вклада оцениваемого нематериального актива в производство и сбыт продукции.
Сущность метода преимуществ в прибыли состоит в том, что обладатель объекта интеллектуальной собственности имеет возможность получить дополнительную прибыль по сравнения с предприятиями, которые им не обладают. Этот метод оценки применим в том случае, когда с достаточной степенью точности возможно определить преимущество в прибыли, то есть величину дополнительной прибыли, которая может быть получена ввиду обладания правами на данный ОИС и использования его при осуществлении хозяйственной деятельности (выявляется при сравнении с аналогом).
Суть данного метода заключается в том, чтобы спрогнозировать и оценить в денежной форме преимущество в прибыли, возникающее на протяжении всего срока использования товарного знака, привести его к текущей стоимости и просуммировать – это и будет стоимостью оцениваемого товарного знака.
Стоимость ОИС определяется тем преимуществом в прибыли, которое ожидается получить от его использования. Под преимуществом в прибыли понимается дополнительная чистая прибыль (после налогообложения), полученная с каждой единицы продукции с использованием объекта интеллектуальной собственности.
Преимущество в прибыли появляется:
по сравнению с тем предприятием, которое выпускает продукцию, аналогичную продукции рассматриваемого предприятия;
применительно к данному предприятию, выпускавшему продукцию до и после использования объекта интеллектуальной собственности.
Ежегодное преимущество в прибыли, выраженное в денежной форме, приводится к текущей стоимости с учетом предполагаемого периода его получения. Рассчитанная в результате величина и принимается в качестве стоимости объекта интеллектуальной собственности.
, где:
Vt – объем производимой с использованием ОИС продукции в году t,
DП t – преимущество в прибыли, которое ожидается получить от использования ОИС в году t,
Кdt – коэффициент дисконтирования в году t.
, где:
t – период, в течение которого сохранится преимущество в прибыли.
Данный метод можно использовать и при оценке исключительных прав на товарный знак, высчитывая дополнительную прибыль, которую получит владелец при маркировке своей продукции данным товарным знаком.
Однако при применении данного метода следует учитывать, что дополнительная прибыль может быть получена и просто в случае увеличения спроса на продукцию предприятия за счет других внешних факторов.
Метод экономии затрат (или выигрыша в себестоимости) помимо доходного подхода содержит элементы затратного и сравнительного подходов.
Создавая выигрыш в себестоимости продукции, объект интеллектуальной собственности, по сути, вносит свой вклад в прибыль предприятия.
Стоимость объекта интеллектуальной собственности измеряется через определение экономии на затратах в результате его использования. При этом вычисляется выигрыш в себестоимости в течение времени, когда объект интеллектуальной собственности еще приносит полезный эффект. Рассчитанная экономия в себестоимости затем капитализируется и тем самым определяется текущая стоимость объекта интеллектуальной собственности. Расчетная формула аналогична формуле, применяемой при методе преимуществ в прибыли:
; где:
V t – объем производимой с использованием ОИС продукции в году t,
D З t – экономия на затратах, возникающая у предприятия при использовании ОИС в году t,
t – период, в течение которого сохранится преимущество в прибыли.
Метод экономии затрат применяется в основном для объектов промышленной интеллектуальной собственности или тех ОИС, которые могут принести реальную экономию на затратах. Выигрыш в себестоимости продукции с использованием ОИС определяется, как правило, по сравнению с аналогичной продукцией, производившейся на данном предприятии ранее без использования ОИС. Сравнение с аналогичной продукцией другого предприятия затруднено в связи с трудностью получения информации о калькуляции затрат на нем. Выигрыш в себестоимости (экономия на затратах) определяется на основании анализа следующих статей затрат: сырье, материалы, комплектующие изделия, заработная плата, обслуживание и ремонт производственного оборудования, амортизация, топливо и другие виды энергии, административно – управленческие расходы.
Данный метод неприменим в случаях выпуска принципиально новых видов продукции, аналогов которых ранее не производилось.
2.1.2. Затратный подход к оценке
В основе методов данной группы лежит отождествление стоимости интеллектуальной собственности и затрат на ее воссоздание с учетом разумной величины прибыли, если, разумеется, характер рассматриваемой интеллектуальной собственности принципиально допускает такое воссоздание.
Причем, если подобное воссоздание предполагает полное копирование оцениваемой интеллектуальной собственности, применяется метод восстановления. Если же при воссоздании речь идет о создании иной интеллектуальной собственности, но с такими потребительскими свойствами, что воссозданную интеллектуальную собственность можно будет условно считать аналогом оцениваемой, то применяется метод замещения.
Применение затратных методов подразумевает, что вклад интеллектуальной собственности в прибыль предприятия превышает затраты на воссоздание этой интеллектуальной собственности (оцениваемых нематериальных активов).
В рамках затратного подхода выделяют такие методы, как:
Метод стоимости восстановления.
Метод стоимости замещения.
Метод исторической стоимости.
Метод стоимости восстановления чаще всего применяется при оценке технологий и связанных с ними объектов интеллектуальной стоимости, которые не создают прямого экономического эффекта или когда определение и прогнозирование такого эффекта невозможно.
Чаще всего этим методом оцениваются нематериальные активы, используемые в социальной сфере (здравоохранении, образовании и т. п.).
Метод стоимости замещения применяется при оценке стоимости конструкторской и технической документации.
Метод исторической стоимости применяется при оценке уникальных нематериальных активов (объектов интеллектуальной стоимости), используемых в космической, военной и т. п. областях.
В данном Отчете об оценке Оценщиками не применялся в чистом виде ни один из методов оценки затратным подходом, поскольку величина стоимости товарных знаков (знаков обслуживания) и патентов, получаемая этим подходом, не отражает степень востребованности данных категорий нематериальных активов на рынке или, иными словами, не отражает их рыночную полезность, лежащую в основе рыночной стоимости любого имущества и имущественных прав.
2.1.3. Сравнительный подход к оценке
Сравнительный подход включает идентификацию нематериального актива (лежащей в его основе интеллектуальной собственности), установление прав собственности, даты проведения оценки, варианта использования и вида стоимости, подлежащего оценке.
Права собственности, которые необходимо оценить, могут быть частичными (простая лицензия) или абсолютными (исключительная или полная лицензия). Стоимости по всем сопоставимым объектам интеллектуальной собственности приводятся к дате оценки. Анализ рыночной информации необходим также для выявления важных факторов спроса и предложения.
Существуют два направления использования рыночного подхода: определение рыночной стоимости на основе имеющихся аналогов и определение продажной цены продукции, выпускаемой с использованием объекта. Основным методом оценки патентов, лицензий, товарных знаков и других объектов является метод стоимости приобретения, который может оказаться полезным при наличии сопоставимых рыночных данных. Многие объекты интеллектуальной собственности регулярно продаются, покупаются и перепродаются на рынке, что дает возможность на основании рыночной информации оценить их рыночную стоимость.
Использование сравнительного подхода осуществляется при наличии достоверной и доступной информации о ценах аналогов объекта оценки и действительных условиях сделок с ними. При этом может использоваться информация о ценах сделок, предложений и спроса.
3. ОПРЕДЕЛЕНИЕ СТОИМОСТИ ОБЪЕКТА ОЦЕНКИ
![]()
В рамках настоящего Отчета Оценщиками было принято допущение, что исключительные права на товарные знаки (знаки обслуживания) и патенты на промышленные образцы и полезные модели являются взаимодополняющими друг друга и обеспечивающими в совокупности монополию на выпуск своей продукции, поэтому определялась рыночная стоимость портфеля прав на объекты интеллектуальной собственности.
3.1. Определение стоимости Объекта с использованием затратного подхода к оценке
В рамках затратного подхода в качестве основы для определения рыночной стоимости товарных знаков используется информация о затратах на их создание и продвижение их на рынок.
В данном подходе исходят из того, что покупатель, проявляя должную благоразумность, не заплатит за объект большую сумму, чем та, в которую обойдется получение соответствующего аналогичного по назначению и качеству объекта в обозримый период без существенных задержек.
Но экономическая выгода от использования того или иного товарного знака в большей степени зависит от узнаваемости знака на рынке, периода существования, а значит и фактических затрат на рекламу и продвижение товарного знака.
В связи с тем, что в рассматриваемом случае невозможно определить адекватные затраты на рекламу, приходящуюся на каждый оцениваемый товарный знак и патент, а также учитывая то обстоятельство, что рекламные компании направлены на продвижение всей выпускаемой продукции Оценщики в расчете рыночной стоимости товарных знаков и патентов сочли возможным отказаться от применения затратного подхода к оценке.
3.2. Определение стоимости Объекта с использованием сравнительного подхода к оценке
Как показал анализ рынка продаж и предложений зарегистрированных товарных знаков (знаков обслуживания) классов, соответствующих классам оцениваемых товарных знаков, на дату оценки присутствовало достаточно большое количество зарегистрированных, но не раскрученных товарных знаков (более сотни предложений).
Однако применение сравнительного подхода для определения стоимости исключительных прав на оцениваемые товарные знаки (знаки обслуживания) при отсутствии информации относительно цен и условий коммерческих сделок на объекты интеллектуальной собственности, аналогичные оцениваемым объектам, может привести к неадекватному результату.
3.3. Определение стоимости Объекта с использованием доходного подхода к оценке
Оценка рыночной стоимости товарных знаков и патентов проведена доходным подходом в строгой корреспонденции с оценкой рыночной стоимости предприятия методом дисконтирования денежных потоков, представленной в основной части настоящего Отчета – в части прогноза выручки, ставки дисконтирования и долгосрочных темпов роста денежных потоков.
В данном подходе для расчета рыночной стоимости оцениваемых товарных знаков и патентов в рамках доходного подхода к оценке применялся «метод освобождения от роялти».
Расчет стоимости по «методу освобождения от роялти» основан на практике международного обмена технологиями и представляет собой процедуру оценки, исходя из международного опыта передачи технологий путем продажи лицензий. Оценка стоимости объекта промышленной собственности заключается в дисконтировании ежегодных платежей по роялти из условия гипотетических продаж прав на использование товарного знака и патента по лицензионному соглашению третьей стороне.
При этом рассчитывают ежегодные размеры роялти в виде определенного процента от объемов реализации товаров и услуг, защищенных данным товарным знаком и патентом, а затем определяют ежегодные, приведенные на дату оценки, потоки роялти и суммированием определяют текущую стоимость объекта.
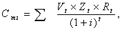
Дополнительная прибыль, получаемая благодаря известности товарного знака, применена к среднегодовым объемам реализации продукции. Тогда, стоимость товарного знака (патента) в рассматриваемом случае определяется как:
где:
Vt – средний годовой объем выпуска продукции, защищенной товарным знаком;
Zt – цена единицы продукции, защищенной товарным знаком;
Rt – размер роялти;
i – ставка дисконта;
t – временной период от настоящего момента до выбранного аналитиком момента дисконтирования.
Таким образом, алгоритм расчета рыночной стоимости имеет следующий вид:
Выбор длительности прогнозного периода.
Определение выручки от продажи товаров, защищенных оцениваемыми товарными знаками и патентами.
Определение размера роялти.
Обоснование ставки дисконта.
Определение текущей рыночной стоимости оцениваемых объектов интеллектуальной собственности на дату оценки.
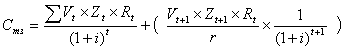
Рыночная стоимость Объекта оценки определялась следующим образом:
, где:
Vt – средний годовой объем выпуска продукции, защищенной товарными знаками и патентами;
Zt – цена единицы продукции, защищенной товарным знаком;
Rt – размер роялти;
i – ставка дисконта;
r – коэффициент капитализации;
t – время.
В настоящей работе учитывался налог на прибыль, поскольку поступления в виде роялти относятся к прочим доходам.
Предполагается, что предприятие будет пролонгировать действие товарных знаков и патентов на все выпускаемые виды продукции на период существования бизнеса.
Определение размера роялти
Роялти – это выплачиваемое лицензиару вознаграждение в виде процентных отчислений или фиксированных сумм от стоимости (продажной цены) реализуемой лицензиатом продукции, изготовленной по лицензии.
В российской практике оценки рыночной стоимости товарных знаков известны стандартные ставки роялти, обоснованные международными прецедентами, по отдельным отраслям промышленности.
Значение стандартных ставок роялти, исчисляемых от объема реализации продукции, приведены в таблице 3.
Таблица 3
СТАНДАРТНЫЕ РАЗМЕРЫ РОЯЛТИ
в процентах от цены единицы продукции или от суммы продаж (объема реализации)
|
№ п/п |
Вид изделий |
Ставка роялти, % |
|
1. |
Подъемно – транспортное оборудование |
5 |
|
2. |
Литейное оборудование |
1,2 – 1,5 |
|
3. |
Оборудование для цементных заводов |
3 – 5 |
|
4. |
Оборудование для металлургической промышленности |
4 – 6 |
|
5. |
Оборудование для химической промышленности |
3 – 5 |
|
6. |
Оборудование для пищевой промышленности |
4 |
|
7. |
Оборудование для очистки воды |
5 |
|
8. |
Холодильное оборудование |
2 – 4 |
|
9. |
Нагревательные системы |
4 – 6 |
|
10. |
Печи |
4 – 6 |
|
11. |
Котлы |
3 – 5 |
|
12. |
Воздушные кондиционеры |
3 – 4 |
|
13. |
Клапаны, вентили |
3 – 6 |
|
14. |
Котельное оборудование |
5 |
|
15. |
Компрессоры, насосы |
5 – 7 |
|
16. |
Моторы для промышленного назначения |
4 – 5 |
|
17. |
Оборудование для обработки поверхности |
6 – 7 |
|
18. |
Металлические конструкции |
2 – 4 |
|
19. |
Оборудование для текстильной промышленности |
3 – 5 |
|
20. |
Полиграфическое оборудование |
4 |
|
21. |
Электротехническое оборудование |
4 – 7 |
|
22. |
Реле – аппаратура |
4 – 6 |
|
23. |
Сигнальное оборудование |
1 – 1,5 |
|
24. |
Электрические контрольно-измерительные приборы |
3 – 5 |
|
25. |
Электронное оборудование |
4 – 8 |
|
26. |
Полупроводники |
1 – 2 |
|
27. |
Радиолампы |
3 – 4 |
|
28. |
Аккумуляторы |
3 – 4 |
|
29. |
Электрокабели |
2 – 4 |
|
30. |
Лифты |
4 – 5 |
|
31. |
Станки металлообрабатывающие |
4 – 6 |
|
32. |
Инструмент, оснастка |
5 – 7 |
|
33. |
Сварочное оборудование |
5 – 6 |
|
34. |
Приводы |
5 |
|
35. |
Фото – кинотовары |
3 – 5 |
|
36. |
Медицинское оборудование и приборы |
4 – 7 |
|
37. |
Измерительные приборы |
5 – 7 |
|
38. |
Канцелярское оборудование |
3 |
|
39. |
Автомоторы и части к ним |
2 – 4 |
|
40. |
Автозапчасти |
2 – 3 |
|
41. |
Буксиры |
1 – 2 |
|
42. |
Велосипеды |
3 – 5 |
|
43. |
Железнодорожное оборудование |
3 – 5 |
|
44. |
Сельскохозяйственные машины |
3 – 5 |
|
45. |
Скобяные изделия |
2 – 5 |
|
46. |
Ручной инструмент |
2 – 3 |
|
47. |
Бритвы, ножи |
3 |
|
48. |
Металлическая мебель |
1 – 2 |
|
49. |
Полуфабрикаты |
3 |
|
50. |
Литье |
1,5 – 2 |
|
51. |
Строительные машины |
1 |
|
52. |
Удобрения |
3 |
|
53. |
Удобрения – химикаты |
3 |
|
54. |
Красители |
3 – 4 |
|
55. |
Ароматические вещества |
2 – 4 |
|
56. |
Продукты органической химии |
3 – 3,5 |
|
57. |
Фармацевтические товары |
2 – 4 |
|
58. |
Изделия из каучука |
3 – 3,5 |
|
59. |
Изделия из стекла |
2 – 4 |
|
60. |
Краски |
2 – 3 |
|
61. |
Клей |
2 – 3 |
|
62. |
Фототовары, химические реактивы |
1 – 3 |
|
63. |
Минеральные масла |
? |
|
64. |
Текстильные волокна |
2 – 3 |
|
65. |
Ткани для пошива одежды |
3 |
|
66. |
Ткани для промышленных целей |
3 – 4 |
|
67. |
Трикотаж, белье |
2 – 4 |
|
68. |
Обувь |
1 – 2,5 |
|
69. |
Кожи |
3 |
|
70. |
Деревянная мебель |
2 – 3 |
|
71. |
Бумага |
1 – 2 |
|
72. |
Упаковка бумажная из картона |
2 – 3 |
|
73. |
Копировальная бумага |
1 – 2 |
|
74. |
Книги, печатные издания, игры (без авторских прав) |
3 – 6 |
|
75. |
Спорттовары |
1 – 3 |
|
76. |
Парфюмерия |
2 – 5 |
|
77. |
Пластинки |
2 – 5 |
|
78. |
Изделия из пластмассы |
3 |
|
79. |
Суда, судовое оборудование |
3 – 5 |
|
80. |
Стройматериалы |
2 – 4 |
|
81. |
Самолеты, вооружение |
5 – 10 |
|
82. |
Продовольственные товары |
1 – 2 |
|
83. |
Корм для скота |
2 – 3 |
|
84. |
Напитки |
2 – 5 |
|
85. |
Холодильное оборудование для промышленных целей |
4 – 6 |
|
Источник: , «Оценка стоимости нематериальных активов и интеллектуальной собственности» |
Стандартные ставки роялти используются специализированными крупными внешнеторговыми организациями применительно к такой базе на основе анализа мировой практики заключения лицензионных сделок в различных отраслях промышленности.
В частности, ставки роялти, применяемые для продовольственных товаров, составляют 1 – 2%.
На размер ставок роялти влияет ряд обстоятельств, которые следует учитывать при выборе конкретной величины из диапазона стандартных значений, в частности:
наличие или отсутствие патентной защиты объекта соглашения. Отсутствие патентной защиты, как правило, понижает размер роялти на 10 – 30%;
объем передаваемых прав;
емкость рынка и перспективы сбыта;
коммерческие условия конкурентных предложений, а также изменение конъюнктуры со временем.
Учитывая то, что имеется патентная защита; объем передаваемых прав – полные права, Оценщики сочли целесообразным принять процент роялти (Rt) в размере 2,0%.
Обоснование ставки дисконтирования
Ставка дисконта для была рассчитана в рамках реализации доходного подхода к оценке рыночной стоимости собственного капитала настоящего Отчета (Раздел 8.1.4.) и составила для прогнозного периода 2,21%, для постпронозного – 25,21% (рублевая).
Оценка рыночной стоимости оцениваемых товарных знаков и патентов по «методу освобождения от роялти», заключается в расчете ежегодных размеров роялти (из условия гипотетических продаж прав на использование товарного знака и патента по лицензионному соглашению) в виде процента от выручки, приносимой за счет реализации продукции, защищенной оцениваемыми товарными знаками и патентами, а затем рассчитываются ежегодные, приведенные на дату оценки потоки роялти и их суммированием определяют текущую стоимость объекта, при этом учитывается уплата налога на прибыль (20%).
Определение дохода от бизнеса в постпрогнозный период осуществлялось с использованием информации о долгосрочных темпах роста, который определен на уровне 3,8% (Раздел 8.1.3. настоящего Отчета).
Расчет рыночной стоимости оцениваемых объектов интеллектуальной собственности по «методу освобождения от роялти» приведенной к дате оценки без учета НДС, но с уплатой налога на прибыль, представлен ниже в таблице 4.
Таблица 4
РАСЧЕТ
стоимости Объекта с использованием доходного подхода к оценке
|
№ п/п |
Наименование показателя |
Величина показателя | ||||
|
Прогнозный период |
Постпрогнозный период | |||||
|
2009 год |
2010 год |
2011 год |
2012 год |
2013 год | ||
|
1. |
Выручка от реализации, рублей. |
56 |
62 |
68 |
75 |
78 |
|
2. |
Размер роялти, %. |
2% | ||||
|
3. |
Текущие платежи по роялти рублей. |
1 |
1 |
1 |
1 |
1 |
|
4. |
Налог на прибыль (20%), рублей. | |||||
|
5. |
Текущие платежи по роялти, рублей. |
1 |
1 |
1 | ||
|
6. |
Ставка дисконтирования, %. |
28,21% |
28,21% |
28,21% |
28,21% |
25,21% |
|
7. |
Дисконтный множитель. |
0,7800 |
0,6084 |
0,4745 |
0,3701 |
0,3249 |
|
8. |
Долгосрочный темп роста, %. |
3,8% | ||||
|
9. |
Коэффициент капитализации для постпрогнозного периода, %. |
21,41% | ||||
|
10. |
Дисконтированный денежный поток, рублей. |
1 | ||||
|
11. |
Стоимость нематериальных активов . |
4 рублей |
ЗАКЛЮЧЕНИЕ О СТОИМОСТИ:

РЫНОЧНАЯ СТОИМОСТЬ нематериальных активов Общества с ограниченной ответственностью «N» по состоянию на 01 июля 2009 года составляет с учетом округления 4 (Четыре миллиона двести пятьдесят четыре тысячи) рублей.
[1] Статья 1349 Гражданского кодекса Российской Федерации.
[2] Статья 1354 Гражданского кодекса Российской Федерации.
[3] Статья 1363 Гражданского кодекса Российской Федерации.
[4] Статья 1482 Гражданского кодекса Российской Федерации.
[5] Статья 1484 Гражданского кодекса Российской Федерации.
[6] Статья 1491 Гражданского кодекса Российской Федерации.



